Các dạng bài Giải bất phương trình (Ôn thi vào lớp 10 Toán 2025)
Tài liệu Các dạng bài Giải bất phương trình ôn thi vào lớp 10 Toán năm 2025 có lời giải chi tiết giúp học sinh củng cố kiến thức, ôn luyện để chuẩn bị tốt cho kì thi tuyển sinh vào lớp 10 môn Toán.
Các dạng bài Giải bất phương trình (Ôn thi vào lớp 10 Toán 2025)
Xem thử Đề ôn vào 10 Xem thử Đề vào 10 Hà Nội Xem thử Đề vào 10 TP.HCM Xem thử Đề vào 10 Đà Nẵng
Chỉ từ 150k mua trọn bộ Đề ôn thi vào 10 môn Toán năm 2025 bản word có lời giải chi tiết:
- B1: gửi phí vào tk:
1133836868- CT TNHH DAU TU VA DV GD VIETJACK - Ngân hàng MB (QR) - B2: Nhắn tin tới Zalo VietJack Official - nhấn vào đây để thông báo và nhận giáo án
GIẢI BẤT PHƯƠNG TRÌNH ÔN THI VÀO 10
Dạng 1: Giải bất phương trình bậc nhất cơ bản
Phương pháp:
- Bất phương trình bậc nhất cơ bản là bất phương trình có dạng : ax + b > 0, ax + b < 0, ax + b ≤ 0, ax + b ≥ 0 (
)
- Cách giải bất phương trình ax + b > 0
Nếu a > 0 thì

Nếu a < 0 thì

Chú ý: Các bất phương trình còn lại giải tương tự
Ví dụ 1: Giải các bất phương trình sau
a) 2x + 5 > 0
b) -3x + 6 ≤ 0
c) 7x – 3 ≥ 0
Giải
a) 2x + 5 > 0

Vậy nghiệm của bất phương trình là

b) -3x + 6 ≤ 0

Vậy nghiệm của bất phương trình là x ≥ 2
c) 7x – 3 ≥ 0

Vậy tập nghiệm của bất phương trình là

Ví dụ 2: Giải bất phương trình

Giải
Ta có
Vậy nghiệm của bất phương trình là x ≤ -5
Dạng 2: Giải và biện luận bất phương trình chứa tham số m
Phương pháp
+ Cách giải và biện luận phương trình ax + b > 0 (1)
- TH1: Nếu a = 0 thì (1) có dạng b > 0 . Khi đó nếu b là số dương thì (1) có tập nghiệm là R, nếu b âm hoặc bằng 0 thì (1) vô nghiệm
- TH2: Nếu a > 0 thì (1)
. Khi đó nghiệm của bất phương trình (1) là
- TH3: Nếu a < 0 thì (1)
. Khi đó nghiệm của bất phương trình (1) là 
+ Chú ý:
- Cách giải và biện luận các bất phương trình ax + b < 0, ax + b ≤ 0, ax + b ≥ 0 tương tự như trên
- Nếu bất phương trình chưa ở dạng tổng quát ( ax + b > 0, ax + b < 0, ax + b ≤ 0, ax + b ≥ 0) thì phải biến đổi đưa về dạng tổng quát trước rồi mới giải và biện luận
Ví dụ: Giải và biện luận các bất phương trình sau
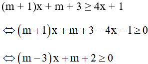
a) (m + 1)x + m + 3 ≥ 4x + 1
b) 2mx – 1 < x + 4m2
Giải
a) Ta có

Nếu m – 3 = 0 ⇔ m = 3 thì bất phương trình có dạng 5 ≥ 0 (luôn đúng)
⇒tập nghiệm của bất phương trình là R
Nếu m – 3 > 0 ⇔ m > 3 thì bất phương trình

Nếu m – 3 < 0 ⇔ m < 3 thì bất phương trình

Kết luận
- Nếu m = 3 thì tập nghiệm của bất phương trình là R
- Nếu m > 3 thì bất phương trình có nghiệm là

- Nếu m < 3 thì bất phương trình có nghiệm là

b) Ta có

Nếu 2m – 1 = 0 ⇔ m = 1/2 thì bất phương trình có dạng -2 < 0 (luôn đúng)
tập nghiệm của bất phương trình là R
Nếu 2m – 1 > 0 ⇔ m > 1/2 thì bất phương trình (2m – 1)x – 4m2 – 1 < 0
Nếu m – 3 < 0 ⇔ m < 3 thì bất phương trình (2m – 1)x – 4m2 – 1 < 0

Kết luận
- Nếu m=1/2 thì tập nghiệm của bất phương trình là R
- Nếu m > 1/2 thì bất phương trình có nghiệm là

- Nếu m < 3 thì bất phương trình có nghiệm là

Dạng 3: Giải bất phương trình chứa ẩn trong dấu giá trị tuyệt đối
Phương pháp
Để giải bất phương trình chứa ẩn trong dấu giá trị tuyệt đối ta tìm cách phá bỏ dấu giá trị tuyệt đối bằng một số cách sau đây
- Dùng định nghĩa dấu giá trị tuyệt đối :

- Bình phương hai vế
- Đặt ẩn phụ
Một số bất phương trình chứa dấu giá trị tuyệt đối đơn giản
+
( a là số dương)
+
( a là số dương)
Các bất phương trình :
giải tương tự
Ví dụ: Giải các phương trình sau

Giải
a)Ta có

Vậy nghiệm của bất phương trình là x ≥ 1/3 hoặc x ≤ -1
b)

