Các dạng Toán nâng cao ôn thi vào lớp 10 năm 2025
Tài liệu Các dạng Toán nâng cao ôn thi vào lớp 10 năm 2025 có lời giải chi tiết giúp học sinh củng cố kiến thức, ôn luyện để chuẩn bị tốt cho kì thi tuyển sinh vào lớp 10 môn Toán.
Các dạng Toán nâng cao ôn thi vào lớp 10 năm 2025
Xem thử Đề ôn vào 10 Xem thử Đề vào 10 Hà Nội Xem thử Đề vào 10 TP.HCM Xem thử Đề vào 10 Đà Nẵng
Chỉ từ 150k mua trọn bộ Đề ôn thi vào 10 môn Toán năm 2025 bản word có lời giải chi tiết:
- B1: gửi phí vào tk:
1133836868- CT TNHH DAU TU VA DV GD VIETJACK - Ngân hàng MB (QR) - B2: Nhắn tin tới Zalo VietJack Official - nhấn vào đây để thông báo và nhận giáo án
Dạng 1: Các bài toán về chứng minh đẳng thức, bất đẳng thức
Phương pháp
*)Phương pháp chứng minh bất đẳng thức
1. Phương pháp dùng định nghĩa của bất đẳng thức:
Muốn chứng minh a < b, ta chứng minh a – b < 0
Muốn chứng minh a > b ta chứng minh a – b > 0
2. Phương pháp biến đổi tương đương:

Nếu bất đẳng thức cuối đúng thì bất đẳng thức đầu đúng.
3. Phương pháp vận dụng tính chất của bất đẳng thức và vận dụng những bất đẳng thức quen thuộc:
Từ các bất đẳng thức đã biết ta dùng các tính chất của bất đẳng thức để suy ra bất đẳng thức cần chứng minh.
4. Phương pháp phản chứng:
Muốn chứng minh A < B ta giả sử A ≥ B rồi suy ra một điều vô lí (mâu thuẫn với điều đã cho hoặc đã biết), từ đó suy ra điều giả sử là sai, điều phải chứng minh là đúng.
Chú ý
Tính chất của bất đẳng thức

5. Cộng từng vế của hai bất đẳng thức cùng chiều được một bất đẳng thức cùng chiều.
6. Trừ từng vế của hai bất đẳng thức khác chiều được một bất đẳng thức mới cùng chiều với bất đẳng thức thứ nhất.
7. Nhân từng vế của hai bất đẳng thức cùng chiều mà hai vế không âm, ta được một bất đẳng thức cùng chiều. Đặc biệt:

8. Nếu
thì 
Một số hằng bất đẳng thức hay dùng.
1. Nếu a và b là hai số cùng dấu thì

(dấu = xảy ra ⇔a=b ).
2. Nếu a,b>0 thì
(dấu = xảy ra ⇔a=b).
3.
(dấu = xảy ra khi a.b≥0 ).
4.
(dấu = xảy ra khi a≥b≥0 hoặc a≤b≤0 )
5. Bất đẳng thức Cô-si
Với a,b≥0 thì

hay
(dấu = xảy ra khi a=b ).
Vài dạng khác của bất đẳng thức Cô-si.

*)Phương pháp chứng minh đẳng thức
1. Phương pháp dùng định nghĩa của đẳng thức:
Muốn chứng minh a = b, ta chứng minh a – b = 0
2. Phương pháp biến đổi tương đương:

Nếu đẳng thức cuối đúng thì đẳng thức đầu đúng.
3. Phương pháp vận dụng những đẳng thức đúng đã được chứng minh:
Từ các đẳng thức đã biết ta dùng các tính chất của đẳng thức để suy ra đẳng thức cần chứng minh.
4. Phương pháp biến đổi vế: để chứng minh đẳng thức A = B ta xuất phát từ vế trái A và biến đổi A về B hoặc ngược lại
5. Sử dụng tính chất bắc cầu. Để chứng minh đẳng thức A = B ta chứng minh A = C và B = C, từ đó suy ra đẳng thức cần chứng minh
Ví dụ 1: Cho x, y là các số dương thỏa mãn điều kiện x + y = 5. Chứng minh rằng

Lời giải
Dễ dàng chứng minh được với a > 0, b > 0 ta có
(1).
Dấu “=” xảy ra khi và chỉ khi a = b.
Áp dụng bất đẳng thức (1) ta có: .

