Công thức tính nhanh hiệu suất tổng hợp NH3 (hay, chi tiết)
Bài viết Công thức tính nhanh hiệu suất tổng hợp NH3 hay nhất, chi tiết với bài tập minh họa có lời giải sẽ giúp học sinh nắm vững Công thức tính nhanh hiệu suất tổng hợp NH3 từ đó biết cách làm bài tập về tính nhanh hiệu suất tổng hợp NH3.
Công thức tính nhanh hiệu suất tổng hợp NH3 (hay, chi tiết)
Bài toán tổng hợp NH3 là một dạng bài tập quan trọng của chương Nitơ – Photpho trong chương trình hóa học 11. Vậy làm thế nào để tính toán chính xác các bài tập liên quan đến phản ứng tổng hợp NH3. Các em hãy cùng theo dõi nội dung dưới đây.
1. Công thức tính nhanh hiệu suất tổng hợp NH3
Phương trình phản ứng:N2 + 3H2
2NH3
- Công thức tính hiệu suất phản ứng:
+ Tính theo chất phản ứng: (tính theo chất có khả năng phản ứng hết)
hoặc 
+ Tính theo chất sản phẩm
hoặc 
Chú ý:
- Nếu
> 3-> H2 dư (so với lượng cần thiết), hiệu suất phản ứng tính theo N2.
- Nếu
< 3-> H2 dư (so với lượng cần thiết), hiệu suất phản ứng tính theo N2.
- Nếu
= 3-> Hiệu suất tính theo N2 hoặc H2 đều được.
- Trường hợp đặc biệt nếu:
= 3 thì có thể tính nhanh hiệu suất phản ứng:

Trong đó:MX: hỗn hợp gồm N2 và H2 ban đầu (tỉ lệ mol 1:3)
MY: hỗn hợp sau phản ứng
Ví dụ: Tiến hành tổng hợp NH3 từ hỗn hợp X gồm N2 và H2 (tỉ lệ mol 1: 3) có tỉ khối hơi so với H2 là 4,25 thu được hỗn hợp Y có tỉ khối hơi so với H2 là 6,8. Hiệu suất tổng hợp NH3 có giá trị là
A. 50% B. 80% C. 75% D. 90%
Hướng dẫn giải:
MX = 4,25.2 = 8,5 (g/mol)
MY = 6,8.2 = 13,6 (g/mol)
Áp dụng: H%= 2 – 2.
= 2-2.
= 75%
→ Chọn C.
2. Bạn nên biết
Mối quan hệ cần nhớ
- Quan hệ về số mol:
n khí giảm = n trước – n sau =nNH3=2nN2p/ư =
nH2p/ư
- Quan hệ về khối lượng:
m trước = m sau

- Quan hệ giữa áp suất và số mol
Hỗn hợp khí trước phản ứng: p1.V1 = n1.R.T1
Hỗn hợp khí sau phản ứng: p2.V2 = n2.R.T2
Bình kín → V = const; T = const
→ 

3. Bài tập minh họa tính nhanh hiệu suất tổng hợp NH3
Câu 2: Thực hiện phản ứng giữa N2 và H2 (tỉ lệ mol 1:5) trong bình kín có xúc tác, áp suất của hỗn hợp khí giảm 10% so với ban đầu (cùng điều kiện). Hiệu suất phản ứng là
A. 30% B. 75% C. 80% D. 50%
Hướng dẫn giải:
N2 + 3H2
2NH3
Ban đầu: a 5a
Phản ứng: x → 3x → 2x
Sau: (a – x) (5a – 3x) 2x
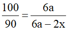
n trước = n1 = a + 5a = 6a
n sau = n2 = (a – x) + (5a – 3x) + 2x = 6a – 2x
→
→ x = 0,3a
Tỉ lệ
> 3 -> H2dư, hiệu suất tính theo N2
→ H% =
= 30%
→ Chọn A
Câu 3: Cho hỗn hợp A gồm N2 và H2 (tỉ lệ mol 1: 3), tiến hành phản ứng tổng hợp NH3, sau phản ứng thu được hỗn hợp B có tỉ khối dA/B = 0,7. Hiệu suất phản ứng là:
A. 55% B. 60% C. 80% D. 75%
Hướng dẫn giải:
Theo bài ra: 
dA/B = 0,7 → 
Áp dụng: H% = (2 – 2.
).100 = (2 – 2.0,7).100 = 60%
→ Chọn B
Xem thêm các Công thức Hóa học lớp 11 quan trọng hay khác:
Công thức tính số mol OH- khi cho P2O5 tác dụng với dung dịch kiềm
Công thức tính số mol OH- ( hoặc CO2) khi cho CO2 tác dụng với dung dịch kiềm
Đã có app VietJack trên điện thoại, giải bài tập SGK, SBT Soạn văn, Văn mẫu, Thi online, Bài giảng....miễn phí. Tải ngay ứng dụng trên Android và iOS.
Theo dõi chúng tôi miễn phí trên mạng xã hội facebook và youtube:Nếu thấy hay, hãy động viên và chia sẻ nhé! Các bình luận không phù hợp với nội quy bình luận trang web sẽ bị cấm bình luận vĩnh viễn.
- Đề thi lớp 1 (các môn học)
- Đề thi lớp 2 (các môn học)
- Đề thi lớp 3 (các môn học)
- Đề thi lớp 4 (các môn học)
- Đề thi lớp 5 (các môn học)
- Đề thi lớp 6 (các môn học)
- Đề thi lớp 7 (các môn học)
- Đề thi lớp 8 (các môn học)
- Đề thi lớp 9 (các môn học)
- Đề thi lớp 10 (các môn học)
- Đề thi lớp 11 (các môn học)
- Đề thi lớp 12 (các môn học)
- Giáo án lớp 1 (các môn học)
- Giáo án lớp 2 (các môn học)
- Giáo án lớp 3 (các môn học)
- Giáo án lớp 4 (các môn học)
- Giáo án lớp 5 (các môn học)
- Giáo án lớp 6 (các môn học)
- Giáo án lớp 7 (các môn học)
- Giáo án lớp 8 (các môn học)
- Giáo án lớp 9 (các môn học)
- Giáo án lớp 10 (các môn học)
- Giáo án lớp 11 (các môn học)
- Giáo án lớp 12 (các môn học)


Giải bài tập SGK & SBT
Tài liệu giáo viên
Sách
Khóa học
Thi online
Hỏi đáp

