Phương trình chuyển động của một hạt được cho bởi công thức
Giải sách bài tập Toán 11 Bài 33: Đạo hàm cấp hai - Kết nối tri thức
Bài 9.21 trang 62 SBT Toán 11 Tập 2: Phương trình chuyển động của một hạt được cho bởi công thức , trong đó s tính bằng centimét và t tính bằng giây. Tính gia tốc của hạt tại thời điểm t = 3 giây (làm tròn kết quả đến chữ số thập phân thứ nhất).
Lời giải:
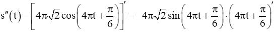
Có
.
.
Gia tốc của hạt tại thời điểm t = 3 giây là
a(3) = m/s2.
Vậy gia tốc của hạt tại thời điểm t = 3 giây khoảng – 111,7 m/s2.
Lời giải SBT Toán 11 Bài 33: Đạo hàm cấp hai hay khác:
Bài 9.17 trang 62 SBT Toán 11 Tập 2: Tính đạo hàm cấp hai của các hàm số sau: a) ....
Bài 9.18 trang 62 SBT Toán 11 Tập 2: Tính đạo hàm cấp hai của các hàm số sau: a) y = ln|2x – 1| ....
Bài 9.19 trang 62 SBT Toán 11 Tập 2: Cho hàm số f(x) = x + ln(x+1). Tính f'(0) và f"(0) ....
Xem thêm lời giải Sách bài tập Toán 11 Kết nối tri thức hay, chi tiết khác:
Xem thêm các tài liệu học tốt lớp 11 hay khác:
- Giải sgk Toán 11 Kết nối tri thức
- Giải Chuyên đề học tập Toán 11 Kết nối tri thức
- Giải SBT Toán 11 Kết nối tri thức
- Giải lớp 11 Kết nối tri thức (các môn học)
- Giải lớp 11 Chân trời sáng tạo (các môn học)
- Giải lớp 11 Cánh diều (các môn học)
Tủ sách VIETJACK shopee lớp 10-11 (cả 3 bộ sách):
Đã có app VietJack trên điện thoại, giải bài tập SGK, SBT Soạn văn, Văn mẫu, Thi online, Bài giảng....miễn phí. Tải ngay ứng dụng trên Android và iOS.
Theo dõi chúng tôi miễn phí trên mạng xã hội facebook và youtube:Nếu thấy hay, hãy động viên và chia sẻ nhé! Các bình luận không phù hợp với nội quy bình luận trang web sẽ bị cấm bình luận vĩnh viễn.
- Soạn văn 11 (hay nhất) - KNTT
- Soạn văn 11 (ngắn nhất) - KNTT
- Giải sgk Toán 11 - KNTT
- Giải Tiếng Anh 11 Global Success
- Giải sgk Tiếng Anh 11 Smart World
- Giải sgk Tiếng Anh 11 Friends Global
- Giải sgk Vật Lí 11 - KNTT
- Giải sgk Hóa học 11 - KNTT
- Giải sgk Sinh học 11 - KNTT
- Giải sgk Lịch Sử 11 - KNTT
- Giải sgk Địa Lí 11 - KNTT
- Giải sgk Giáo dục KTPL 11 - KNTT
- Giải sgk Tin học 11 - KNTT
- Giải sgk Công nghệ 11 - KNTT
- Giải sgk Hoạt động trải nghiệm 11 - KNTT
- Giải sgk Giáo dục quốc phòng 11 - KNTT
- Giải sgk Âm nhạc 11 - KNTT


Giải bài tập SGK & SBT
Tài liệu giáo viên
Sách
Khóa học
Thi online
Hỏi đáp

