Đề kiểm tra Toán 10 Kết nối tri thức Chương 4 (có lời giải)
Đề kiểm tra Toán 10 Kết nối tri thức Chương 4: Vectơ có đáp án chi tiết theo cấu trúc mới với bài tập đa dạng đầy đủ các mức độ sẽ giúp học sinh lớp 10 ôn luyện Toán 10.
Đề kiểm tra Toán 10 Kết nối tri thức Chương 4 (có lời giải)
Chỉ từ 200k mua trọn bộ Bài tập ôn tập + Đề kiểm tra Toán 10 Kết nối tri thức theo Chương theo cấu trúc mới bản word có lời giải chi tiết, trình bày đẹp mắt, dễ dàng chỉnh sửa:
- B1: gửi phí vào tk:
1133836868- CT TNHH DAU TU VA DV GD VIETJACK - Ngân hàng MB (QR) - B2: Nhắn tin tới Zalo VietJack Official - nhấn vào đây để thông báo và nhận đề thi
Phần 1. Trắc nghiệm nhiều phương án lựa chọn
Mỗi câu hỏi thí sinh chỉ chọn một phương án.
Câu 1. Vectơ có điểm đầu A và điểm cuối B được kí hiệu là
A. .
B. .
C. .
D. .
Câu 2. Cho hình bình hành ABCD. Vectơ nào sau đây bằng với vectơ .
