Thể tích lớp 11 (Lý thuyết Toán 11 Kết nối tri thức)
Với tóm tắt lý thuyết Toán 11 Bài 27: Thể tích sách Kết nối tri thức hay nhất, chi tiết sẽ giúp học sinh lớp 11 nắm vững kiến thức trọng tâm, ôn luyện để học tốt môn Toán 11.
Thể tích lớp 11 (Lý thuyết Toán 11 Kết nối tri thức)
(199k) Xem Khóa học Toán 11 KNTT
Bài giảng: Bài 27: Thể tích - Cô Trần Oanh (Giáo viên VietJack)
Lý thuyết Thể tích
Phần không gian được giới hạn bởi hình chóp, hình chóp cụt đều, hình lăng trụ, hình hộp tương ứng được gọi là khối chóp, khối chóp cụt đều, khối lăng trụ, khối hộp. Đỉnh, mặt, cạnh, đường cao của các khối hình đó lần lượt là đỉnh, mặt, cạnh, đường cao của hình chóp, hình chóp cụt đều, hình lăng trụ, hình hộp tương ứng.
• Thể tích của khối chóp có diện tích đáy S và chiều cao h là
• Thể tích của khối chóp cụt đều có diện tích đáy lớn S, diện tích đáy bé S' và chiều cao h là
• Thể tích của khối lăng trụ có diện tích đáy S và chiều cao h là V = S ∙ h.
Nhận xét:
• Thể tích của khối tứ diện bằng một phần ba tích của diện tích một mặt và chiều cao của khối tứ diện ứng với mặt đó.
• Thể tích của khối hộp bằng tích của diện tích một mặt và chiều cao của khối hộp ứng với mặt đó.
Ví dụ 1. Cho khối chóp đều S.ABCD có đáy ABCD là hình vuông cạnh bằng a, góc giữa đường thẳng SA và mặt phẳng (ABCD) bằng 60°. Tính theo a thể tích khối chóp S.ABCD.
Hướng dẫn giải
Gọi O là giao điểm của AC và BD thì và góc giữa SA và (ABCD) bằng góc SAO bằng 60°.
Xét tam giác SAO vuông tại O, có và
Khi đó SO
Do đó,
Ví dụ 2. Cho khối lăng trụ tam giác có đáy là tam giác đều cạnh bằng a, cạnh AA' = a và hình chiếu vuông góc H của A' trên mặt phẳng (ABC) là trung điểm của BC. Tính theo a thể tích khối lăng trụ
Hướng dẫn giải
Ta có A'H là đường cao của khối lăng trụ , tam giác ABC đều có đường cao AH nên ta tính được và tam giác A'AH vuông tại H nên theo định lí Pythagore ta tính được
Tam giác ABC đều có cạnh bằng a nên diện tích tam giác ABC bằng
Vậy
Ví dụ 3. Cho hình chóp cụt đều có đáy lớn ABCD là hình vuông cạnh bằng , đáy nhỏ là hình vuông cạnh bằng , các cạnh bên bằng nhau và bằng a. Tính theo a thể tích khối chóp cụt
Hướng dẫn giải
Gọi O là giao điểm của AC và BD, S là giao điểm của AA' và CC'.
Vì và A'B' // AB nên A' là trung điểm của SA.
Từ đó, suy ra SA = SC = 2AA' = 2a.
Vì ABCD là hình vuông và nên AC = 2a.
Do đó, tam giác SAC đều, có đường cao SO.
Từ đó, ta tính được
Vì A' là trung điểm của SA và nên chiều cao h của hình chóp cụt bằng
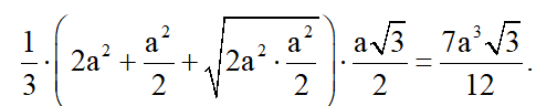
Diện tích đáy lớn và đáy nhỏ của hình chóp cụt lần lượt là
Vậy thể tích khối chóp cụt bằng
Bài tập Thể tích
Bài 1. Cho hình lăng trụ có và là hai tam giác đều cạnh a. Biết . Tính theo a thể tích khối lăng trụ
Hướng dẫn giải
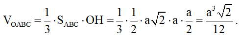
Bài 2. Cho tứ diện OABC có OA = OB = OC = a và ; . Tính theo a thể tích khối tứ diện OABC.
