Hàm số mũ. Hàm số lôgarit lớp 11 (Lý thuyết Toán 11 Chân trời sáng tạo)
Với tóm tắt lý thuyết Toán 11 Bài 3: Hàm số mũ. Hàm số lôgarit sách Chân trời sáng tạo hay nhất, chi tiết sẽ giúp học sinh lớp 11 nắm vững kiến thức trọng tâm, ôn luyện để học tốt môn Toán 11.
Hàm số mũ. Hàm số lôgarit lớp 11 (Lý thuyết Toán 11 Chân trời sáng tạo)
(199k) Xem Khóa học Toán 11 CTST
Bài giảng: Bài 3: Hàm số mũ. Hàm số lôgarit - Cô Nguyễn Yến (Giáo viên VietJack)
Lý thuyết Hàm số mũ. Hàm số lôgarit
1. Hàm số mũ
Cho số thực dương a khác 1.
Hàm số cho tương ứng mỗi số thực x với số thực được gọi là hàm số mũ cơ số a, kí hiệu .
Nhận xét: Hàm số có tập xác định là .
Ví dụ 1. Trong các hàm số sau đây, hàm số nào là hàm số mũ? Chỉ ra cơ số của nó.
a) ;
b) ;
c) .
Hướng dẫn giải
a) là hàm số mũ với cơ số .
b) không phải là hàm số mũ.
c) là hàm số mũ với cơ số .
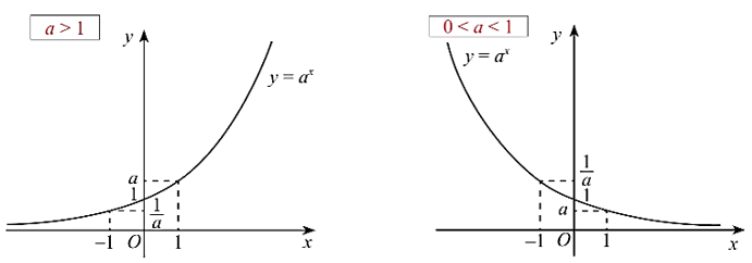
Đồ thị của hàm số mũ
Tổng quát, ta có đồ thị của hàm số với a > 1 và 0 < a < 1 như sau:
Từ đó, hàm số có:
(1) Tập xác định: .
Tập giá trị: .
Hàm số liên tục trên .
(2) Sự biến thiên:
• Nếu a > 1 thì hàm số đồng biến trên và
• Nếu 0 < a < 1 thì hàm số nghịch biến trên và
(3) Đồ thị:
• Cắt trục tung tại điểm (0; 1); đi qua điểm (1; a).
• Nằm phía trên trục hoành.
Ví dụ 2. Sử dụng tính chất của hàm số mũ, so sánh các cặp số sau:
a) 5,63 và 5,62,7;
b) 0,7–2,6 và 0,7–1,8;
c) và .
Hướng dẫn giải
a) Do 5,6 > 1 nên hàm số y = 5,6x đồng biến trên ℝ. Mà 3 > 2,7 nên 5,63 > 5,62,7.
b) Do 0,7 < 1 nên hàm số y = 0,7x nghịch biến trên ℝ.
Mà –2,6 < –1,8 nên 0,7–2,6 > 0,7–1,8.
c) Ta có .
Do 3 > 1 nên hàm số y = 3x đồng biến trên ℝ.
Mà nên , suy ra < .
2. Hàm số lôgarit
Cho số thực dương a khác 1.
Hàm số cho tương ứng với mỗi số thực dương x với số thực được gọi là hàm số lôgarit cơ số a, kí hiệu là .
Nhận xét: Hàm số có tập xác định là .
Ví dụ 3. Trong các hàm số sau, hàm số nào là hàm số lôrarit? Chỉ ra cơ số của nó.
a) ;
b) ;
c) .
Hướng dẫn giải
a) là hàm số lôgarit với cơ số .
b) là hàm số lôgarit với cơ số .
c) không phải là hàm số lôgarit (đây là hàm bậc nhất với hệ số góc >).
Đồ thị của hàm số lôgarit
Tổng quát, ta có đồ thị hàm số với a > 1 và 0 < a < 1 như sau:
Từ đó, hàm số có:
(1) Tập xác định: .
Tập giá trị: .
Hàm số liên tục trên .
(2) Sự biến thiên:
• Nếu a > 1 thì hàm số đồng biến trên và
• Nếu 0 < a < 1 thì hàm số nghịch biến trên và
(3) Đồ thị
• Cắt trục hoành tại điểm (1; 0), đi qua điểm (a; 1).
• Nằm bên phải trục tung.
Ví dụ 4. So sánh các cặp số sau:
a) và ;
b) và .
Hướng dẫn giải
a) Ta có .
Hàm số có cơ số 5 > 1 nên đồng biến trên (0; +∞).
Mà 8 < 9 nên . Vậy < .
b) Ta có ; .
Hàm số có cơ số 0,2 < 1 nên nghịch biến trên (0; +∞).
