Các dạng bài Giải hệ phương trình (Ôn thi vào lớp 10 Toán 2025)
Tài liệu Các dạng bài Giải hệ phương trình ôn thi vào lớp 10 Toán năm 2025 có lời giải chi tiết giúp học sinh củng cố kiến thức, ôn luyện để chuẩn bị tốt cho kì thi tuyển sinh vào lớp 10 môn Toán.
Các dạng bài Giải hệ phương trình (Ôn thi vào lớp 10 Toán 2025)
Xem thử Đề ôn vào 10 Xem thử Đề vào 10 Hà Nội Xem thử Đề vào 10 TP.HCM Xem thử Đề vào 10 Đà Nẵng
Chỉ từ 150k mua trọn bộ Đề ôn thi vào 10 môn Toán năm 2025 bản word có lời giải chi tiết:
- B1: gửi phí vào tk:
1133836868- CT TNHH DAU TU VA DV GD VIETJACK - Ngân hàng MB (QR) - B2: Nhắn tin tới Zalo VietJack Official - nhấn vào đây để thông báo và nhận giáo án
GIẢI HỆ PHƯƠNG TRÌNH ÔN THI VÀO 10
Dạng 1: Giải hệ phương trình bậc nhất hai ẩn (PP thế, PP cộng đại số)
Phương pháp
Hệ phương trình bậc nhất hai ẩn x, y là hệ phương trình có dạng

(trong đó a1, b1, c1, a2, b2, c2 là các hệ số thực; x và y là ẩn)
+ Giải hệ phương trình bậc nhất hai ẩn bằng PP thế ta làm như sau
- B1: Nếu a1 ≠ 0 ta rút x từ phương trình (1) rồi thế vào phương trình (2) được phương trình một ẩn y
- B2: Giải phương trình ẩn y để tìm y
- B3: Thay y tìm được vào phương trình (1) tìm x
-B4: Kết luận nghiệm của hệ phương trình
Chú ý: - Ta có thể rút y từ phương trình (1) để thế vào phương trình (2)
- Có thể rút x hoặc y từ phương trình (2) rồi thế vào phương trình (1)
+ Giải hệ phương trình bậc nhất hai ẩn bằng PP cộng đại số ta làm như sau
- B1: Nhân hai vế của hai phương trình với số thích hợp (nếu cần) sao cho các hệ số của cùng một ẩn ( x hoặc y) của hai phương trình bằng nhau hoặc đối nhau
-B2: Cộng vế với vế hoặc trừ vế với vế của hai phương ta được phương trình một ẩn
- B3: Giải phương trình một ẩn thu được ở B2 rồi suy ra nghiệm của hệ đã cho
Ví dụ : Giải hệ phương trình 
Giải
Cách 1: PP cộng đại số
Ta có

Lấy (1) –(2) ta được:

Thay
vào (1):

Vậy nghiệm của hệ phương trình là 
Cách 2: PP thế
Từ (1)⇒y= 2x-7 (*), thế vào (2) ta được:

Thay
vào (*):

Vậy nghiệm của hệ phương trình là 
Dạng 2: Giải hệ phương trình bằng cách đặt ẩn phụ
Phương pháp
Để giải hệ phương trình bằng cách đặt ẩn phụ ta làm như sau:
-B1: Đặt điều kiện cho các phương trình của hệ(nếu có)
-B2: Biến đổi hệ đã cho (nếu cần), đặt ẩn phụ và đưa ra điều kiện cho ẩn phụ
Đưa hệ đã cho về hệ mới theo ẩn phụ
-B3: Giải hệ mới tìm ẩn phụ
-B4: Thay giá trị của ẩn phụ vào biểu thức đặt ẩn phụ ở B2 để tìm ẩn ban đầu
- B5: Đối chiếu nghiệm tìm được với điều kiện sau đó kết luận
Ví dụ: Giải hệ phương trình:

Giải
a. ĐKXĐ: 
Đặt
(a ≥ 0) và
, ta có hệ phương trình

Ta thấy a = 1, b = -4 thỏa mãn điều kiện của ẩn phụ
Với a = 1, b = -4

(thỏa mãn điều kiện của hệ)
Vậy hệ phương trình đã cho có nghiệm (4;-1).
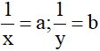
b. Điều kiện: x ≠ 0, y ≠ 0
Đặt
(*)
Hệ phương trình đã cho tương đương với

Ta có:

