Các dạng toán Hệ thức Vi-et (ôn thi vào lớp 10 năm 2025)
Tài liệu Các dạng toán Hệ thức Vi-et ôn thi vào lớp 10 năm 2025 có lời giải chi tiết giúp học sinh củng cố kiến thức, ôn luyện để chuẩn bị tốt cho kì thi tuyển sinh vào lớp 10 môn Toán.
Các dạng toán Hệ thức Vi-et (ôn thi vào lớp 10 năm 2025)
Xem thử Đề ôn vào 10 Xem thử Đề vào 10 Hà Nội Xem thử Đề vào 10 TP.HCM Xem thử Đề vào 10 Đà Nẵng
Chỉ từ 150k mua trọn bộ Đề ôn thi vào 10 môn Toán năm 2025 bản word có lời giải chi tiết:
- B1: gửi phí vào tk:
1133836868- CT TNHH DAU TU VA DV GD VIETJACK - Ngân hàng MB (QR) - B2: Nhắn tin tới Zalo VietJack Official - nhấn vào đây để thông báo và nhận giáo án
CÁC DẠNG TOÁN VI-ET THI VÀO 10
Dạng 1: Bài toán nhẩm nghiệm
Phương pháp
- Để nhẩm nghiệm của phương trình ax2 + bx + c = 0 (a ≠ 0) ta làm như sau:
+ B1: Tính ∆ = b2 – 4ac. Nếu ∆ < 0 thì không tồn tại nghiệm của phương trình. Nếu ∆ ≥ 0 thì phương trình có 2 nghiệm x1, x2
+ B2: Trong trường hợp ∆ ≥ 0 sử dụng Vi-et ta nhẩm nghiệm như sau:
- Nếu hệ số a = 1 thì phương trình có dạng x2 + bx + c = 0(*) ta phân tích hệ số c thành tích của 2 số trước rồi kết hợp với b để tìm ra 2 số thỏa mãn tổng bằng –b và tích bằng c. Hai số tìm được là nghiệm của phương trình x2 + bx + c = 0. Tóm lại trong trường hợp này ta có kết quả sau

- Nếu hệ số a ≠ 1 ta chia cả hai vế của phương trình cho a để đưa phương trình về dạng (*) rồi nhẩm nghiệm
- Nếu a + b + c = 0 thì phương trình có 2 nghiệm :

- Nếu a – b + c = 0 thì phương trình có 2 nghiệm :

Ví dụ : Tính nhẩm nghiệm của các phương trình sau
a. x2 – 11x + 30 = 0
b. x2 – 12x + 27 = 0
c. 2x2 + 3x + 1 = 0
d. 3x2 – 2x - 1 = 0
Giải
a. Phương trình đã cho có ∆ = 112 – 4.30 = 121 – 120 = 1 > 0 nên có 2 nghiệm phân biệt x1, x2
Theo Vi-et ta có

Ta thấy 30 = 15.2 = (-15).(-2) = 10.3 = (-10).(-3) = 6.5 = (-6).(-5) nhưng ta cần chọn hai số có tổng bằng 11 nên hai số thỏa mãn (*) là 6 và 5
Suy ra các nghiệm của phương trình là : x1 = 5, x2 = 6
b. Phương trình đã cho có ∆ = 122 – 4.27 = 144 – 108 = 36 > 0 nên có 2 nghiệm phân biệt x1, x2
Theo Vi-et ta có

Ta thấy 27 = 9.3 = (-9).(-3) = 1.27 = (-1).(-27) nhưng ta cần chọn hai số có tổng bằng 12 nên hai số thỏa mãn (*) là 9 và 3
Suy ra các nghiệm của phương trình là : x1 = 3, x2 = 9
c. Phương trình đã cho có: a - b + c = 2 – 3 + 1 = 0
Suy ra các nghiệm của phương trình là :

d. Phương trình đã cho có: a + b + c = 3 + (-2) + (-1) = 0
Suy ra các nghiệm của phương trình là :

Dạng 2: Tìm hai số khi biết tổng và tích
Phương pháp
- Bài toán: Tìm hai số u và v biết: u + v = S, u.v = P
- Cách giải:
+ Kiểm tra điều kiện để tồn tại hai số u và v: Nếu S2 < 4P thì không tồn tại hai số u và v, nếu S2 ≥ 4P thì tồn tại hai số u và v
+ Trong trường hợp tồn tại, hai số cần tìm là nghiệm của phương trình
x2 – Sx + P = 0
Ví dụ: Tìm hai số biết
a. Tổng của chúng bằng 8, tích của chúng bằng 11
b. Tổng của chúng bằng 17, tích của chúng bằng 180
Giải
a.Vì S = 8, P = 11 thỏa mãn S2 ≥ 4P nên tồn tại hai số cần tìm
Hai số đó là nghiệm của phương trình x2 – 8x + 11 = 0
∆ = (-8)2 – 4.11 = 64 – 44 = 20 > 0
Suy ra phương trình có 2 nghiệm phân biệt