Dấu “=” xảy ra khi và chỉ khi x = y = 2,5 ( thỏa mãn).
Ví dụ 2: Chứng minh rằng

với n > 0
Giải
Ta có


⇒ đẳng thức đã cho đứng với mọi n > 0
Dạng 2: Các bài toán tìm GTLN, GTNN
Phương pháp :
Để tìm GTLN-GTNN của một biểu thức ta thường sử dụng bất đẳng thức
+) Một số bất đẳng thức thông dụng
- BĐT chứa dấu giá trị tuyệt đối

- BĐT Cô-si
Áp dụng cho 2 số không âm a và b:

(dấu “=” xảy ra khi a = b)
Áp dụng cho 3 số không âm a,b và c:

( dấu “=” xảy ra khi a = b = c)
- BĐT Bu-nhi-a-côp-xki
Áp dụng cho 2 cặp số thực (a,b) và (x,y):

( dấu “=” xảy ra khi
)
Áp dụng cho 2 bộ ba số (a,b,c) và (x,y,z):

(dấu “=” xảy ra khi
)
+)Để tìm GTLN của biểu thức P ta làm như sau :
Sử dụng BĐT ta đánh giá P ≤ m và chỉ ra P = m khi nào
⇒GTLN của P là m
+)Để tìm GTNN của biểu thức P ta làm như sau :
Sử dụng BĐT ta đánh giá P ≥ m và chỉ ra P = m khi nào
⇒ GTNN của P là m
Ví dụ 1: Tìm GTNN của biểu thức

Giải
Áp dụng

ta có:

Dấu “=” xảy ra khi
Vậy GTNN của P là 6 đạt được khi

- Chú ý: Nếu
thì ta viết lại là
rồi sau đó làm tương tự như trên
Ví dụ 2: Cho x, y, z là các số thực thỏa mãn x ≥ 7, x + y ≥ 12 và x + y + z = 15. Tìm giá trị nhỏ nhất của biểu thức A = x2 + y2 + z2.
Giải
Ta có: x ≥ 7, x + y ≥ 12 và x + y + z = 15.


Dấu “ = ” xảy ra khi x = 7, y = 5, z = 3 (thỏa mãn)
Vậy A đạt giá trị nhỏ nhất bằng 83 khi x = 7, y = 5, z = 3
Dạng 3: Các bài toán giải hệ phương trình nâng cao
Phương pháp
Để giải hệ nâng cao trong chương trình lớp 9 ta thường sử dụng hai phương pháp sau
1. Phương pháp biến đổi tương đương
Trong phương pháp này ta sử dụng một số hướng biến đổi sau đây
- Rút x hoặc y từ phương trình này rồi thế vào phương trình kia
- Đưa một trong hai phương trình của hệ về dạng tích có nhân tử là phương trình bậc nhất hai ẩn sau đó sử dụng phương pháp thế để giải
- Xem một phương trình của hệ là phương trình bậc hai đối với một ẩn và ẩn còn lại là tham số rồi dùng công thức nghiệm khi có thể
2. Phương pháp đặt ẩn phụ
- Điểm mấu chốt của phương pháp này là phải phát hiện ra ẩn phụ u = f(x;y) và v = g(x;y)ngay trong từng phương trình của hệ hoặc sau một số phép biến đổi hệ đã cho
- Thông thường việc biến đổi hệ chỉ xoay quanh việc cộng , trừ hai phương trình của hệ hoặc chia hai vế của một phương trình hay cả hai phương trình của hệ cho một đại lượng khác không từ đó nhận ra việc chọn ẩn phụ như thế nào cho hợp lí
Ví dụ 1: Giải hệ phương trình

Giải
Ta có

Coi (1) là phương trình bậc hai với ẩn là x – y. Phương trình này có a + b+ c = 1 + 3 – 4 = 0 nên có hai nghiệm x – y = 1; x – y = -4
Với x – y = 1 ta có hệ phương trình


Với x – y = -4 ta có hệ phương trình

Phương trình

có

nên vô nghiệm, do đó hệ phương trình

cũng vô nghiệm
Vậy hệ đã cho có hai nghiệm: (1;0) và (-1;-2)
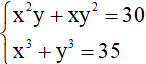
Ví dụ 2: Giải hệ phương trình

