Giải bài 4 trang 90 sgk Hình học 12
Bài 3 : Phương trình đường thẳng trong không gian
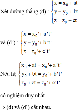
Bài 4 (trang 90 SGK Hình học 12): Tìm a để hai đường thẳng sau đây cắt nhau:
Lời giải:
Kiến thức áp dụng
Các bài giải bài tập Hình học 12 Chương 3 Bài 3 khác :
Trả lời câu hỏi Toán 12 Hình học Bài 3 trang 82 : Trong không gian Oxyz cho điểm....
Trả lời câu hỏi Toán 12 Hình học Bài 3 trang 84 : Cho đường thẳng Δ có phương trình....
Trả lời câu hỏi Toán 12 Hình học Bài 3 trang 86 : Chứng minh hai đường thẳng sau đây....
Trả lời câu hỏi Toán 12 Hình học Bài 3 trang 89 : Tìm số giao điểm của mặt phẳng....
Bài 1 (trang 89 SGK Hình học 12): Viết phương trình tham số của đường thẳng ...
Bài 2 (trang 89 SGK Hình học 12): Viết phương trình tham số của đường thẳng ...
Bài 3 (trang 90 SGK Hình học 12): Xét vị trí tương đối của các ...
Bài 4 (trang 90 SGK Hình học 12): Tìm a để hai đường thẳng ...
Bài 5 (trang 90 SGK Hình học 12): Tìm số giao điểm của đường ...
Bài 6 (trang 90 SGK Hình học 12): Tính khoảng cách giữa ....
Các bài giải Hình học 12 Chương 3 khác:
- Bài 2 : Phương trình mặt phẳng
- Bài 3 : Phương trình đường thẳng trong không gian
- Ôn tập chương 3 Hình học 12
- Câu hỏi trắc nghiệm chương 3 Hình học 12
- Ôn tập cuối năm Hình học 12
Đã có app VietJack trên điện thoại, giải bài tập SGK, SBT Soạn văn, Văn mẫu, Thi online, Bài giảng....miễn phí. Tải ngay ứng dụng trên Android và iOS.
Theo dõi chúng tôi miễn phí trên mạng xã hội facebook và youtube:Nếu thấy hay, hãy động viên và chia sẻ nhé! Các bình luận không phù hợp với nội quy bình luận trang web sẽ bị cấm bình luận vĩnh viễn.
- Giải Tiếng Anh 12 Global Success
- Giải sgk Tiếng Anh 12 Smart World
- Giải sgk Tiếng Anh 12 Friends Global
- Lớp 12 Kết nối tri thức
- Soạn văn 12 (hay nhất) - KNTT
- Soạn văn 12 (ngắn nhất) - KNTT
- Giải sgk Toán 12 - KNTT
- Giải sgk Vật Lí 12 - KNTT
- Giải sgk Hóa học 12 - KNTT
- Giải sgk Sinh học 12 - KNTT
- Giải sgk Lịch Sử 12 - KNTT
- Giải sgk Địa Lí 12 - KNTT
- Giải sgk Giáo dục KTPL 12 - KNTT
- Giải sgk Tin học 12 - KNTT
- Giải sgk Công nghệ 12 - KNTT
- Giải sgk Hoạt động trải nghiệm 12 - KNTT
- Giải sgk Giáo dục quốc phòng 12 - KNTT
- Giải sgk Âm nhạc 12 - KNTT
- Giải sgk Mĩ thuật 12 - KNTT
- Lớp 12 Chân trời sáng tạo
- Soạn văn 12 (hay nhất) - CTST
- Soạn văn 12 (ngắn nhất) - CTST
- Giải sgk Toán 12 - CTST
- Giải sgk Vật Lí 12 - CTST
- Giải sgk Hóa học 12 - CTST
- Giải sgk Sinh học 12 - CTST
- Giải sgk Lịch Sử 12 - CTST
- Giải sgk Địa Lí 12 - CTST
- Giải sgk Giáo dục KTPL 12 - CTST
- Giải sgk Tin học 12 - CTST
- Giải sgk Hoạt động trải nghiệm 12 - CTST
- Giải sgk Âm nhạc 12 - CTST
- Lớp 12 Cánh diều
- Soạn văn 12 Cánh diều (hay nhất)
- Soạn văn 12 Cánh diều (ngắn nhất)
- Giải sgk Toán 12 Cánh diều
- Giải sgk Vật Lí 12 - Cánh diều
- Giải sgk Hóa học 12 - Cánh diều
- Giải sgk Sinh học 12 - Cánh diều
- Giải sgk Lịch Sử 12 - Cánh diều
- Giải sgk Địa Lí 12 - Cánh diều
- Giải sgk Giáo dục KTPL 12 - Cánh diều
- Giải sgk Tin học 12 - Cánh diều
- Giải sgk Công nghệ 12 - Cánh diều
- Giải sgk Hoạt động trải nghiệm 12 - Cánh diều
- Giải sgk Giáo dục quốc phòng 12 - Cánh diều
- Giải sgk Âm nhạc 12 - Cánh diều


Giải bài tập SGK & SBT
Tài liệu giáo viên
Sách
Khóa học
Thi online
Hỏi đáp