Vậy hai số cần tìm là: 
b.Với S = 17, P = 180 thì S2 = 289 < 4P = 720 nên không tồn tại hai số thỏa mãn yêu cầu của đề bài
Dạng 3: Tính giá trị hoặc viết biểu thức liên hệ giữa các nghiệm
Phương pháp
Định lý Vi-et: Nếu x1, x2 là hai nghiệm của phương trình ax2 + bx + c = 0 (a ≠ 0) thì
*) Sử dụng định lý Vi-et không cần giải phương trình ta vẫn có thể tính được tổng và tích các nghiệm hoặc các biểu thức có liên quan đến tổng và tích các nghiệm thông qua các bước sau:
+ B1: Tính ∆ = b2 – 4ac. Nếu ∆ < 0 thì phương trình vô nghiệm do đó không tồn tại tổng và tích các nghiệm của phương trình. Nếu ∆ ≥ 0 thì phương trình có 2 nghiệm x1, x2, ta thực hiện bước 2
+ B2: Trong trường hợp ∆ ≥ 0 áp dụng Vi-et ta có

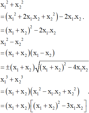
Một số hệ thức thường gặp:




*)Để tìm hệ thức giữa các nghiệm x1, x2 của phương trình bậc hai không phụ thuộc tham số ta làm như sau:
B1: Tìm điều kiện để phương trình có 2 nghiệm x1, x2 (∆ ≥ 0)
B2: áp dụng Vi-et tìm

B3: Biến đổi kết quả không chứa tham số nữa
Ví dụ
Ví dụ 1: Không giải phương trình, tính tổng và tích các nghiệm (nếu có) của các phương trình sau
a. x2 – 6x + 7 = 0
b. 5x2 – 3x + 1 = 0
Giải
a. Ta có ∆ꞌ = (bꞌ)2 – ac = (-3)2 – 7 = 9 – 7 = 2 > 0 nên phương trình có 2 nghiệm phân biệt x1, x2
Theo Vi-et ta có:

Vậy tổng 2 nghiệm bằng 6, tích 2 nghiệm bằng 7
b. Ta có ∆ = b2 – 4ac = (-3)2 – 4.5.1 = 9 – 20 = -11 < 0 nên phương trình vô nghiệm
Suy ra không tồn tại tổng và tích các nghiệm
Ví dụ 2: Biết x1, x2 là 2 nghiệm của phương trình: x2 – 5x + 2 = 0. Không giải phương trình tính giá trị của biểu thức 
Giải
Vì phương trình có 2 nghiệm x1, x2 nên theo Vi-et ta có:


Vậy A = 21
Ví dụ 3: Cho phương trình x2 – 2(m-1)x +m- 3 = 0(m là tham số). Tìm một hệ thức liên hệ giữa hai nghiệm của phương trình đã cho mà không phụ thuộc vào m.
Giải

Vậy phương trình đã cho luôn có hai nghiệm phân biệt x1, x2
Theo hệ thức Vi-ét, ta có:

Lấy (1) – (2): x1 + x2 - 2 x1x2 = 4 không phụ thuộc vào m.
Dạng 4: Sử dụng hệ thức Vi-et để xác định tính chất các nghiệm của phương trình bậc hai( hai nghiệm trái dấu, cùng dấu,...)
Phương pháp: cho phương trình ax2 + bx + c =0(a ≠ 0)
a. Điều kiện để phương trình
1. Hai nghiệm cùng dấu ⇔∆ ≥ 0 và P > 0
2. Hai nghiệm trái dấu khi a.c < 0
3. Hai nghiệm dương (lớn hơn 0) ⇔∆ ≥ 0; S > 0 và P > 0
4. Hai nghiệm âm (nhỏ hơn 0) ⇔∆ ≥ 0; S < 0 và P > 0
5. Hai nghiệm đối nhau ⇔∆ ≥ 0 và S = 0
6. Hai nghiệm nghịch đảo của nhau ⇔∆ ≥ 0 và P = 1
7. Hai nghiệm trái dấu và nghiệm âm có giá trị tuyệt đối lớn hơn khi ac < 0 và S < 0
8. Hai nghiệm trái dấu và nghiệm dương có giá trị tuyệt đối lớn hơn khi
ac < 0 và S > 0
b. Điều kiện để phương trình có hai nghiệm phân biệt sao cho x1 = px2 (với p là một số thực)
B1- Tìm điều kiện để phương trình có hai nghiệm phân biệt .
B2- Áp dụng định lý Vi - ét tìm:
(1) và
(2)
B3- Kết hợp (1) và (3) giải hệ phương trình:

