Đề kiểm tra Toán 10 Chân trời sáng tạo Chương 9 (có lời giải)
Đề kiểm tra Toán 10 Chân trời sáng tạo Chương 9: Phương pháp tọa độ trong mặt phẳng có đáp án chi tiết theo cấu trúc mới với bài tập đa dạng đầy đủ các mức độ sẽ giúp học sinh lớp 10 ôn luyện Toán 10.
Đề kiểm tra Toán 10 Chân trời sáng tạo Chương 8 (có lời giải)
Chỉ từ 200k mua trọn bộ Bài tập ôn tập + Đề kiểm tra Toán 10 Chân trời sáng tạo theo Chương theo cấu trúc mới bản word có lời giải chi tiết, trình bày đẹp mắt, dễ dàng chỉnh sửa:
- B1: gửi phí vào tk:
1133836868- CT TNHH DAU TU VA DV GD VIETJACK - Ngân hàng MB (QR) - B2: Nhắn tin tới Zalo VietJack Official - nhấn vào đây để thông báo và nhận đề thi
Phần 1. Trắc nghiệm nhiều phương án lựa chọn
Mỗi câu hỏi thí sinh chỉ chọn một phương án.
Câu 1. Phương trình đường chuẩn của parabol là
A. .
B. .
C. .
D. .
Câu 2. Trong các phương trình sau, phương trình nào là phương trình đường tròn?
A. .
B. .
C. .
D. .
Câu 3. Trong mặt phẳng Oxy, cho hai điểm A(1;2) và B(-1;1). Phương trình đường thẳng AB là
A. 2x+3y+8=0.
B. 2x+3y-8=0.
C. 3x-2y-1=0.
D. 3x-2y+1=0.
Câu 4. Trong mặt phẳng tọa độ Oxy, cho . Tọa độ của bằng
A. (4;-4).
B. (1;1).
C. (2;0).
D. (-4;4).
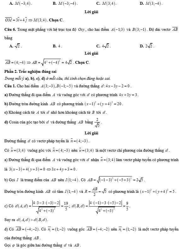
Câu 5. Trong mặt phẳng với hệ tọa độ Oxy, cho vectơ . Tọa độ của điểm M là
A. M(-3;4).
B. M(-3;-4).
C. M(3;4).
D. M(3;-4).
Câu 6. Trong mặt phẳng với hệ trục tọa độ Oxy, cho hai điểm A(-1;3) và B(3;-1). Độ dài vectơ bằng
A. .
B. 4.
C. .
D. .
Phần 2. Trắc nghiệm đúng sai
Trong mỗi ý a), b), c), d) ở mỗi câu, thí sinh chọn đúng hoặc sai.
Câu 1. Cho hai điểm A(3;-3),B(-1;-5) và đường thẳng d:4x-3y-2=0.
a) Đường thẳng đi qua điểm A và vuông góc với d có phương trình 4x+3y=3.
b) Đường tròn đường kính AB có phương trình .
c) Khoảng cách từ A tới d nhỏ hơn khoảng cách từ B tới d.
d) Cosin của góc tạo bởi d và đường thẳng AB bằng .
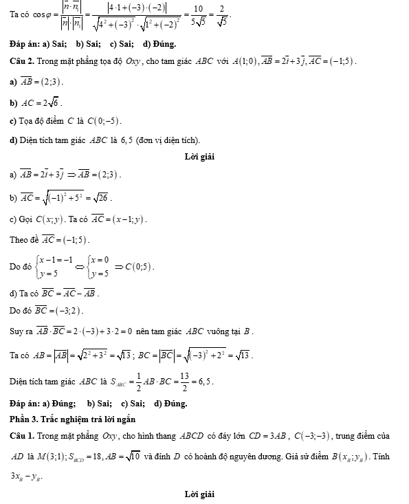
Câu 2. Trong mặt phẳng tọa độ Oxy, cho tam giác ABC với .
a) .
b) .
c) Tọa độ điểm C là C(0;-5).
d) Diện tích tam giác ABC là 6,5 (đơn vị diện tích).
