Công thức tính độ bất bão hòa hợp chất hữu cơ (hay, chi tiết)
Bài viết Công thức tính độ bất bão hòa hợp chất hữu cơ hay nhất, chi tiết với bài tập minh họa có lời giải sẽ giúp học sinh nắm vững Công thức tính độ bất bão hòa hợp chất hữu cơ từ đó biết cách làm bài tập về tính độ bất bão hòa hợp chất hữu cơ.
Công thức tính độ bất bão hòa hợp chất hữu cơ (hay, chi tiết)
Hợp chất hữu cơ là hợp chất của cacbon (trừ CO, CO2, muối carbonate, xianua, cacbua,…). Việc biết chất đó có bao liên kết pi và vòng sẽ giúp chúng ta giải bài toán hữu cơ một cách nhanh chóng. Để biết chất có tổng bao nhiêu liên kết pi và vòng, người ta sẽ tính độ bất bão hòa của chất đó. Các em hãy tham khảo bài viết dưới đây để biết cách xác định độ bất bão hòa của chất hữu cơ.
1. Công thức tính độ bất bão hòa hợp chất hữu cơ
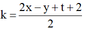
Xét hợp chất có công thức: CxHyOzNtXr ( X là halogen)
Độ bất bão hòa = 
2. Bạn nên biết
- Công thức tính độ bất bão hòa chỉ áp dụng cho hợp chất cộng hóa trị.
- Các nguyên tố hóa trị II như oxi, lưu huỳnh không ảnh hưởng tới độ bất bão hòa.
- Một số dạng/công thức thường gặp:
+ CnH2n+2 (chỉ chứa nối đơn, mạch hở)
+ CnH2n (có 1 nối đôi, mạch hở hoặc vòng no)
+ CnH2n-2 (có 1 nối ba, mạch hở hoặc 2 nối đôi, mạch hở hoặc 1 nối đôi 1 vòng …)
+ CnH2n-6 (chứa vòng benzene …)
+ CxHyO (dạng R-OH; R-O -R’, R-CHO, R-CO-R’)
+ CxHyO2 (dạng R-COOH, R-COO -R’, HO-R-CHO…)
+ CxHyN (dạng R-NH2; R1-NH-R2,...)

3. Bài tập minh họa tính độ bất bão hòa hợp chất hữu cơ
Câu 1: Công thức CxHyOzNt có độ bất bão hòa là
A. (2x – y + t + 2)/2
B. (2x – y + t + 2)
C. (2x – y – t + 2)/2
D. (2x – y + z + t + 2)/2
Hướng dẫn

Đáp án A
Câu 2: Vitamin A công thức phân tử C20H30O, có chứa 1 vòng 6 cạnh và không có chứa liên kết ba. Số liên kết đôi trong phân tử vitamin A là:
A. 7.
B. 6.
C. 5.
D. 4.
Hướng dẫn
Độ bất bão hòa là: 
Mà k = v + π ; v=1 => π=5
Do hợp chất không chứa liên kết ba nên số liên kết đôi trong phân tử vitamin A là 5.
Đáp án C
Câu 3: Chất nào sau đây có số liên kết π nhiều nhất (mạch hở)?
A. C3H9N.
B. C2H5N.
C. C4H8O3.
D. C3H4O4.
Hướng dẫn
Do các chất đều mạch hở ⇒ k = π + v = π.
A. π = k = (2 × 3 + 2 + 1 - 9) ÷ 2 = 0.
B. π = k = (2 × 2 + 2 + 1 - 5) ÷ 2 = 1.
C. π = k = (2 × 4 + 2 - 8) ÷ 2 = 1.
D. π = k = (2 × 3 + 2 - 4) ÷ 2 = 2.
⇒ C3H4O4 chứa nhiều liên kết π nhất
⇒ Chọn D.
Xem thêm các Công thức Hóa học lớp 11 quan trọng hay khác:
Đã có app VietJack trên điện thoại, giải bài tập SGK, SBT Soạn văn, Văn mẫu, Thi online, Bài giảng....miễn phí. Tải ngay ứng dụng trên Android và iOS.
Theo dõi chúng tôi miễn phí trên mạng xã hội facebook và youtube:Nếu thấy hay, hãy động viên và chia sẻ nhé! Các bình luận không phù hợp với nội quy bình luận trang web sẽ bị cấm bình luận vĩnh viễn.
- Đề thi lớp 1 (các môn học)
- Đề thi lớp 2 (các môn học)
- Đề thi lớp 3 (các môn học)
- Đề thi lớp 4 (các môn học)
- Đề thi lớp 5 (các môn học)
- Đề thi lớp 6 (các môn học)
- Đề thi lớp 7 (các môn học)
- Đề thi lớp 8 (các môn học)
- Đề thi lớp 9 (các môn học)
- Đề thi lớp 10 (các môn học)
- Đề thi lớp 11 (các môn học)
- Đề thi lớp 12 (các môn học)
- Giáo án lớp 1 (các môn học)
- Giáo án lớp 2 (các môn học)
- Giáo án lớp 3 (các môn học)
- Giáo án lớp 4 (các môn học)
- Giáo án lớp 5 (các môn học)
- Giáo án lớp 6 (các môn học)
- Giáo án lớp 7 (các môn học)
- Giáo án lớp 8 (các môn học)
- Giáo án lớp 9 (các môn học)
- Giáo án lớp 10 (các môn học)
- Giáo án lớp 11 (các môn học)
- Giáo án lớp 12 (các môn học)


Giải bài tập SGK & SBT
Tài liệu giáo viên
Sách
Khóa học
Thi online
Hỏi đáp

