Phương trình, bất phương trình mũ và lôgarit lớp 11 (Lý thuyết Toán 11 Chân trời sáng tạo)
Với tóm tắt lý thuyết Toán 11 Bài 4: Phương trình, bất phương trình mũ và lôgarit sách Chân trời sáng tạo hay nhất, chi tiết sẽ giúp học sinh lớp 11 nắm vững kiến thức trọng tâm, ôn luyện để học tốt môn Toán 11.
Phương trình, bất phương trình mũ và lôgarit lớp 11 (Lý thuyết Toán 11 Chân trời sáng tạo)
(199k) Xem Khóa học Toán 11 CTST
Bài giảng: Bài 4: Phương trình, bất phương trình mũ và lôgarit - Cô Nguyễn Yến (Giáo viên VietJack)
Lý thuyết Phương trình, bất phương trình mũ và lôgarit
1. Phương trình mũ
Phương trình dạng , trong đó a và b là những số cho trước, , được gọi là phương trình mũ cơ bản.
Nghiệm của phương trình mũ cơ bản
Cho phương trình .
Nếu b > 0 thì phương trình luôn có nghiệm duy nhất .
Nếu b ≤ 0 thì phương trình vô nghiệm.
Chú ý:
a) Nếu thì ta có .
b) Tổng quát hơn, .
Ví dụ 1. Giải các phương trình sau:
a) ;
b) .
Hướng dẫn giải
a) .
Vậy phương trình có nghiệm duy nhất là .
b) Lấy lôgarit cơ số 3 hai vế của phương trình ta được , hay .
Vậy phương trình đã cho có nghiệm duy nhất là .
2. Phương trình lôgarit
Phương trình dạng , trong đó a, b là những số cho trước, a > 0, , được gọi là phương trình lôgarit cơ bản.
Nghiệm của phương trình lôgarit cơ bản
Phương trình luôn có nghiệm duy nhất .
Chú ý: Tổng quát, xét phương trình dạng
. (1)
Để giải phương trình (1), trước hết cần đặt điều kiện có nghĩa: và .
Khi đó, (1) được biến đổi thành phương trình
. (2)
Sau khi giải phương trình (2), ta cần kiểm tra sự thỏa mãn điều kiện. Nghiệm của phương trình (1) là nghiệm của (2) thỏa mãn điều kiện.
Ví dụ 2. Giải các phương trình sau:
a) ;
b) .
Hướng dẫn giải
a) Điều kiện 3x – 5 > 0 và 2x + 1 > 0, tức là .
Phương trình đã cho trở thành , suy ra x = 6 (thỏa mãn điều kiện).
Vậy phương trình đã cho có nghiệm duy nhất là x = 6.
b) Điều kiện x + 1 > 0, tức là x > –1.
Khi đó, ta có .
Vậy phương trình đã cho có nghiệm duy nhất là x = 7.
3. Bất phương trình mũ
Bất phương trình mũ cơ bản là bất phương trình có dạng (hoặc , ,), với a, b là những số cho trước, a > 0, .
Xét bất phương trình
. (3)
Nghiệm của (3) là hoành độ các điểm trên đồ thị hàm số > nằm phía trên đường thẳng y = b. Từ đồ thị ở hình dưới đây,
ta nhận được:
• Nếu b ≤ 0 thì mọi đều là nghiệm của (3).
• Nếu b > 0 thì:
+ Với a > 1, nghiệm của (3) là ;
+ Với 0 < a < 1, nghiệm của (3) là .
Chú ý:
a) Tương tự như trên, từ đồ thị ở hình trên, ta nhận được kết quả về nghiệm của mỗi bất phương trình (các bất phương trình vô nghiệm nếu ).
b) Nếu a > 1 thì .
Nếu 0 < a < 1 thì .
Ví dụ 3. Giải các bất phương trình sau:
a) ;
b) .
Hướng dẫn giải
a) .
Vậy tập nghiệm của bất phương trình là .
b) .
Vậy tập nghiệm của bất phương trình là .
4. Bất phương trình lôgarit
Bất phương trình lôgarit cơ bản là bất phương trình có dạng (hoặc ), với a, b là các số cho trước, .
Xét bất phương trình
(4).
Điều kiện xác định của bất phương trình là x > 0.
Nghiệm của (4) là hoành độ các điểm của đồ thị hàm số nằm phía trên đường thẳng . Từ đồ thị ở hình dưới đây,
ta nhận được:
• Với a > 1, nghiệm của (4) là .
• Với 0 < a < 1, nghiệm của (4) là .
Chú ý:
a) Tương tự như trên, từ đồ thị ở hình trên, ta nhận được kết quả về nghiệm của mỗi bất phương trình .
b) Nếu a > 1 thì .
Nếu 0 < a < 1 thì .
Ví dụ 4. Giải các bất phương trình sau:
a) ;
b) >.
Hướng dẫn giải
a) Điều kiện: x > 1.
Vì cơ số 10 > 1 nên bất phương trình trở thành x – 1 < 100, tức là x < 2.
Kết hợp với điều kiện, ta được nghiệm của bất phương trình đã cho là 1 < x < 2.
b) Điều kiện: .
Vì cơ số nên bất phương trình trở thành 2x – 1 ≤ x + 3, từ đó tìm được x ≤ 4.
Kết hợp với điều kiện, ta được nghiệm của bất phương trình đã cho là .
Bài tập Phương trình, bất phương trình mũ và lôgarit
Bài 1. Giải các phương trình sau:
a) ;
b) ;
c) ;
d) .
Hướng dẫn giải
a) Ta có: .
