Công thức tính số ete tối đa thu được từ hỗn hợp n ancol đơn chức (hay, chi tiết)
Bài viết Công thức tính số ete tối đa thu được từ hỗn hợp n ancol đơn chức hay nhất, chi tiết với bài tập minh họa có lời giải sẽ giúp học sinh nắm vững Công thức tính số ete tối đa thu được từ hỗn hợp n ancol đơn chức từ đó biết cách làm bài tập về tính số ete tối đa thu được từ hỗn hợp n ancol đơn chức.
Công thức tính số ete tối đa thu được từ hỗn hợp n ancol đơn chức (hay, chi tiết)
Một trong những bài toán hay gặp về ancol là bài toán tách nước thu được ete. Vậy khi tách nước từ hỗn hợp n ancol đơn chức, ta được bao nhiêu ete? Có công thức nào tính nhanh được số ete tối đa thu được từ hỗn hợp n ancol đơn chức?
1. Công thức tính số ete tối đa thu được từ hỗn hợp n ancol đơn chức
Phản ứng tách nước tạo ete của ancol thường chỉ áp dụng với ancol đơn chức. Phản ứng xảy ra khi đun nóng ancol hoặc hỗn hợp ancol với H2SO4 đặc, đun nóng đến 140.
Phương trình tổng quát:
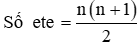
Số ete tạo bởi hỗn hợp n ancol đơn chức là:
2. Bạn nên biết
- Nếu tách nước thu được các ete có số mol bằng nhau thì các ancol tham gia phản ứng cũng có số mol bằng nhau và .
3. Mở rộng tính số ete tối đa thu được từ hỗn hợp n ancol đơn chức
- Có thể dựa vào tỉ khối của sản phẩm so với ancol (d) để xác định hướng tách nước của ancol:
+ Nếu d < 1 → ancol tách nước tạo alkene.
+ Nếu d > 1 → ancol tách nước tạo ete.
4. Bài tập minh họa tính số ete tối đa thu được từ hỗn hợp n ancol đơn chức
Câu 1: Đun nóng 26,56 gam hỗn hợp X gồm 3 ancol đều no, mạch hở, đơn chức với H2SO4 đặc, ở 140, sau khi phản ứng xảy ra hoàn toàn thu được 22,24 gam hỗn hợp 6 ester có số mol bằng nhau. Biết trong các ester tạo thành có 3 ete có phân tử khối bằng nhau. Công thức cấu tạo thu gọn của các ancol là
A. C2H5OH, CH3CH2CH2OH, CH3CH2CH2CH2OH.
B. CH3OH, CH3CH2OH, (CH3)2CHOH.
C. CH3OH, CH3CH2CH2OH, (CH3)2CHOH.
D. C2H5OH, CH3CH2CH2OH, (CH3)2CHOH.
Hướng dẫn giải
Bảo toàn khối lượng ta có:
Các ete có số mol bằng nhau 3 ancol có số mol bằng nhau
→ n1 ancol = 0,16 mol
Có 3 ete có khối lượng phân tử bằng nhau có 2 ancol là đồng phân
Ta có 0,16MA + 0,32MB = 26,25 → MA + 2MB = 16 → MA = 46 và MB = 60
2 ancol là C2H5OH và C3H7OH
Đáp án D
Câu 2: Đun nóng hỗn hợp n ancol đơn chức khác nhau với H2SO4 đặc ở 140 thì số ete thu được tối đa là
Hướng dẫn giải
Khi đun nóng hỗn hợp n ancol đơn chức khác nhau với H2SO4 đặc ở 140 thì số ete thu được tối đa là
Đáp án A
Câu 3: Đun nóng hỗn hợp hai ancol đơn chức mạch hở với H2SO4 đặc thu hỗn hợp các ete. Lấy 7,2 g một trong các ete đem đốt cháy hoàn toàn thu 8,96 lít CO2 (đktc) và 7,2 g H2O. Hai ancol đó là
A. CH3OH, CH2=CH-CH2-OH
B. C2H5OH, CH2=CH-CH2-OH
C. CH3OH. C3H7OH
D. C2H5OH, C3H7OH
Hướng dẫn giải
Ta có:
→ ete không no có một nối đôi, đơn chức → hỗn hợp ban đầu gồm 1 ancol no, mạch hở và 1 ancol không no có một nối đôi, mạch hở.(1)
Bảo toàn khối lượng ete:
Từ (1), (2) Công thức hai ancol tách nước tạo ete là CH3OH và
CH2 = CH – CH2 - OH.
Đáp án A
Xem thêm các Công thức Hóa học lớp 11 quan trọng hay khác:
Công thức tính nhanh số đồng phân Anđehit no, đơn chức, mạch hở
Công thức tính nhanh số đồng phân carboxylic acid no, đơn chức, mạch hở
Đã có app VietJack trên điện thoại, giải bài tập SGK, SBT Soạn văn, Văn mẫu, Thi online, Bài giảng....miễn phí. Tải ngay ứng dụng trên Android và iOS.
Theo dõi chúng tôi miễn phí trên mạng xã hội facebook và youtube:Nếu thấy hay, hãy động viên và chia sẻ nhé! Các bình luận không phù hợp với nội quy bình luận trang web sẽ bị cấm bình luận vĩnh viễn.
- Đề thi lớp 1 (các môn học)
- Đề thi lớp 2 (các môn học)
- Đề thi lớp 3 (các môn học)
- Đề thi lớp 4 (các môn học)
- Đề thi lớp 5 (các môn học)
- Đề thi lớp 6 (các môn học)
- Đề thi lớp 7 (các môn học)
- Đề thi lớp 8 (các môn học)
- Đề thi lớp 9 (các môn học)
- Đề thi lớp 10 (các môn học)
- Đề thi lớp 11 (các môn học)
- Đề thi lớp 12 (các môn học)
- Giáo án lớp 1 (các môn học)
- Giáo án lớp 2 (các môn học)
- Giáo án lớp 3 (các môn học)
- Giáo án lớp 4 (các môn học)
- Giáo án lớp 5 (các môn học)
- Giáo án lớp 6 (các môn học)
- Giáo án lớp 7 (các môn học)
- Giáo án lớp 8 (các môn học)
- Giáo án lớp 9 (các môn học)
- Giáo án lớp 10 (các môn học)
- Giáo án lớp 11 (các môn học)
- Giáo án lớp 12 (các môn học)


Giải bài tập SGK & SBT
Tài liệu giáo viên
Sách
Khóa học
Thi online
Hỏi đáp

