Công thức tích phân của một số hàm số sơ cấp (siêu hay)
Công thức tích phân của một số hàm số sơ cấp Toán 12 sẽ giúp học sinh lớp 12 nắm vững công thức, biết cách làm bài tập từ đó có kế hoạch ôn tập hiệu quả để đạt kết quả cao trong các bài thi Toán 12.
Công thức tích phân của một số hàm số sơ cấp (siêu hay)
1. Công thức tích phân của một số hàm số sơ cấp
+ Tích phân của hàm số lũy thừa:
Với α ≠ – 1, ta có: .
+ Tích phân của hàm số f(x) = :
Với hàm số f(x) = liên tục trên đoạn [a; b], ta có:
.
✔ = -cosb - (-cosa) = cosa - cosb.
✔ = sinb - sina.
✔ Với hàm số f(x) = liên tục trên đoạn [a; b], ta có:
= -cotb - (-cota) = cota - cotb.
✔ Với hàm số f(x) = liên tục trên đoạn [a; b], ta có:
= tanb - tana.
+ Tích phân của hàm số mũ:
Với a > 0, a ≠ 1, ta có: .
Khi đó, .
2. Ví dụ minh họa tích phân của một số hàm số sơ cấp
Ví dụ 1. Tính:
a) ;
b) ;
c) ;
d) .
Lời giải
a) .
b) =
=
c) = = (0 + 2) – (– 8 + 2e) = 10 – 2e.
d) = = 2,
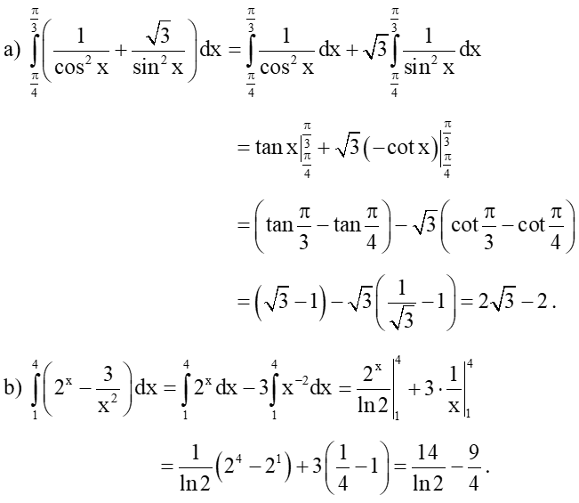
Ví dụ 2. Tính các tích phân sau:
a) ;
b) .
Lời giải
3. Bài tập tự luyện tích phân của một số hàm số sơ cấp
Bài 1. Tính:
a) ;
b) ;
c) ;
d) .
Bài 2. Tính:
a) ;
b) ;
c) ;
d) .
Bài 3. Tính:
a) ;
b) .
Xem thêm các Công thức Toán lớp 12 quan trọng hay khác:
Đã có app VietJack trên điện thoại, giải bài tập SGK, SBT Soạn văn, Văn mẫu, Thi online, Bài giảng....miễn phí. Tải ngay ứng dụng trên Android và iOS.
Theo dõi chúng tôi miễn phí trên mạng xã hội facebook và youtube:Nếu thấy hay, hãy động viên và chia sẻ nhé! Các bình luận không phù hợp với nội quy bình luận trang web sẽ bị cấm bình luận vĩnh viễn.
- Đề thi lớp 1 (các môn học)
- Đề thi lớp 2 (các môn học)
- Đề thi lớp 3 (các môn học)
- Đề thi lớp 4 (các môn học)
- Đề thi lớp 5 (các môn học)
- Đề thi lớp 6 (các môn học)
- Đề thi lớp 7 (các môn học)
- Đề thi lớp 8 (các môn học)
- Đề thi lớp 9 (các môn học)
- Đề thi lớp 10 (các môn học)
- Đề thi lớp 11 (các môn học)
- Đề thi lớp 12 (các môn học)
- Giáo án lớp 1 (các môn học)
- Giáo án lớp 2 (các môn học)
- Giáo án lớp 3 (các môn học)
- Giáo án lớp 4 (các môn học)
- Giáo án lớp 5 (các môn học)
- Giáo án lớp 6 (các môn học)
- Giáo án lớp 7 (các môn học)
- Giáo án lớp 8 (các môn học)
- Giáo án lớp 9 (các môn học)
- Giáo án lớp 10 (các môn học)
- Giáo án lớp 11 (các môn học)
- Giáo án lớp 12 (các môn học)


Giải bài tập SGK & SBT
Tài liệu giáo viên
Sách
Khóa học
Thi online
Hỏi đáp

