Với 18 bài tập trắc nghiệm Vị trí tương đối giữa hai đường thẳng. Góc và
khoảng cách Toán lớp 10 có đáp án và lời giải chi tiết đầy đủ
các mức độ, có đúng sai, trả lời ngắn sách Kết nối tri thức sẽ giúp học sinh ôn luyện trắc nghiệm để
biết cách làm các dạng bài tập Toán 10.
Ta lại có: d1 có VTPT
= (3; -2) và d2 có VTPT = (6; -2).
= 3.6 + (-3).(-2) = 18 + 6 = 24
≠ 0. Do đó d1 và
d2 không vuông góc.
Vậy hai đường thẳng cắt nhau nhưng không
vuông góc.
Quảng cáo
Câu
3.
Xét vị trí tương đối của hai đường thẳng
và
A. Trùng nhau.
B. Song song.
C. Vuông góc với nhau.
D. Cắt nhau nhưng không vuông góc nhau.
Đáp án đúng là:
C
Ta có:
Phương trình có vectơ pháp tuyến
Phương trình có vectơ pháp tuyến
Nhận thấy
= Như vậy hai vectơ pháp tuyến của hai
đường thẳng vuông góc với nhau, suy ra hai đường thẳng vuông
góc với nhau
Câu
4.
Xét vị trí tương đối của hai đường thẳng:
và
A. Trùng nhau.
B. Song song.
C. Vuông góc với nhau.
D. Cắt nhau nhưng không vuông góc nhau.
Đáp án đúng là: A
Ta có:
;
Xét hệ phương trình:
như vậy phương trình có vô số nghiệm, suy ra hai
đường thẳng trùng nhau.
Câu
5.
Xét vị trí tương đối của hai đường thẳng:
Quảng cáo
và
A. Trùng nhau.
B. Song song.
C. Vuông góc với nhau.
D. Cắt nhau nhưng không vuông góc nhau.
Đáp án đúng là: B
Ta có:
Xét hệ phương trình:
⇔ 0 = -5 (Vô lý), hệ vô nghiệm, suy ra hai
đường thẳng song song với nhau.
Câu
6.
Tính góc tạo bởi giữa hai đường thẳng:
A.
B.
C.
D.
Đáp án đúng là: B
Ta có:
lần lượt là các vectơ pháp tuyến của đường thẳng
Áp dụng công thức góc giữa hai đường
thẳng
Câu
7.
Góc tạo bởi giữa hai đường thẳng : 7x - 3y + 6 = 0 và
: 2x - 5y có giá trị?
A.
B.
C.
D.
Đáp án đúng là: A
Ta có:
lần lượt là vectơ pháp tuyến của đường thẳng . Áp dụng công thức góc giữa hai đường
thẳng:
Quảng cáo
Câu
8.
Đáp án nào đúng, góc giữa hai đường thẳng sau:
và
: y - 6 = 0
A.
B.
C.
D.
Đáp án đúng là:
A
Ta có:
lần lượt là vectơ pháp tuyến của đường thẳng
. Áp dụng công thức góc giữa hai đường
thẳng:
Câu
9.
Góc nào tạo bởi giữa
hai đường thẳng: và
A.
B.
C.
D.
Đáp án đúng là:
C
Ta có:
lần lượt là vectơ pháp tuyến của đường thẳng , . Áp dụng công thức góc giữa hai đường
thẳng:
Câu
10.
Tìm giá trị góc giữa hai đường thẳng sau:
d1: 6x - 5y + 15 = 0 và d2:
A.
B.
C.
D.
Đáp án đúng là:
D
Ta có: lần lượt là vectơ pháp tuyến của đường
thẳng
. Nhận thấy
= 6.5 + 6.(-5) = 0 suy ra hai đường thẳng vuông
góc với nhau nên
Câu
11.
Trong mặt phẳng với hệ tọa độ Oxy, cho
điểm
và đường thẳng ∆: ax + by + c = 0. Khoảng cách từ điểm
M đến ∆ được tính bằng công thức:
A.
B.
C.
D.
Đáp án đúng là:
C
Khoảng cách từ điểm M đến đường thẳng
∆ là:
Câu
12.
Khoảng cách từ điểm M(-1; 1) đến đường
thẳng ∆: 3x – 4y – 3 = 0 bằng:
A.
B. 2
C.
D.
Đáp án đúng là: B
Áp dụng công thức tính khoảng cách từ một
điểm đến đường thẳng ta có:
d (M; ∆) = = = 2.
Vậy khoảng cách từ điểm M đến đường thẳng
∆ là 2.