Thay
vào (*) ta có
(thỏa mãn)
Vậy nghiệm của hệ phương trình là 
Dạng 3: Giải hệ phương trình bằng phương pháp đánh giá
Phương pháp
-B1: Đặt điều kiện cho ẩn (nếu có)
- B2: Đánh giá giá trị hai vế của một hoặc hai phương trình của hệ nhờ đó ta có thể thu hẹp được miền giá trị của các ẩn tạo điều kiện cho ta chỉ ra nghiệm của hệ hoặc chứng minh được hệ vô nghiệm
-B3: Kết luận
Chú ý : Với phương pháp này đòi hỏi người làm phải nắm vững kiến thức về bất đẳng thức, các phương pháp tìm giá trị lớn nhất, giá trị nhỏ nhất
Ví dụ 1: Giải hệ phương trình

Giải
Giả sử hệ có nghiệm, khi đó phương trình thứ hai của hệ có nghiệm
Ta biến đổi phương trình
(1)
Ta coi (1) là phương trình bậc hai ẩn y, tham số x

Vì phương trình có nghiệm nên Δ ≥ 0

Ta biến đổi phương trình
(2)
Ta coi (2) là phương trình bậc hai ẩn x, tham số y có

Vì phương trình có nghiệm nên Δ ≥ 0

Ta có

Vậy phương trình thứ nhất vô nghiệm ( mâu thuẫn với giả sử ban đầu)
Vậy hệ vô nghiệm
Ví dụ 2: Giải hệ phương trình

Giải
Hệ phương trình


Từ phương trình (2) ta có (x – 2) và (y – 2) cùng dấu (*)
Nếu x > 2 thì x – 2 > 0, từ (1) suy ra y – 2 < 0 ( mâu thuẫn với *)
Nếu x < 2 thì x – 2 < 0, từ (1) suy ra y – 2 > 0 ( mâu thuẫn với *)
Nếu x = 2 thay vào (1) ta có: y – 2 = 0 y = 2
Với x = 2; y = 2 thay vào hệ phương trình ta được

Vậy nghiệm của hệ phương trình (2;2)
Dạng 4: Giải hệ phương trình nâng cao: đối xứng loại I, đối xứng loại II, đẳng cấp
1. Hệ phương trình đối xứng loại 1
a. Dạng của hệ phương trình
- Là hệ gồm hai phương trình hai ẩn x, y mà khi thay x bởi y và thay y bởi x thì mỗi phương trình của hệ không thay đổi
- Ví dụ: Hệ phương trình

Khi thay x bởi y và thay y bởi x thì được hệ

Ta thấy mỗi phương trình của hệ không thay đổi nên hệ đã cho là hệ đối xứng loại 1
b. Cách giải
B1: Biến đổi biểu thức ở hai phương trình của hệ theo tổng và tích của x, y
B2: Đặt
với điều kiện (S2 ≥ 4P)
B3: Tìm S, P thỏa mãn điều kiện (S2 ≥ 4P). Khi đó x, y là nghiệm của phương trình t2 – St + P = 0
B4: Kết luận
Ví dụ: Giải hệ phương trình
(I)
Giải
Hệ 
Đặt
với điều kiện (S2 ≥ 4P)
Khi đó hệ phương trình trở thành

Từ S + P = 5 ⇒P = 5 – S. Thế vào phương trình S2 + S -2P = 8 ta được

*Với S = 3 P = 5 – 3 = 2 thỏa mãn điều kiện (S2 ≥ 4P)
Ta có
, theo Vi-et x, y là nghiệm của phương trình:
t2 – 3t + 2 = 0
Suy ra hệ có hai nghiệm: x = 1 và y = 2, x =2 và y = 1
* Với S = -6 ⇒P = 5 – (-6) = 11 không thỏa mãn điều kiện (S2 ≥ 4P) nên loại
Vậy hệ đã cho có hai nghiệm: x = 1 và y = 2, x =2 và y = 1
2. Hệ phương trình đối xứng loại 2
a. Dạng của hệ phương trình
- Là hệ gồm hai phương trình hai ẩn x, y mà khi thay x bởi y và thay y bởi x thì phương trình này trở thành phương trình kia và ngược lại nhưng hệ không thay đổi
- Ví dụ: Hệ phương trình

Khi thay x bởi y và thay y bởi x thì được hệ

Ta thấy phương trình này trở thành phương trình kia và ngược lại nhưng hệ không thay đổi nên hệ đã cho là hệ phương trình đối xứng loại 2
b. Cách giải
- B1: Trừ vế với vế của hai phương trình cho nhau ta được phương trình dạng

