Công thức nguyên hàm của một số hàm số sơ cấp (siêu hay)
Công thức nguyên hàm của một số hàm số sơ cấp Toán 12 sẽ giúp học sinh lớp 12 nắm vững công thức, biết cách làm bài tập từ đó có kế hoạch ôn tập hiệu quả để đạt kết quả cao trong các bài thi Toán 12.
Công thức nguyên hàm của một số hàm số sơ cấp (siêu hay)
1. Công thức nguyên hàm của một số hàm số sơ cấp
+ Nguyên hàm của hàm số lũy thừa:
Với α ≠ – 1, ta có: .
+ Nguyên hàm của hàm số f(x) = :
.
+ Nguyên hàm của hàm số lượng giác:
+ Nguyên hàm của hàm số mũ:
Với a > 0, a ≠ 1, ta có: .
.
2. Ví dụ minh họa công thức nguyên hàm của một số hàm số sơ cấp
Ví dụ 1. Tìm nguyên hàm của các hàm số sau:
a) f(x) = x3 + 3x + 2;
b) f(x) = ;
c) f(x) = (x + 1)(x + 2);
d) f(x) = .
Lời giải
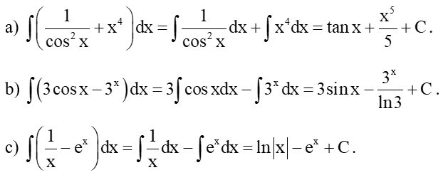
Ví dụ 2. Tìm:
a) ;
b) ;
c) .
Lời giải
3. Bài tập tự luyện công thức nguyên hàm của một số hàm số sơ cấp
Bài 1. Tìm:
a) ;
b) ;
c) ;
d) .
Bài 2. Tìm:
a) ;
b) ;
c) ;
d) ;
e) .
Bài 3. Tìm nguyên hàm của các hàm số sau:
a) f(x) = 4cos x + 5sin x;
b) f(x) = ;
c) f(x) = ;
d) f(x) = ;
e) f(x) = 2x + cot2x.
Bài 4. Một chiếc xe đang chuyển động với tốc độ v0 = 15 m/s thì tăng tốc với gia tốc không đổi a = 3 m/s2. Tính quãng đường xe đó đi được trong 3 giây kể từ khi bắt đầu tăng tốc.
Xem thêm các Công thức Toán lớp 12 quan trọng hay khác:
Đã có app VietJack trên điện thoại, giải bài tập SGK, SBT Soạn văn, Văn mẫu, Thi online, Bài giảng....miễn phí. Tải ngay ứng dụng trên Android và iOS.
Theo dõi chúng tôi miễn phí trên mạng xã hội facebook và youtube:Nếu thấy hay, hãy động viên và chia sẻ nhé! Các bình luận không phù hợp với nội quy bình luận trang web sẽ bị cấm bình luận vĩnh viễn.
- Đề thi lớp 1 (các môn học)
- Đề thi lớp 2 (các môn học)
- Đề thi lớp 3 (các môn học)
- Đề thi lớp 4 (các môn học)
- Đề thi lớp 5 (các môn học)
- Đề thi lớp 6 (các môn học)
- Đề thi lớp 7 (các môn học)
- Đề thi lớp 8 (các môn học)
- Đề thi lớp 9 (các môn học)
- Đề thi lớp 10 (các môn học)
- Đề thi lớp 11 (các môn học)
- Đề thi lớp 12 (các môn học)
- Giáo án lớp 1 (các môn học)
- Giáo án lớp 2 (các môn học)
- Giáo án lớp 3 (các môn học)
- Giáo án lớp 4 (các môn học)
- Giáo án lớp 5 (các môn học)
- Giáo án lớp 6 (các môn học)
- Giáo án lớp 7 (các môn học)
- Giáo án lớp 8 (các môn học)
- Giáo án lớp 9 (các môn học)
- Giáo án lớp 10 (các môn học)
- Giáo án lớp 11 (các môn học)
- Giáo án lớp 12 (các môn học)


Giải bài tập SGK & SBT
Tài liệu giáo viên
Sách
Khóa học
Thi online
Hỏi đáp