Hướng dẫn giải
Ta có: , tam giác ABC vuông tại B. Kẻ OH vuông góc với mặt phẳng (ABC) tại H. Vì OA = OB = OC nên HA = HB = HC, hay H là trung điểm của AC. Xét tam giác OAH vuông tại H, theo định lí Pythagore ta tính được:
Do đó
Bài 3. Cho hình chóp S.ABCD có đáy ABCD là hình thoi tâm O, biết , và khoảng cách từ điểm A đến mặt phẳng (SBC) bằng . Tính theo A thể tích khối chóp S.ABCD.
Hướng dẫn giải
Kẻ OM vuông góc với BC tại M, OH vuông góc với SM tại H, ta chứng minh được . Vì O là trung điểm của AC nên
Tam giác OBC vuông tại O, có và đường cao OM nên
Tam giác SOM vuông tại O, đường cao OH nên , suy ra
Bài 4. Cho hình lập phương có . Tính thể tích của khối lập phương
Hướng dẫn giải
Đường chéo của một hình lập phương là là độ dài cạnh hình lập phương.
Dễ thấy rằng hình lập phương có AC' là đường chéo và cạnh là AB.
Do đó
Vậy thể tích khối lập phương là V = a3.
Bài 5. Tính thể tích của khối chóp cụt tam giác đều có chiều cao bằng 3a,
Hướng dẫn giải
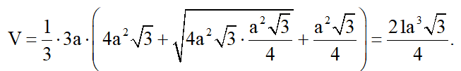
Diện tích tam giác đều ABC là: .
Diện tích tam giác đều A'B'C' là: .
Thể tích khối chóp cụt:
Học tốt Thể tích
Các bài học để học tốt Thể tích Toán lớp 11 hay khác:
(199k) Xem Khóa học Toán 11 KNTT
Xem thêm tóm tắt lý thuyết Toán lớp 11 Kết nối tri thức hay, chi tiết khác:
Lý thuyết Toán 11 Bài 28: Biến cố hợp, biến cố giao, biến cố độc lập
Lý thuyết Toán 11 Bài 30: Công thức nhân xác suất cho hai biến cố độc lập
Xem thêm các tài liệu học tốt lớp 11 hay khác:
- Giải sgk Toán 11 Kết nối tri thức
- Giải Chuyên đề học tập Toán 11 Kết nối tri thức
- Giải SBT Toán 11 Kết nối tri thức
- Giải lớp 11 Kết nối tri thức (các môn học)
- Giải lớp 11 Chân trời sáng tạo (các môn học)
- Giải lớp 11 Cánh diều (các môn học)
Tủ sách VIETJACK shopee lớp 10-11 (cả 3 bộ sách):
Đã có app VietJack trên điện thoại, giải bài tập SGK, SBT Soạn văn, Văn mẫu, Thi online, Bài giảng....miễn phí. Tải ngay ứng dụng trên Android và iOS.
Theo dõi chúng tôi miễn phí trên mạng xã hội facebook và youtube:Nếu thấy hay, hãy động viên và chia sẻ nhé! Các bình luận không phù hợp với nội quy bình luận trang web sẽ bị cấm bình luận vĩnh viễn.
- Soạn văn 11 (hay nhất) - KNTT
- Soạn văn 11 (ngắn nhất) - KNTT
- Giải sgk Toán 11 - KNTT
- Giải Tiếng Anh 11 Global Success
- Giải sgk Tiếng Anh 11 Smart World
- Giải sgk Tiếng Anh 11 Friends Global
- Giải sgk Vật Lí 11 - KNTT
- Giải sgk Hóa học 11 - KNTT
- Giải sgk Sinh học 11 - KNTT
- Giải sgk Lịch Sử 11 - KNTT
- Giải sgk Địa Lí 11 - KNTT
- Giải sgk Giáo dục KTPL 11 - KNTT
- Giải sgk Tin học 11 - KNTT
- Giải sgk Công nghệ 11 - KNTT
- Giải sgk Hoạt động trải nghiệm 11 - KNTT
- Giải sgk Giáo dục quốc phòng 11 - KNTT
- Giải sgk Âm nhạc 11 - KNTT


Giải bài tập SGK & SBT
Tài liệu giáo viên
Sách
Khóa học
Thi online
Hỏi đáp