Vậy nghiệm của bất phương trình là 0 < x < 2
c)

Đặt
, (t ≥ 0). Khi đó phương trình trở thành

Kết hợp với điều kiện t ≥ 0 ⇒ t = 0
Với t = 0 thì 
Vậy nghiệm của bất phương trình là x = 2
Dạng 4:Giải bất phương trình chứa ẩn ở mẫu
Phương pháp
Để giải bất phương trình chứa ẩn ở mẫu ta làm như sau:
- B1: Đặt điều kiện cho bất phương trình
- B2: Chuyển về một vế
- B3: Quy đồng nhưng không khử mẫu ta được bất phương trình
hoặc
hoặc
hoặc 
- B4: Giải bất phương trình thu được ở B3, đối chiếu nghiệm tìm được với điều kiện rồi kết luận
Chú ý:
+Bất phương trình

+Bất phương trình

+Bất phương trình

+Bất phương trình

Để giải 4 bất phương trình trên ngoài hướng biến đổi đã trình bày bên trên ta có thể lập bảng xét dấu để tìm nghiệm của bất phương trình
Ví dụ: Giải các bất phương trình sau

Giải
a) Điều kiện: x ≠ 3
Bất phương trình

Vậy nghiệm của phương trình là

b) Điều kiện:

Bất phương trình
Lập bảng xét dấu biểu thức


Từ bảng xét dấu ta có nghiệm của bất phương trình là :

Bài tập áp dụng
Bài 1: Giải các bất phương trình sau

Bài 2: Giải các bất phương trình sau

Bài 3: Giải các bất phương trình sau

Bài 4:Giải các bất phương trình sau

Bài 5: Giải và biện luận các bất phương trình sau
a) m(x – m) ≤ 4x + 5
b) mx + 6 > 2x + 3m
c) m(x + 1) + x < 3x + 4
d) m(x – 1) + 4x ≥ 5
e) m(x – m) > 2(4 – x)
Bài 6: Tìm m để mỗi bất phương trình sau vô nghiệm
a) m(x – m) ≤ x – 1
b) mx + 6 > 2x + 3m
c) (m + 1)x + m < 3m + 4
d) mx + 1 > m2 + x
Bài 7: Tìm m để mỗi bất phương trình sau có nghiệm
a) m2x + 4m – 3 < x + m2
b) m2x + 1 ≥ m + (3m – 2)x
c) 3 – mx < 2(x – m) – (m + 1)2
d) mx – m2 > mx – 4
Bài 8: Tìm m để bất phương trình mx – 3m + 2 > 0 có nghiệm là x > 0
Bài 9: Tìm m để bất phương trình x + m ≥ 1 có nghiệm là x ≥ -2
Bài 10:Tìm m để bất phương trình 2x – m < 3(x – 1) có nghiệm là x > 4
Xem thử Đề ôn vào 10 Xem thử Đề vào 10 Hà Nội Xem thử Đề vào 10 TP.HCM Xem thử Đề vào 10 Đà Nẵng
Xem thêm bộ tài liệu các dạng bài tập ôn thi vào lớp 10 môn Toán chọn lọc, hay khác:
- Các dạng bài Giải hệ phương trình (Ôn thi vào lớp 10 Toán 2025)
- Các dạng bài Đồ thị hàm số (Ôn thi vào lớp 10 Toán 2025)
- Các dạng bài Phương trình chứa tham số (Ôn thi vào lớp 10 Toán 2025)
- Các dạng toán Hệ thức Vi-et ôn thi vào lớp 10 năm 2025
- Các dạng bài Giải bài toán bằng cách lập phương trình ôn thi vào 10 năm 2025
Đã có app VietJack trên điện thoại, giải bài tập SGK, SBT Soạn văn, Văn mẫu, Thi online, Bài giảng....miễn phí. Tải ngay ứng dụng trên Android và iOS.
Theo dõi chúng tôi miễn phí trên mạng xã hội facebook và youtube:Nếu thấy hay, hãy động viên và chia sẻ nhé! Các bình luận không phù hợp với nội quy bình luận trang web sẽ bị cấm bình luận vĩnh viễn.
- Đề thi lớp 1 (các môn học)
- Đề thi lớp 2 (các môn học)
- Đề thi lớp 3 (các môn học)
- Đề thi lớp 4 (các môn học)
- Đề thi lớp 5 (các môn học)
- Đề thi lớp 6 (các môn học)
- Đề thi lớp 7 (các môn học)
- Đề thi lớp 8 (các môn học)
- Đề thi lớp 9 (các môn học)
- Đề thi lớp 10 (các môn học)
- Đề thi lớp 11 (các môn học)
- Đề thi lớp 12 (các môn học)
- Giáo án lớp 1 (các môn học)
- Giáo án lớp 2 (các môn học)
- Giáo án lớp 3 (các môn học)
- Giáo án lớp 4 (các môn học)
- Giáo án lớp 5 (các môn học)
- Giáo án lớp 6 (các môn học)
- Giáo án lớp 7 (các môn học)
- Giáo án lớp 8 (các môn học)
- Giáo án lớp 9 (các môn học)
- Giáo án lớp 10 (các môn học)
- Giáo án lớp 11 (các môn học)
- Giáo án lớp 12 (các môn học)


Giải bài tập SGK & SBT
Tài liệu giáo viên
Sách
Khóa học
Thi online
Hỏi đáp