Vậy phương trình có nghiệm duy nhất là .
b) Ta có:
Vậy phương trình có nghiệm duy nhất là .
c) Điều kiện: x > 1.
Khi đó: .
Giải phương trình trên ta được x = – 1 (không thỏa mãn) và x = 4 (thỏa mãn điều kiện).
Vậy phương trình đã cho có nghiệm là x = 4.
d) .
Vậy phương trình đã cho có nghiệm là x = –1.
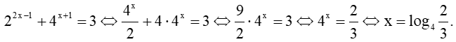
Bài 2. Giải các phương trình sau:
a) ;
b) .
Hướng dẫn giải
a) Ta có:
Vậy nghiệm của phương trình đã cho là .
b) Điều kiện: x + 6 > 0 và x + 2 > 0, tức là x > –2. Ta có:
⇔
Giải phương trình bậc hai này ta được hai nghiệm . Chỉ có nghiệm thoả mãn điều kiện.
Vậy nghiệm của phương trình đã cho là .
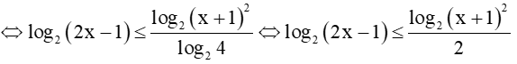
Bài 3. Giải các bất phương trình sau:
a) ;
b) ;
c)
d) ;
e)
g) .
Hướng dẫn giải
a) .
Vậy tập nghiệm của bất phương trình là .
b)
c)
Bất phương trình đã cho có thể viết ở dạng: .
Vì cơ số 3 > 1 nên bất phương trình trở thành , hay .
Giải bất phương trình này, ta được .
Vậy tập nghiệm của bất phương trình đã cho là .
d)
Vậy tập nghiệm của bất phương trình là .
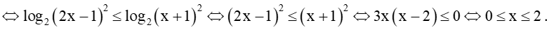
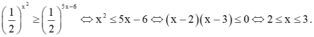
e) .
Điều kiện: x > 3.
Khi đó, bất phương trình đã cho được viết lại thành
Vì cơ số 0,5 < 1 nên bất phương trình trở thành (x – 3)(x – 2) ≤ 2, hay .
Giải bất phương trình bậc hai này, ta được 1 ≤ x ≤ 4.
Kết hợp với điều kiện, ta được nghiệm của bất phương trình là 3 < x ≤ 4.
g) Điều kiện: . Ta có
Kết hợp với điều kiện, ta được: .
Bài 4. Một người gửi ngân hàng 100 triệu đồng theo hình thức lãi kép có kì hạn là 12 tháng với lãi suất là 6%/ năm. Để có được số tiền cả gốc và lãi nhiều hơn 130 triệu đồng thì người đó phải gửi ít nhất bao nhiêu năm? Biết rằng lãi suất không thay đổi qua các năm và người đó không rút tiền ra trong suốt quá trình gửi.
Hướng dẫn giải
Gọi x là số năm người đó gửi tiền trong ngân hàng.
Số tiền cả gốc và lãi người đó có được sau x năm được tính bởi công thức:
Để có được số tiền cả gốc và lãi nhiều hơn 130 triệu đồng thì
Do kì hạn gửi là 12 tháng nên để rút được số tiền cả gốc và lãi nhiều hơn 130 triệu đồng thì người đó phải gửi ít nhất 5 năm.
Học tốt Phương trình, bất phương trình mũ và lôgarit
Các bài học để học tốt Phương trình, bất phương trình mũ và lôgarit Toán lớp 11 hay khác:
(199k) Xem Khóa học Toán 11 CTST
Xem thêm tóm tắt lý thuyết Toán lớp 11 Chân trời sáng tạo hay khác:
Xem thêm các tài liệu học tốt lớp 11 hay khác:
- Giải sgk Toán 11 Chân trời sáng tạo
- Giải Chuyên đề học tập Toán 11 Chân trời sáng tạo
- Giải SBT Toán 11 Chân trời sáng tạo
- Giải lớp 11 Chân trời sáng tạo (các môn học)
- Giải lớp 11 Kết nối tri thức (các môn học)
- Giải lớp 11 Cánh diều (các môn học)
Tủ sách VIETJACK shopee lớp 10-11 (cả 3 bộ sách):
Đã có app VietJack trên điện thoại, giải bài tập SGK, SBT Soạn văn, Văn mẫu, Thi online, Bài giảng....miễn phí. Tải ngay ứng dụng trên Android và iOS.
Theo dõi chúng tôi miễn phí trên mạng xã hội facebook và youtube:Nếu thấy hay, hãy động viên và chia sẻ nhé! Các bình luận không phù hợp với nội quy bình luận trang web sẽ bị cấm bình luận vĩnh viễn.
- Soạn văn 11 (hay nhất) - CTST
- Soạn văn 11 (ngắn nhất) - CTST
- Giải sgk Toán 11 - CTST
- Giải Tiếng Anh 11 Global Success
- Giải sgk Tiếng Anh 11 Smart World
- Giải sgk Tiếng Anh 11 Friends Global
- Giải sgk Vật Lí 11 - CTST
- Giải sgk Hóa học 11 - CTST
- Giải sgk Sinh học 11 - CTST
- Giải sgk Lịch Sử 11 - CTST
- Giải sgk Địa Lí 11 - CTST
- Giải sgk Giáo dục KTPL 11 - CTST
- Giải sgk Hoạt động trải nghiệm 11 - CTST
- Giải sgk Âm nhạc 11 - CTST


Giải bài tập SGK & SBT
Tài liệu giáo viên
Sách
Khóa học
Thi online
Hỏi đáp