Câu
13. Khoảng cách từ giao điểm của đường thẳng x – 3y + 4 =
0 và 2x + 3y – 1 = 0 đến
đường thẳng ∆: 3x + y + 4 = 0
bằng:
A.
B.
C.
D. 2
Đáp án đúng là: C
+) Giao điểm của hai đường thẳng:
Ta có:
, vậy điểm A (-1; 1) là giao điểm của hai đường
thẳng
+) Khoảng cách từ A đến ∆: 3x + y + 4 = 0:
Vậy khoảng cách giữa giao điểm của hai
đường thẳng đến đường thẳng ∆ là
Câu
14.
Trong mặt phẳng với hệ tọa độ Oxy, cho tam
giác ABC có A(1;
2); B(0; 3) và
C(4; 0). Chiều cao của tam giác kẻ từ đỉnh
A bằng:
A.
B. 3
C.
D.
Đáp án đúng là: A
+) Viết phương trình đường thẳng qua B,
C
Ta có: B (0; 3); C (4; 0)= (4; -3) là vectơ chỉ phương của đường
thẳng BC.
Ta chọn
(3; 4) là vectơ pháp tuyến của đường thẳng BC
(
), suy ra phương trình đường thẳng BC có phương
trình: 3.(x – 0) + 4.(y – 3) = 0 hay 3x + 4y – 12 = 0
+) Độ dài đường cao kẻ từ
A
Độ dài đường cao kẻ từ đỉnh A của tam
giác chính là khoảng cách từ điểm A đến đường thẳng
BC:
Câu
15.
Trong mặt phẳng với hệ tọa độ Oxy, cho tam
giác ABC có A(3;
-4); B(1; 5) và
C(3; 1). Tính diện tích tam giác
ABC.
A. 10;
B. 5;
C.
D.
Đáp án đúng là: B
+) Viết phương trình đường thẳng BC; độ
dài BC
- Ta có: B(1; 5); C(3;
1)= (2; -4) là vectơ chỉ phương của đường
thẳng BC.
Ta chọn
= (2; 1) là vectơ pháp tuyến của đường thẳng BC
(
), ta viết được phương trình đường thẳng qua BC như
sau: 2.(x – 1) + 1.(y – 5) = 0 hay 2x + y – 7 =
0
- Độ dài BC: BC = = = .
+) Tính độ dài đường cao kẻ từ A:
Độ dài đường cao kẻ từ A chính là khoảng
cách từ A đến phương trình đường thẳng qua BC, ta có:
+) Diện tích tam giác ABC:
=
= 5.
Dạng 2. Trắc nghiệm đúng sai
Trong mỗi ý a), b), c), d) ở mỗi câu, thí sinh chọn đúng hoặc sai.
Câu hỏi. Trong mặt phẳng tọa độ Oxy, cho hai đường thẳng và
a) Một vectơ pháp tuyến của đường thẳng d1 là .
b) Phương trình tổng quát của đường thẳng d1 là 2x - 5y -2 = 0
c) d1 cắt d2.
d) Góc giữa hai đường thẳng bằng 45°
a) Đường thẳng d1 có một vectơ chỉ phương là nên có một vectơ pháp tuyến là
b) Đường thẳng d1 đi qua điểm (-4;2) và nhận làm vectơ pháp tuyến có phương trình là .
c) Ta có là một vectơ pháp tuyến của đường thẳng d1 và là một vectơ pháp tuyến của đường thẳng d2.
Ta thấy và không cùng phương nên hai đường thẳng này cắt nhau.
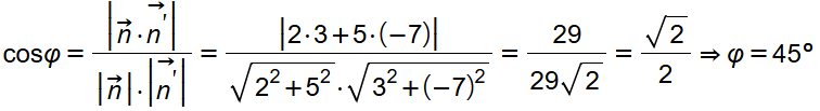
d) Gọi là góc giữa hai đường thẳng d1 và d2.
Ta có:
Đáp án: a) Sai; b) Sai; c) Đúng; d) Đúng.
Dạng 3. Trắc nghiệm trả lời ngắn
Câu 1. Trong mặt phẳng tọa độ Oxy, cho đường thẳng vuông góc với đường thẳng và cách A(3;2) một khoảng . Tính giá trị biểu thức T= 3a+b+4c.
Đường thẳng vuông góc với đường thẳng d nên có dạng: x+3y+c=0.
Lại có
Vì nên x+3y+11=0.
Do đó a=1; b=3; c=11. Vậy T = 3.1+3+4.11=50.
Trả lời: 50.
Câu 2. Trong mặt phẳng Oxy, góc giữa hai đường thẳng và là bao nhiêu độ?