A. .
B. .
C. .
D. .
Câu 3. Trong mặt phẳng tọa độ , cho . Tọa độ của bằng
A. .
B. .
C. .
D. .
Câu 4. Trong mặt phẳng với hệ tọa độ , cho vectơ . Tọa độ của điểm M là
A. .
B. .
C. .
D. .
Câu 5. Trong mặt phẳng với hệ trục tọa độ , cho hai điểm và . Độ dài vectơ bằng
A. .
B. 4.
C. .
D. .
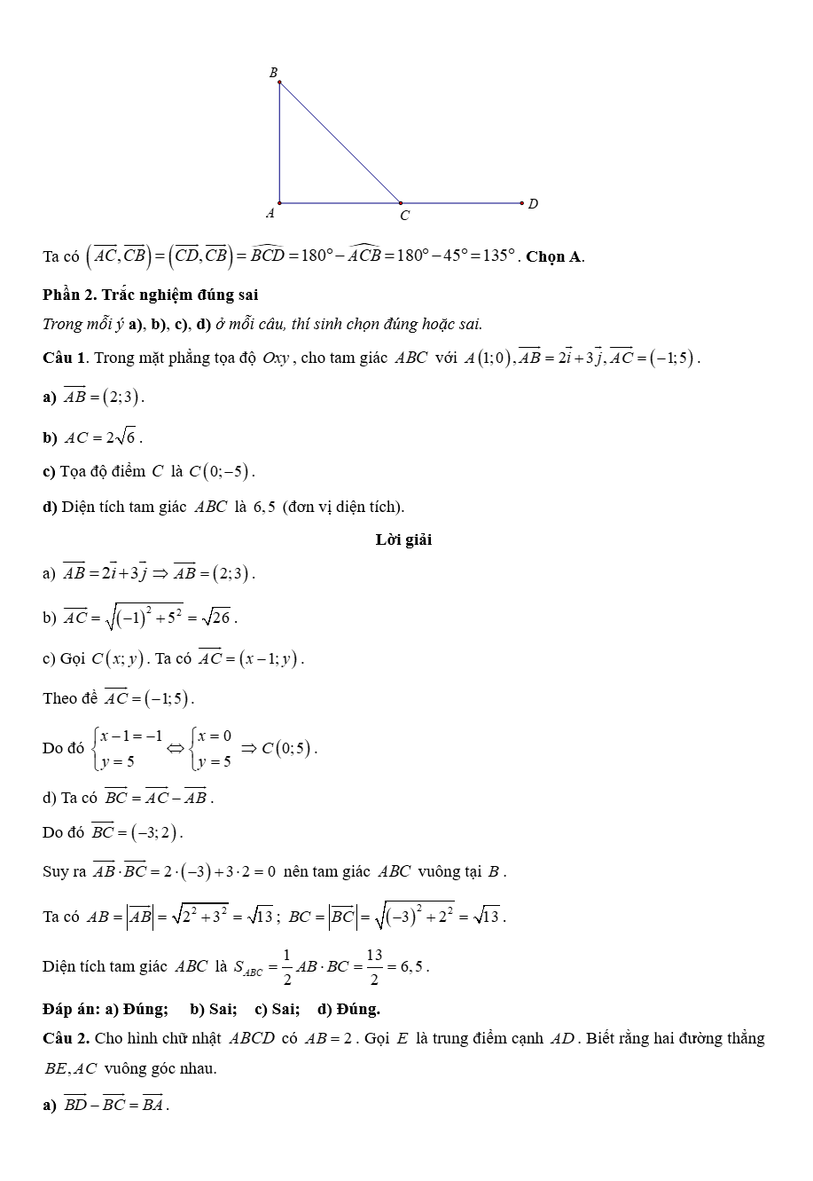
Câu 6. Cho tam giác ABC vuông cân tại A. Khi đó góc giữa hai vectơ và là
A. .
B. .
C. .
D. .
Phần 2. Trắc nghiệm đúng sai
Trong mỗi ý a), b), c), d) ở mỗi câu, thí sinh chọn đúng hoặc sai.
Câu 1. Trong mặt phẳng tọa độ , cho tam giác với .
a) .
b) .
c) Tọa độ điểm C là .
d) Diện tích tam giác ABC là 6,5 (đơn vị diện tích).
Câu 2. Cho hình chữ nhật ABCD có AB=2. Gọi E là trung điểm cạnh AD. Biết rằng hai đường thẳng BE, AC vuông góc nhau.
a) .
b) .
c) .
d) .
Phần 3. Trắc nghiệm trả lời ngắn
Câu 1. Trong hệ tọa độ . Cho . Điểm thỏa mãn . Tính .
Câu 2. Cho ba lực cùng tác động vào một vật tại điểm và vật đứng yên. Cho biết cường độ cùng bằng 150 N và góc . Khi đó cường độ lực bằng bao nhiêu?
Câu 3. Trong mặt phẳng tọa độ, một tín hiệu âm thanh phát đi từ một vị trí và được ba thiết bị ghi tín hiệu tại ba vị trí nhận được cùng một thời điểm. Tính .
................................
................................
................................
Xem thêm đề kiểm tra Toán lớp 10 Kết nối tri thức có đáp án hay khác:
Xem thêm các tài liệu học tốt lớp 10 hay khác:
- Giải sgk Toán 10 Kết nối tri thức
- Giải Chuyên đề học tập Toán 10 Kết nối tri thức
- Giải SBT Toán 10 Kết nối tri thức
- Giải lớp 10 Kết nối tri thức (các môn học)
- Giải lớp 10 Chân trời sáng tạo (các môn học)
- Giải lớp 10 Cánh diều (các môn học)
Tủ sách VIETJACK shopee lớp 10-11 (cả 3 bộ sách):
Đã có app VietJack trên điện thoại, giải bài tập SGK, SBT Soạn văn, Văn mẫu, Thi online, Bài giảng....miễn phí. Tải ngay ứng dụng trên Android và iOS.
Theo dõi chúng tôi miễn phí trên mạng xã hội facebook và youtube:Nếu thấy hay, hãy động viên và chia sẻ nhé! Các bình luận không phù hợp với nội quy bình luận trang web sẽ bị cấm bình luận vĩnh viễn.
- Soạn văn 10 (hay nhất) - KNTT
- Soạn văn 10 (ngắn nhất) - KNTT
- Soạn văn 10 (siêu ngắn) - KNTT
- Giải sgk Toán 10 - KNTT
- Giải Tiếng Anh 10 Global Success
- Giải Tiếng Anh 10 Friends Global
- Giải sgk Tiếng Anh 10 iLearn Smart World
- Giải sgk Tiếng Anh 10 Explore New Worlds
- Giải sgk Vật lí 10 - KNTT
- Giải sgk Hóa học 10 - KNTT
- Giải sgk Sinh học 10 - KNTT
- Giải sgk Địa lí 10 - KNTT
- Giải sgk Lịch sử 10 - KNTT
- Giải sgk Kinh tế và Pháp luật 10 - KNTT
- Giải sgk Tin học 10 - KNTT
- Giải sgk Công nghệ 10 - KNTT
- Giải sgk Hoạt động trải nghiệm 10 - KNTT
- Giải sgk Giáo dục quốc phòng 10 - KNTT


Giải bài tập SGK & SBT
Tài liệu giáo viên
Sách
Khóa học
Thi online
Hỏi đáp