Giải
Ta có

Đặt 
Hệ đã cho trở thành
(2)
Theo Vi-et u và v là nghiệm của phương trình

⇒ hệ (2) có hai nghiệm (u;v) = (2;6) hoặc (6;2)
Với

⇒ hệ (1) có 4 nghiệm: (1;-3), (1;2), (-2;-3), (-2;2)
Với
⇒hệ (1) có 4 nghiệm: (-3;1), (2;1), (-3;-2), (2;-2)
Kết luận: hệ phương trình đã cho có 8 nghiệm: (1;-3), (1;2), (-2;-3), (-2;2), (-3;1), (2;1), (-3;-2), (2;-2)
Bài tập áp dụng
Bài 1: Giải hệ phương trình

Bài 2: Giải hệ phương trình

Bài 3: Giải hệ phương trình

Bài 4: Giải hệ phương trình

Bài 5: Giải hệ phương trình

Bài 6: Giải hệ phương trình

Bài 7: Giải hệ phương trình

Bài 8: Giải hệ phương trình

Bài 9: Chứng minh rằng:

Bài 10: Chứng minh rằng:

Bài 11: Cho x + y + z = A. Chứng minh rằng:

Bài 12: Cho a + b + c = 0. Chứng minh rằng:

Bài 13: Cho x > y, xy = 1. Chứng minh rằng:

Bài 14: Cho a, b , c, d ≥ 0 . Chứng minh rằng:

Bài 15: Cho a, b , c là các số thực. Chứng minh rằng:

Bài 16: Tìm giá trị nhỏ nhất của các biểu thức sau

Bài 17: Tìm giá trị nhỏ nhất và giá trị lớn nhất của các biểu thức sau

Bài 18: Cho biểu thức

Với x > 0, y > 0 và x2 + y2 =1. Tìm giá trị nhỏ nhất của B.
Bài 19: Cho hai số dương x và y. Chứng minh rằng

Bài 20: Cho x, y, z là các số dương thoả mãn: xy + yz + zx = 4xyz.
Chứng minh:

Xem thử Đề ôn vào 10 Xem thử Đề vào 10 Hà Nội Xem thử Đề vào 10 TP.HCM Xem thử Đề vào 10 Đà Nẵng
Xem thêm bộ tài liệu các dạng bài tập ôn thi vào lớp 10 môn Toán chọn lọc, hay khác:
- Các dạng toán Hình học ôn thi vào lớp 10 năm 2025
- Cấu trúc đề thi vào lớp 10 môn Toán năm 2025
- Cấu trúc đề thi vào lớp 10 môn Toán năm 2025 Hà Nội
- Cấu trúc đề thi vào lớp 10 Toán năm 2025 TP.HCM
- Cấu trúc đề thi vào lớp 10 môn Toán năm 2025 Đà Nẵng
Đã có app VietJack trên điện thoại, giải bài tập SGK, SBT Soạn văn, Văn mẫu, Thi online, Bài giảng....miễn phí. Tải ngay ứng dụng trên Android và iOS.
Theo dõi chúng tôi miễn phí trên mạng xã hội facebook và youtube:Nếu thấy hay, hãy động viên và chia sẻ nhé! Các bình luận không phù hợp với nội quy bình luận trang web sẽ bị cấm bình luận vĩnh viễn.
- Đề thi lớp 1 (các môn học)
- Đề thi lớp 2 (các môn học)
- Đề thi lớp 3 (các môn học)
- Đề thi lớp 4 (các môn học)
- Đề thi lớp 5 (các môn học)
- Đề thi lớp 6 (các môn học)
- Đề thi lớp 7 (các môn học)
- Đề thi lớp 8 (các môn học)
- Đề thi lớp 9 (các môn học)
- Đề thi lớp 10 (các môn học)
- Đề thi lớp 11 (các môn học)
- Đề thi lớp 12 (các môn học)
- Giáo án lớp 1 (các môn học)
- Giáo án lớp 2 (các môn học)
- Giáo án lớp 3 (các môn học)
- Giáo án lớp 4 (các môn học)
- Giáo án lớp 5 (các môn học)
- Giáo án lớp 6 (các môn học)
- Giáo án lớp 7 (các môn học)
- Giáo án lớp 8 (các môn học)
- Giáo án lớp 9 (các môn học)
- Giáo án lớp 10 (các môn học)
- Giáo án lớp 11 (các môn học)
- Giáo án lớp 12 (các môn học)


Giải bài tập SGK & SBT
Tài liệu giáo viên
Sách
Khóa học
Thi online
Hỏi đáp