Phần 3. Trắc nghiệm trả lời ngắn
Câu 1. Trong mặt phẳng Oxy, cho hình thang ABCD có đáy lớn CD=3AB, C(-3;-3), trung điểm của AD là và đỉnh D có hoành độ nguyên dương. Giả sử điểm . Tính
Câu 2. Trong mặt phẳng tọa độ, một tín hiệu âm thanh phát đi từ một vị trí I(x;y) và được ba thiết bị ghi tín hiệu tại ba vị trí O(0;0),A(1;0),B(1;3) nhận được cùng một thời điểm. Tính x+y.
Câu 3. Cho đường tròn tiếp xúc với đường thẳng d:3x+4y+1=0 tại A(1;-1). Tính (biết a < 0).
................................
................................
................................
Xem thêm đề kiểm tra Toán lớp 10 Chân trời sáng tạo có đáp án hay khác:
Đề kiểm tra Toán 10 Chân trời sáng tạo Chương 1 (có lời giải)
Đề kiểm tra Toán 10 Chân trời sáng tạo Chương 2 (có lời giải)
Đề kiểm tra Toán 10 Chân trời sáng tạo Chương 3 (có lời giải)
Đề kiểm tra Toán 10 Chân trời sáng tạo Chương 4 (có lời giải)
Đề kiểm tra Toán 10 Chân trời sáng tạo Chương 5 (có lời giải)
Đề kiểm tra Toán 10 Chân trời sáng tạo Chương 6 (có lời giải)
Đề kiểm tra Toán 10 Chân trời sáng tạo Chương 7 (có lời giải)
Đề kiểm tra Toán 10 Chân trời sáng tạo Chương 8 (có lời giải)
Đề kiểm tra Toán 10 Chân trời sáng tạo Chương 10 (có lời giải)
Xem thêm các tài liệu học tốt lớp 10 hay khác:
- Giải sgk Toán 10 Chân trời sáng tạo
- Giải Chuyên đề học tập Toán 10 Chân trời sáng tạo
- Giải SBT Toán 10 Chân trời sáng tạo
- Giải lớp 10 Chân trời sáng tạo (các môn học)
- Giải lớp 10 Kết nối tri thức (các môn học)
- Giải lớp 10 Cánh diều (các môn học)
Tủ sách VIETJACK shopee lớp 10-11 (cả 3 bộ sách):
Đã có app VietJack trên điện thoại, giải bài tập SGK, SBT Soạn văn, Văn mẫu, Thi online, Bài giảng....miễn phí. Tải ngay ứng dụng trên Android và iOS.
Theo dõi chúng tôi miễn phí trên mạng xã hội facebook và youtube:Nếu thấy hay, hãy động viên và chia sẻ nhé! Các bình luận không phù hợp với nội quy bình luận trang web sẽ bị cấm bình luận vĩnh viễn.
- Soạn văn 10 (hay nhất) - CTST
- Soạn văn 10 (ngắn nhất) - CTST
- Soạn văn 10 (siêu ngắn) - CTST
- Giải Toán 10 - CTST
- Giải Tiếng Anh 10 Global Success
- Giải Tiếng Anh 10 Friends Global
- Giải sgk Tiếng Anh 10 iLearn Smart World
- Giải sgk Tiếng Anh 10 Explore New Worlds
- Giải sgk Vật lí 10 - CTST
- Giải sgk Hóa học 10 - CTST
- Giải sgk Sinh học 10 - CTST
- Giải sgk Địa lí 10 - CTST
- Giải sgk Lịch sử 10 - CTST
- Giải sgk Kinh tế và Pháp luật 10 - CTST
- Giải sgk Hoạt động trải nghiệm 10 - CTST


Giải bài tập SGK & SBT
Tài liệu giáo viên
Sách
Khóa học
Thi online
Hỏi đáp