-B2: Kết hợp (*) với 1 phương trình của hệ, kết hợp (**) với 1 phương trình của hệ ta được hai hệ phương trình. Giải hai hệ phương trình đó
-B3: Kết luận
- Ví dụ: Giải hệ phương trình

Giải
Lấy (1) – (2) ta được: x2 – y2 = 3x + 2y – 3y – 2x

Kết hợp x – y = 0 với phương trình (1) ta có hệ:

Với x = 0 thì y = x = 0
Với x = 5 thì y = x = 5
Kết hợp x + y - 1 = 0 với phương trình (1) ta có hệ:

Với x = -1 thì y = 1 – x = 1 + 1 = 2
Với x = 2 thì y = 1 – x = 1 - 2 = -1
Vậy hệ phương trình có 4 nghiệm : (0;0), (5;5), (-1;2), (2;-1)
3. Hệ phương trình đẳng cấp
a. Dạng hệ phương trình đẳng cấp
Hệ phương trình đẳng cấp là hệ gồm 2 phương trình 2 ẩn mà ở mỗi phương trình bậc của mỗi ẩn bằng nhau
Dạng là
với f, g là các hàm số với hai biến x, y có bậc bằng nhau
Ví dụ: 
Tất cả các số hạng trong hai phương trình( x3, y3, x2y, 2xy2) đều có bậc là 3 nên là hệ phương trình đẳng cấp bậc 3
b. Cách giải
Để giải hệ phương trình đẳng cấp này, ta thực hiện các bước sau:
Hệ phương trình

+ Bước 1: Nhân phương trình (1) với a2 và phương trình (2) với a1 rồi trừ hai phương trình để làm mất hệ số tự do
+ Bước 2: Phương trình có hai ẩn x và y. Xét hai trường hợp:
- Trường hợp 1: x = 0 hoặc y = 0 thay vào phương trình để tìm ra y hoặc x. Thử lại kết quả vừa tìm được bằng cách thay vào hệ phương trình
- Trường hợp 2: x khác 0 hoặc y khác 0, chia cả hai vế của phương trình cho bậc cao nhất của ẩn x hoặc y
+ Bước 3: Giải phương trình với ẩn
hoặc
rồi sau đó tìm được nghiệm của hệ phương trình
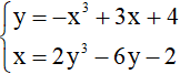
Ví dụ: Giải hệ phương trình:

Lời giải:
Có

Lấy (1) – (2) ta có:

Trường hợp 1: với y = 0, thay vào phương trình (3) có x = 0. Với x = 0, y = 0 thay vào phương trình (1) có 0 = 2 (vô lý). Vậy x = 0, y = 0 không là nghiệm của hệ
Trường hợp 2: với y khác 0, chia cả hai vế của phương trình (3) cho y3 ta được:

Đặt 
Phương trình trở thành:

Với
, thay vào phương trình (1) có:

Với
, thay vào phương trình (2) có:
(vô lý)
Với
, thay vào phương trình (2) có:

Vậy nghiệm của hệ phương trình là:

Dạng 5: Giải và biện luận số nghiệm của của hệ phương trình chứa tham số m
Phương pháp
Cho hệ phương trình :

-Từ hệ phương trình : dùng phương pháp thế hoặc cộng đại số để có phương trình một ẩn x hoặc ẩn y
Giả sử phương trình ẩn x có dạng ax= b (1)
-Số nghiệm của PT(1) chính là số nghiệm của HPT(I)
Biện luận phương trình (1) ta sẽ có sự biện luận của HPT(I)
+Nếu a=0 thì PT (1) trở thành 0x =b
- Nếu b = 0 thì PT(1) có vô số nghiệm ⇒HPT có vô số nghiệm
- Nếu b0 thì PT(1) vô nghiệm ⇒HPT vô nghiệm
+Nếu a 0 thì PT(1) có nghiệm duy nhất ⇒HPT có nghiệm duy nhất
Biểu diễn nghiệm duy nhất( x,y) theo tham số
Ví dụ 1: Giải và biện luận hệ phương trình:

Giải
Từ (1)⇒ x = m + 1 - my, thay vào (2) ta được:
m(m + 1 - my) + y = 3m - 1
⇔(m - 1)(m + 1)y = (m – 1)2 (3)
*Nếu ⇔(m - 1)(m + 1) ≠0 hay m ≠ ±1 thì PT(3) có nghiệm duy nhất ⇒HPT có nghiệm duy nhất

