Giải bài 29 trang 103 SGK Hình Học 12 nâng cao
Bài 3: Phương trình đường thẳng
Bài 29 (trang 103 sgk Hình Học 12 nâng cao): Viết phương trình đường thẳng đi qua A(1, -1, 1) và cắt cả hai đường thẳng sau đây:
Lời giải:
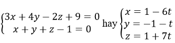
Gọi Δ là đường thẳng cần tìm, ta có Δ =(P)∩(Q), trong đó (P) chứa A và d và (Q) chứa A và d’. đường thẳng d đi qua Mo (1,0,3) và có vectơ chỉ phương u→=(2,1,-1) nên mp(P) đi qua A(1, -1, 1) và nhận [u→,MoA→ ]=(-3,4,-2) là vectơ pháp tuyến, suy ra mp(P) có phương trình:
-3x+4y-2z+9=0
Tương tự mp(Q) có phương trình: x+y+z-1=0
Vậy phương trình của Δ là
Các bài giải bài tập Hình Học 12 nâng cao Bài 3 Chương 3 khác:
Bài 24 (trang 102 SGK Hình Học 12 nâng cao): Viết các phương trình (tham số và chính tắc) của....
Bài 25 (trang 102 SGK Hình Học 12 nâng cao): Viết phương trình tham số, chính tắc (nếu có)...
Bài 26 (trang 102 SGK Hình Học 12 nâng cao): Viết phương trình hình chiếu vuông góc của...
Bài 27 (trang 103 SGK Hình Học 12 nâng cao): Cho đường thẳng d:...
Bài 28 (trang 103 SGK Hình Học 12 nâng cao): Xác định vị trí tương đối giữa các cặp đường thẳng...
Bài 29 (trang 103 SGK Hình Học 12 nâng cao): Viết phương trình đường thẳng đi qua A(1, -1, 1)....
Bài 30 (trang 103 SGK Hình Học 12 nâng cao): Viết phương trình đường thẳng song song với...
Bài 31 (trang 103 SGK Hình Học 12 nâng cao): Cho hai đường thẳng:...
Bài 32 (trang 104 SGK Hình Học 12 nâng cao): Cho đường thẳng (d) và mặt phẳng (α) có ...
Bài 33 (trang 104 SGK Hình Học 12 nâng cao): Cho đường thẳng Δ và mp(P) có phương trình:...
Bài 34 (trang 104 SGK Hình Học 12 nâng cao): a) Tính khoảng cách từ điểm M(2, 3, 1) đến đường...
Bài 35 (trang 104 SGK Hình Học 12 nâng cao): Tìm khoảng cách giữa hai đường thẳng sau:...
Đã có app VietJack trên điện thoại, giải bài tập SGK, SBT Soạn văn, Văn mẫu, Thi online, Bài giảng....miễn phí. Tải ngay ứng dụng trên Android và iOS.
Theo dõi chúng tôi miễn phí trên mạng xã hội facebook và youtube:Nếu thấy hay, hãy động viên và chia sẻ nhé! Các bình luận không phù hợp với nội quy bình luận trang web sẽ bị cấm bình luận vĩnh viễn.
- Giải Tiếng Anh 12 Global Success
- Giải sgk Tiếng Anh 12 Smart World
- Giải sgk Tiếng Anh 12 Friends Global
- Lớp 12 Kết nối tri thức
- Soạn văn 12 (hay nhất) - KNTT
- Soạn văn 12 (ngắn nhất) - KNTT
- Giải sgk Toán 12 - KNTT
- Giải sgk Vật Lí 12 - KNTT
- Giải sgk Hóa học 12 - KNTT
- Giải sgk Sinh học 12 - KNTT
- Giải sgk Lịch Sử 12 - KNTT
- Giải sgk Địa Lí 12 - KNTT
- Giải sgk Giáo dục KTPL 12 - KNTT
- Giải sgk Tin học 12 - KNTT
- Giải sgk Công nghệ 12 - KNTT
- Giải sgk Hoạt động trải nghiệm 12 - KNTT
- Giải sgk Giáo dục quốc phòng 12 - KNTT
- Giải sgk Âm nhạc 12 - KNTT
- Giải sgk Mĩ thuật 12 - KNTT
- Lớp 12 Chân trời sáng tạo
- Soạn văn 12 (hay nhất) - CTST
- Soạn văn 12 (ngắn nhất) - CTST
- Giải sgk Toán 12 - CTST
- Giải sgk Vật Lí 12 - CTST
- Giải sgk Hóa học 12 - CTST
- Giải sgk Sinh học 12 - CTST
- Giải sgk Lịch Sử 12 - CTST
- Giải sgk Địa Lí 12 - CTST
- Giải sgk Giáo dục KTPL 12 - CTST
- Giải sgk Tin học 12 - CTST
- Giải sgk Hoạt động trải nghiệm 12 - CTST
- Giải sgk Âm nhạc 12 - CTST
- Lớp 12 Cánh diều
- Soạn văn 12 Cánh diều (hay nhất)
- Soạn văn 12 Cánh diều (ngắn nhất)
- Giải sgk Toán 12 Cánh diều
- Giải sgk Vật Lí 12 - Cánh diều
- Giải sgk Hóa học 12 - Cánh diều
- Giải sgk Sinh học 12 - Cánh diều
- Giải sgk Lịch Sử 12 - Cánh diều
- Giải sgk Địa Lí 12 - Cánh diều
- Giải sgk Giáo dục KTPL 12 - Cánh diều
- Giải sgk Tin học 12 - Cánh diều
- Giải sgk Công nghệ 12 - Cánh diều
- Giải sgk Hoạt động trải nghiệm 12 - Cánh diều
- Giải sgk Giáo dục quốc phòng 12 - Cánh diều
- Giải sgk Âm nhạc 12 - Cánh diều


Giải bài tập SGK & SBT
Tài liệu giáo viên
Sách
Khóa học
Thi online
Hỏi đáp