⇒ x1 và x2
B4- Thay x1 và x2 vào (2) ⇒ Tìm giá trị tham số.
c. So sánh nghiệm của phương trình bậc hai với một số bất kỳ:
B1: Tìm điều kiện để phương trình có nghiệm (∆ ≥ 0)
B2: Áp dụng Vi-ét tính x1 + x2 và x1x2 (*)
+/ Với bài toán: Tìm m để phương trình có hai nghiệm > α
Ta có

Thay biểu thức Vi-ét vào hệ(*) để tìm m
+/ Với bài toán: Tìm m để phương trình có hai nghiệm < α
Ta có

Thay biểu thức Vi-ét vào hệ(*) để tìm m
+/ Với bài toán: Tìm m để phương trình có hai nghiệm: x1 < α < x2
Ta có
(*) .Thay biểu thức Vi-ét vào (*) để tìm m
Ví dụ
Ví dụ 1: Cho phương trình x2 + 5x + 3m - 1 =0(x là ẩn số, m là tham số)
a. Tìm m để phương trình có hai nghiệm
b. Tìm m để phương trình có hai nghiệm thỏa mãn

Giải
a. Phương trình có 2 nghiệm khi

Vậy với
thì phương trình có hai nghiệm
b. Với
thì phương trình có 2 nghiệm x1 , x2
Áp dụng hệ thức Vi-ét

Ta có:

Ta có

Vì
nên 26 – 3m ≠ 0 
Chia hai vế của (*) cho ta được

Kết hợp
suy ra
. Thay vào
suy ra
(thỏa mãn
)
Vậy
là giá trị cần tìm.
Ví dụ 2: Cho phương trình x2 - 10mx + 9m =0(m là tham số)
Tìm các giá trị của tham số m để phương trình đã cho có hai nghiệm dương phân biệt
Giải
Điều kiện để phương trình có hai nghiệm dương phân biệt là


Vậy với
thì phương trình có hai nghiệm dương phân biệt
Bài tập vận dụng
Bài 1: Gọi x1 ; x2 là các nghiệm của phương trình: x2 – 3x – 7 = 0. Không giải phương trình tính:

Bài 2: Gọi x1 ; x2 là hai nghiệm của phương trình: 5x2 – 3x – 1 = 0. Không giải phương trình, tính giá trị của các biểu thức sau:

Bài 3: Cho phương trình x2 +2x – m2= 0
Tìm m để phương trình trên có hai nghiệm thỏa: 
Bài 4: Tìm m để phương trình x2 – 10mx + 9m = 0 có hai nghiệm phân biệt thỏa mãn 
Bài 5:Tìm giá trị m để phương trình x2 – 2(m – 1)x +m – 3 = 0 có 2 nghiệm trái dấu và bằng nhau về giá trị tuyệt đối
Bài 6:Tìm giá trị m để phương trình 2x2 +mx +m – 3 = 0 có 2 nghiệm trái dấu và nghiệm âm có giá trị tuyệt đối lớn hơn nghiệm dương
Bài 7:Cho phương trình:. Tìm m để phương trình có 2 nghiệm âm.
Bài 8:Tìm m để phương trình mx2 – (5m – 2)x + 6m – 5 = 0 có hai nghiệm đối nhau.
Bài 9: Cho phương trình: x2 – 2mx – 6m – 9 = 0. Tìm m để phương trình có 2 nghiệm trái dấu thỏa mãn 
Bài 10: Cho phương trình: x2 – 2mx +2m – 4 = 0. Có bao nhiêu giá trị nguyên của m nhỏ hơn 2020 để phương trình có 2 nghiệm dương phân biệt.
Bài 11: Tìm hai số u và v biết
a. u + v = 15 và u.v = 36
b. u + v = 4 và u.v = 7
c. u + v = -12 và u.v = 20
Bài 12: Tìm u – v biết u + v = 15, u.v = 36, u > v
Bài 13: Tìm hai số x, y biết x2 + y2 = 61 và xy = 30
Bài 14: Cho phương trình x2 – 7x + q = 0, biết hiệu hai nghiệm bằng 11. Tìm q và hai nghiệm của phương trình
Bài 15: Cho phương trình x2 – qx + 50 = 0, biết phương trình có hai nghiệm và có một nghiệm gấp 2 lần nghiệm kia. Tìm q và hai nghiệm của phương trình
Bài 16: Giải các phương trình sau bằng cách nhẩm nghiệm:

