Công thức tìm số hạng tổng quát của cấp số cộng đầy đủ (siêu hay)
Bài viết Công thức tìm số hạng tổng quát của cấp số cộng Toán lớp 11 hay nhất gồm 4 phần: Định nghĩa, Công thức, Kiến thức mở rộng và Bài tập minh họa áp dụng công thức trong bài có lời giải chi tiết giúp học sinh dễ học, dễ nhớ Công thức tìm số hạng tổng quát của cấp số cộng.
Công thức tìm số hạng tổng quát của cấp số cộng (siêu hay)
1. Lý thuyết tìm số hạng tổng quát của cấp số cộng
a) (un) là cấp số cộng khi un+1 = un + d, n ∈ N* (d gọi là công sai)
b) Số hạng tổng quát của cấp số cộng (un) được xác định bởi công thức:
un = u1 + (n – 1)d với n ∈ N*.
2. Công thức tìm số hạng tổng quát của cấp số cộng
Số hạng tổng quát của cấp số cộng (un) được xác định bởi công thức:
un = u1 + (n – 1)d với n ∈ N*.
3. Ví dụ minh họa tìm số hạng tổng quát của cấp số cộng
Ví dụ 1: Cho cấp số cộng (un) có u1 = 1 và d = – 3.
a) Xác định số hạng tổng quát của cấp số cộng
b) Tìm số hạng thứ 2021 của cấp số cộng
c) Số – 488 là số hạng thứ bao nhiêu của cấp số cộng.
Lời giải
a) Số hạng tổng quát:
un = u1 + (n – 1)d = 1 + (n – 1).(– 3) = – 3n + 4.
b) Số hạng thứ 2021 của cấp số cộng:
u2021 = – 3.2021 + 4 = – 6059.
c) Gọi số hạng thứ k là số – 488, ta có: uk = – 3k + 4 = – 488. Suy ra k = 164.
Vậy số – 488 là số hạng thứ 164.
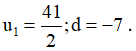
Ví dụ 2: Cho cấp số cộng (un) thỏa mãn 
a) Tìm u1; d?
b) Xác định số hạng tổng quát của cấp số cộng.
c) Số –1372,5 là số hạng thứ bao nhiêu của cấp số cộng.
Lời giải
a) Ta có:

Vậy 
b) Số hạng tổng quát:

c) Gọi số hạng thứ k là số – 1372,5, ta có: 
Vậy số – 1372,5 là số hạng thứ 200.
Xem thêm các Công thức Toán lớp 11 quan trọng hay khác:
Đã có app VietJack trên điện thoại, giải bài tập SGK, SBT Soạn văn, Văn mẫu, Thi online, Bài giảng....miễn phí. Tải ngay ứng dụng trên Android và iOS.
Theo dõi chúng tôi miễn phí trên mạng xã hội facebook và youtube:Nếu thấy hay, hãy động viên và chia sẻ nhé! Các bình luận không phù hợp với nội quy bình luận trang web sẽ bị cấm bình luận vĩnh viễn.
- Đề thi lớp 1 (các môn học)
- Đề thi lớp 2 (các môn học)
- Đề thi lớp 3 (các môn học)
- Đề thi lớp 4 (các môn học)
- Đề thi lớp 5 (các môn học)
- Đề thi lớp 6 (các môn học)
- Đề thi lớp 7 (các môn học)
- Đề thi lớp 8 (các môn học)
- Đề thi lớp 9 (các môn học)
- Đề thi lớp 10 (các môn học)
- Đề thi lớp 11 (các môn học)
- Đề thi lớp 12 (các môn học)
- Giáo án lớp 1 (các môn học)
- Giáo án lớp 2 (các môn học)
- Giáo án lớp 3 (các môn học)
- Giáo án lớp 4 (các môn học)
- Giáo án lớp 5 (các môn học)
- Giáo án lớp 6 (các môn học)
- Giáo án lớp 7 (các môn học)
- Giáo án lớp 8 (các môn học)
- Giáo án lớp 9 (các môn học)
- Giáo án lớp 10 (các môn học)
- Giáo án lớp 11 (các môn học)
- Giáo án lớp 12 (các môn học)


Giải bài tập SGK & SBT
Tài liệu giáo viên
Sách
Khóa học
Thi online
Hỏi đáp