Mà 343 < 2187 nên . Vậy > .
Bài tập Hàm số mũ. Hàm số lôgarit
Bài 1. Vẽ đồ thị hàm số .
Hướng dẫn giải
Tập xác định: .
Do nên hàm số đồng biến trên .
Bảng giá trị:
Đồ thị hàm số đi qua các điểm có toạ độ theo bảng giá trị và nằm phía trên trục hoành.
Từ đó, ta vẽ được đồ thị hàm số như hình dưới đây.
Bài 2. Vẽ đồ thị của hàm số .
Hướng dẫn giải
Lập bảng giá trị của hàm số tại một số điểm như sau:
Từ đó, ta vẽ được đồ thị của hàm số như hình sau:
Bài 3. Tìm tập xác định của các hàm số sau:
a) ;
b) .
Hướng dẫn giải
a) Tập xác định của hàm số là .
b) Hàm số xác định khi hay .
Vậy tập xác định của hàm số là .
Bài 4. So sánh các cặp số sau:
a) 2,50,3 và 2,50,5;
b) và .
Hướng dẫn giải
a) Do 2,5 > 1 nên hàm số y = 2,5x đồng biến trên ℝ. Mà 0,3 < 0,5 nên 2,50,3 < 2,50,5.
b) Hàm số có cơ số 0,7 < 1 nên nghịch biến trên (0; +∞).
Mà 4 < 4,1 nên > .
Bài 5. Sau khi bệnh nhân uống một liều thuốc, lượng thuốc còn lại trong cơ thể giảm dần và được tính theo công thức , trong đó D0 và a là các hằng số dương, t là thời gian tính bằng giờ kể từ thời điểm uống thuốc.
a) Tại sao có thể khẳng định rằng 0 < a < 1?
b) Biết rằng bệnh nhân đã uống 100 mg thuốc và sau 1 giờ thì lượng thuốc trong cơ thể còn 80 mg. Hãy xác định giá trị của D0 và a.
c) Sau 5 giờ, lượng thuốc đã giảm đi bao nhiêu phần trăm so với lượng thuốc ban đầu?
Hướng dẫn giải
a) Do lượng thuốc trong cơ thể giảm dần, nên hàm số D(t) nghịch biến, mà D0 là hằng số dương, do đó 0 < a < 1.
b) Bệnh nhân đã uống 100 mg thuốc nên D0 = 100.
Vì sau 1 giờ thì lượng thuốc trong cơ thể còn 80 mg nên với t = 1, ta có:
D(1) = 100a1 = 80, suy ra .
c) Sau 5 giờ, lượng thuốc còn . Tỉ lệ lượng thuốc đã giảm so với lượng thuốc ban đầu là.
Học tốt Hàm số mũ. Hàm số lôgarit
Các bài học để học tốt Hàm số mũ. Hàm số lôgarit Toán lớp 11 hay khác:
(199k) Xem Khóa học Toán 11 CTST
Xem thêm tóm tắt lý thuyết Toán lớp 11 Chân trời sáng tạo hay khác:
Xem thêm các tài liệu học tốt lớp 11 hay khác:
- Giải sgk Toán 11 Chân trời sáng tạo
- Giải Chuyên đề học tập Toán 11 Chân trời sáng tạo
- Giải SBT Toán 11 Chân trời sáng tạo
- Giải lớp 11 Chân trời sáng tạo (các môn học)
- Giải lớp 11 Kết nối tri thức (các môn học)
- Giải lớp 11 Cánh diều (các môn học)
Tủ sách VIETJACK shopee lớp 10-11 (cả 3 bộ sách):
Đã có app VietJack trên điện thoại, giải bài tập SGK, SBT Soạn văn, Văn mẫu, Thi online, Bài giảng....miễn phí. Tải ngay ứng dụng trên Android và iOS.
Theo dõi chúng tôi miễn phí trên mạng xã hội facebook và youtube:Nếu thấy hay, hãy động viên và chia sẻ nhé! Các bình luận không phù hợp với nội quy bình luận trang web sẽ bị cấm bình luận vĩnh viễn.
- Soạn văn 11 (hay nhất) - CTST
- Soạn văn 11 (ngắn nhất) - CTST
- Giải sgk Toán 11 - CTST
- Giải Tiếng Anh 11 Global Success
- Giải sgk Tiếng Anh 11 Smart World
- Giải sgk Tiếng Anh 11 Friends Global
- Giải sgk Vật Lí 11 - CTST
- Giải sgk Hóa học 11 - CTST
- Giải sgk Sinh học 11 - CTST
- Giải sgk Lịch Sử 11 - CTST
- Giải sgk Địa Lí 11 - CTST
- Giải sgk Giáo dục KTPL 11 - CTST
- Giải sgk Hoạt động trải nghiệm 11 - CTST
- Giải sgk Âm nhạc 11 - CTST


Giải bài tập SGK & SBT
Tài liệu giáo viên
Sách
Khóa học
Thi online
Hỏi đáp