Bài 17: Giải các phương trình sau bằng cách nhẩm nghiệm:

Bài 18: Cho phương trình 2x2 + (2m – 1)x + m – 1 = 0 (m là tham số). Tìm một hệ thức liên hệ giữa hai nghiệm của phương trình đã cho mà không phụ thuộc vào m.
Bài 19: Cho phương trình x2 + 2(m + 1)x + 2m = 0 (m là tham số). Tìm một hệ thức liên hệ giữa hai nghiệm của phương trình đã cho mà không phụ thuộc vào m.
Bài 20: Cho phương trình 2x2 + (2m – 1)x + m – 1 = 0 (m là tham số). Tìm một hệ thức liên hệ giữa hai nghiệm của phương trình đã cho mà không phụ thuộc vào m.
Bài 21: Cho phương trình (m + 2)x2 - (m + 4)x + 2 - m = 0 (m là tham số). Khi phương trình có nghiệm, tìm một hệ thức liên hệ giữa hai nghiệm của phương trình đã cho không phụ thuộc vào m.
Bài 22: Cho phương trình mx2 + 2(m – 2)x + m – 3 = 0 (m là tham số). Khi phương trình có nghiệm, tìm một hệ thức liên hệ giữa hai nghiệm của phương trình đã cho không phụ thuộc vào m
Bài 23: Cho phương trình x2– (2m – 2)x + m2 + 3m + 2= 0
Xác định m để phương trình có hai nghiệm thỏa mãn

Bài 24: Cho phương trình bậc hai: x2+ 2(m – 1)x –(m + 1)= 0
Tìm giá trị m để phương trình có hai nghiệm lớn hơn 2
Bài 25: Cho phương trình bậc hai x2+ 2(m – 1)x –(m + 1)= 0
Tìm giá trị m để phương trình có một nghiệm lớn hơn và một nghiệm nhỏ hơn .
Xem thử Đề ôn vào 10 Xem thử Đề vào 10 Hà Nội Xem thử Đề vào 10 TP.HCM Xem thử Đề vào 10 Đà Nẵng
Xem thêm bộ tài liệu các dạng bài tập ôn thi vào lớp 10 môn Toán chọn lọc, hay khác:
- Các dạng bài Phương trình chứa tham số (Ôn thi vào lớp 10 Toán 2025)
- Các dạng bài Giải bài toán bằng cách lập phương trình ôn thi vào 10 năm 2025
- Các dạng toán thực tế ôn thi vào lớp 10 năm 2025
- Các dạng toán Hình học ôn thi vào lớp 10 năm 2025
- Các dạng Toán nâng cao ôn thi vào lớp 10 năm 2025
Đã có app VietJack trên điện thoại, giải bài tập SGK, SBT Soạn văn, Văn mẫu, Thi online, Bài giảng....miễn phí. Tải ngay ứng dụng trên Android và iOS.
Theo dõi chúng tôi miễn phí trên mạng xã hội facebook và youtube:Nếu thấy hay, hãy động viên và chia sẻ nhé! Các bình luận không phù hợp với nội quy bình luận trang web sẽ bị cấm bình luận vĩnh viễn.
- Đề thi lớp 1 (các môn học)
- Đề thi lớp 2 (các môn học)
- Đề thi lớp 3 (các môn học)
- Đề thi lớp 4 (các môn học)
- Đề thi lớp 5 (các môn học)
- Đề thi lớp 6 (các môn học)
- Đề thi lớp 7 (các môn học)
- Đề thi lớp 8 (các môn học)
- Đề thi lớp 9 (các môn học)
- Đề thi lớp 10 (các môn học)
- Đề thi lớp 11 (các môn học)
- Đề thi lớp 12 (các môn học)
- Giáo án lớp 1 (các môn học)
- Giáo án lớp 2 (các môn học)
- Giáo án lớp 3 (các môn học)
- Giáo án lớp 4 (các môn học)
- Giáo án lớp 5 (các môn học)
- Giáo án lớp 6 (các môn học)
- Giáo án lớp 7 (các môn học)
- Giáo án lớp 8 (các môn học)
- Giáo án lớp 9 (các môn học)
- Giáo án lớp 10 (các môn học)
- Giáo án lớp 11 (các môn học)
- Giáo án lớp 12 (các môn học)


Giải bài tập SGK & SBT
Tài liệu giáo viên
Sách
Khóa học
Thi online
Hỏi đáp