Khi đó
.
Hệ có nghiệm duy nhất:

* Nếu m = 1 thì thì PT(3) có vô số nghiệm ⇒HPT có vô số nghiệm
* Nếu m = -1 thì (3) trở thành 0x = 4 . Hệ vô nghiệm
*Kết luận
- Nếu m ≠ ±1 thì hệ có nghiệm duy nhất:

- Nếu m = 1 thì hệ có vô số nghiệm
- Nếu m = -1 thì hệ vô nghiệm
Ví dụ 2: Cho hệ phương trình

Giải và biện luận hệ phương trình theo m
Giải
Ta có

Nếu m ≠ ±1thì phương trình (*) có 1 nghiệm

Do đó hệ phương trình có 1 nghiệm duy nhất

Nếu m = 1 thì phương trình (*): 0.x = 0( phương trình có vô số nghiệm)
Do đó hệ phương trình có vô số nghiệm
Nếu m = -1 thì phương trình (*): 0.x = 2( phương trình vô nghiệm)
Do đó hệ phương trình vô nghiệm
Kết luận :
- Nếu m ≠ ±1 thì hệ phương trình có 1 nghiệm duy nhất

-Nếu m = 1 thì hệ phương trình có vô số nghiệm

-Nếu m = -1 thì hệ phương trình vô nghiệm
Dạng 6: Tìm điều kiện của tham số m để hệ phương trình có nghiệm thỏa mãn yêu cầu cho trước
Phương pháp
Muốn tìm điều kiện của tham số m để hệ phương trình có nghiệm thỏa mãn yêu cầu cho trước ta làm như sau
+ B1: Giải hệ phương trình tìm nghiệm theo tham số m
+ B2: Thay nghiệm vừa tìm được vào điều kiện
+ B3: Giải điều kiện tìm m
+ B4: Kết luận
Ví dụ 1: Cho hệ phương trình

Tìm m để hệ có nghiệm (x;y) thỏa mãn x = 3y + 1
Giải
Ta có

Theo giả thiết x = 3y + 1 ⇒m = 3(m + 1) + 1⇔ m = 3m + 4m = -2
Vậy với m = -2 thì hệ có nghiệm (x;y) thỏa mãn x = 3y + 1
Ví dụ 2: Cho hệ phương trình:
( a là tham số)
Tìm các số nguyên a để hệ phương trình có một nghiệm nguyên
Giải
Từ PT (1) ta có:
(3),
thế vào PT(2) ta được:

Với a ≠ 0, phương trình (4) có nghiệm duy nhất
. Thay vào ta (3)có:

Suy ra khi a ≠ 0 hệ phương trình đã cho có nghiệm duy nhất

Hệ phương trình có nghiệm nguyên:

Điều kiện cần:

Điều kiện đủ:

Vậy a = ± 1 hệ phương trình đã cho có nghiệm nguyên.
Bài tập áp dụng
Bài 1: Giải các hệ phương trình

Bài 2: Giải các hệ phương trình sau:

Bài 3: Giải các hệ phương trình sau

Bài 4:
Định m và n để hệ phương trình sau có nghiệm là (2;-1).

Bài 5: Cho hệ phương trình

a) Giải hệ phương trình khi m =
.
b) Giải và biện luận hệ theo m.
c) Xác định các giá trị nguyên của m để hệ có nghiệm duy nhất (x;y) sao cho x > 0, y > 0.
d) Với giá trị nguyên nào của m thì hệ có nghiệm (x;y) với x, y là các số nguyên dương.
e) Định m để hệ có nghiệm duy nhất (x;y) sao cho S = x2 – y2 đạt giá trị nhỏ nhất. (câu hỏi tương tự với S = xy).
f) Chứng minh rằng khi hệ có nghiệm duy nhất (x;y) thì điểm M(x;y) luôn nằm trên một đường thẳng cố định khi m nhận các giá trị khác nhau.
Bài 6: Cho hệ phương trình:

a) Giải và biện luận hệ theo m.
b) Với các giá trị nguyên nào của m thì hệ có nghiệm duy nhất (x;y) sao cho x > 0, y < 0.
c) Định m để hệ có nghiệm duy nhất (x;y) mà P = x2 + y2 đạt giá trị nhỏ nhất.
d) Xác định m để hệ có nghiệm duy nhất (x;y) thoả mãn x2 + 2y = 0. (Hoặc: sao cho M (x;y) nằm trên parabol y = - 0,5x2).
e) Chứng minh rằng khi hệ có nghiệm duy nhất (x;y) thì điểm D(x;y) luôn luôn nằm trên một đường thẳng cố định khi m nhận các giá trị khác nhau.
Bài 7: Cho hệ phương trình:

a) Giải hệ phương trình trên khi m = 2.
b) Tìm các số nguyên m để hệ có nghiệm duy nhất (x;y) mà x > 0 và y < 0.
c) Tìm các số nguyên m để hệ có nghiệm duy nhất (x;y) mà x, y là các số nguyên.
d) Tìm m để hệ có nghiệm duy nhất (x;y) mà S = x – y đạt giá trị lớn nhất.
Bài 8: Giải các hệ phương trình sau:



Bài 9: Giải các hệ phương trình sau
2
Bài 10: Giải hệ phương trình

Bài 11: Giải và biện luận các hệ phương trình sau:

Bài 12: Cho hệ phương trình
(m là tham số) .
a) Giải hệ phương trình khi m = 1.
b) Tìm m để hệ có nghiệm duy nhất (x;y) thỏa mãn x + y = -3.
Bài 13: Cho hệ phương trình:

Tìm m để hệ phương trình có nghiệm thỏa mãn:

Bài 14: Cho hệ phương trình :

a) Giải hệ phương trình với a = 1
b) Tìm a để hệ phương trình có nghiệm duy nhất.
Bài 15: Cho hệ phương trình:

a) Giải hệ phương trình với m = 2.
b) Tìm m để hệ phương trình có nghiệm duy nhất (x;y) trong đó x, y trái dấu.
c) Tìm m để hệ phương trình có nghiệm duy nhất (x;y) thỏa mãn
.
Bài 16: Giải hệ phương trình

Bài 17: Giải hệ phương trình

Bài 18: Giải hệ phương trình

Bài 19: Giải hệ phương trình

Bài 20: Giải hệ phương trình

Xem thử Đề ôn vào 10 Xem thử Đề vào 10 Hà Nội Xem thử Đề vào 10 TP.HCM Xem thử Đề vào 10 Đà Nẵng
Xem thêm bộ tài liệu các dạng bài tập ôn thi vào lớp 10 môn Toán chọn lọc, hay khác:
- Các dạng bài Giải phương trình (Ôn thi vào lớp 10 Toán 2025)
- Các dạng bài Giải bất phương trình (Ôn thi vào lớp 10 Toán 2025)
- Các dạng bài Đồ thị hàm số (Ôn thi vào lớp 10 Toán 2025)
- Các dạng bài Phương trình chứa tham số (Ôn thi vào lớp 10 Toán 2025)
- Các dạng toán Hệ thức Vi-et ôn thi vào lớp 10 năm 2025
Đã có app VietJack trên điện thoại, giải bài tập SGK, SBT Soạn văn, Văn mẫu, Thi online, Bài giảng....miễn phí. Tải ngay ứng dụng trên Android và iOS.
Theo dõi chúng tôi miễn phí trên mạng xã hội facebook và youtube:Nếu thấy hay, hãy động viên và chia sẻ nhé! Các bình luận không phù hợp với nội quy bình luận trang web sẽ bị cấm bình luận vĩnh viễn.
- Đề thi lớp 1 (các môn học)
- Đề thi lớp 2 (các môn học)
- Đề thi lớp 3 (các môn học)
- Đề thi lớp 4 (các môn học)
- Đề thi lớp 5 (các môn học)
- Đề thi lớp 6 (các môn học)
- Đề thi lớp 7 (các môn học)
- Đề thi lớp 8 (các môn học)
- Đề thi lớp 9 (các môn học)
- Đề thi lớp 10 (các môn học)
- Đề thi lớp 11 (các môn học)
- Đề thi lớp 12 (các môn học)
- Giáo án lớp 1 (các môn học)
- Giáo án lớp 2 (các môn học)
- Giáo án lớp 3 (các môn học)
- Giáo án lớp 4 (các môn học)
- Giáo án lớp 5 (các môn học)
- Giáo án lớp 6 (các môn học)
- Giáo án lớp 7 (các môn học)
- Giáo án lớp 8 (các môn học)
- Giáo án lớp 9 (các môn học)
- Giáo án lớp 10 (các môn học)
- Giáo án lớp 11 (các môn học)
- Giáo án lớp 12 (các môn học)


Giải bài tập SGK & SBT
Tài liệu giáo viên
Sách
Khóa học
Thi online
Hỏi đáp

