Đạo hàm cấp hai lớp 11 (Lý thuyết Toán 11 Kết nối tri thức)
Với tóm tắt lý thuyết Toán 11 Bài 33: Đạo hàm cấp hai sách Kết nối tri thức hay nhất, chi tiết sẽ giúp học sinh lớp 11 nắm vững kiến thức trọng tâm, ôn luyện để học tốt môn Toán 11.
Đạo hàm cấp hai lớp 11 (Lý thuyết Toán 11 Kết nối tri thức)
(199k) Xem Khóa học Toán 11 KNTT
Bài giảng: Bài 33: Đạo hàm cấp hai - Cô Trần Oanh (Giáo viên VietJack)
Lý thuyết Đạo hàm cấp hai
1. Khái niệm đạo hàm cấp hai
Giả sử hàm số y = f(x) có đạo hàm tại mỗi điểm . Nếu hàm số lại có đạo hàm tại x thì ta gọi đạo hàm của y' là đạo hàm cấp hai của hàm số y = f(x) tại x, kí hiệu là y" hoặc f''(x)
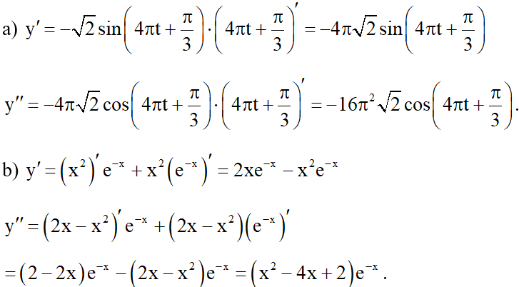
Ví dụ 1. Tính đạo hàm cấp hai của các hàm số sau:
a)
b)
Hướng dẫn giải
2. Ý nghĩa cơ học của đạo hàm cấp hai
Ý nghĩa cơ học của đạo hàm cấp hai
Một chuyển động có phương trình s = f(t) thì đạo hàm cấp hai (nếu có) của hàm số f(t) là gia tốc tức thời của chuyển động. Ta có:
Ví dụ 2. Một chuyển động thẳng xác định bởi phương trình , trong đó s tính bằng mét và t là thời gian tính bằng giây. Tính vận tốc và gia tốc của chuyển động tại thời điểm t = 2.
Hướng dẫn giải
Ta có , suy ra
Vận tốc và gia tốc của chuyển động tại thời điểm t = 2 lần lượt là:
và
Bài tập Đạo hàm cấp hai
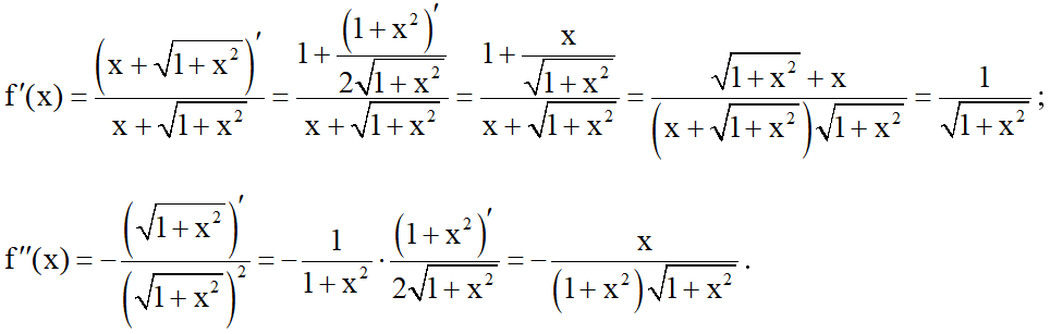
Bài 1. Cho hàm số .
a) Tìm đạo hàm cấp hai của hàm số.
b) Tính đạo hàm cấp hai của hàm số tại điểm
Hướng dẫn giải
a) Ta có và
b) Vì nên
Bài 2. Cho hàm số . Tính
Hướng dẫn giải
Thay x = 0 vào biểu thức ta được
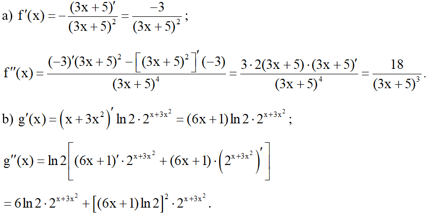
Bài 3. Tìm đạo hàm cấp hai của mỗi hàm số sau:
a)
b)
Hướng dẫn giải
Bài 4. Một chất điểm chuyển động thẳng có phương trình trong đó thời gian t được tính bằng giây và s được tính bằng mét.
a) Tại thời điểm nào chất điểm có vận tốc bằng 0?
b) Tìm vận tốc và gia tốc của chất điểm tại thời điểm t = 3 s.
Hướng dẫn giải
a) . Ta có
Vận tốc của chất điểm bằng 0 khi t = 1 s.
b) Khi t = 3 s, ta có
Ta có nên
Vậy khi t = 3 s thì vận tốc của vật là –4 m/s. Gia tốc của vật là –2 m/s2.
Bài 5. Một chất điểm có phương trình chuyển động , trong đó t > 0, t tính bằng giây, s(t) tính bằng centimét. Tính gia tốc tức thời của chất điểm tại thời điểm
Hướng dẫn giải
Ta có
Gia tốc tức thời của chất điểm tại thời điểm (s) là:
Học tốt Đạo hàm cấp hai
Các bài học để học tốt Đạo hàm cấp hai Toán lớp 11 hay khác:
(199k) Xem Khóa học Toán 11 KNTT
Xem thêm tóm tắt lý thuyết Toán lớp 11 Kết nối tri thức hay, chi tiết khác:
Xem thêm các tài liệu học tốt lớp 11 hay khác:
- Giải sgk Toán 11 Kết nối tri thức
- Giải Chuyên đề học tập Toán 11 Kết nối tri thức
- Giải SBT Toán 11 Kết nối tri thức
- Giải lớp 11 Kết nối tri thức (các môn học)
- Giải lớp 11 Chân trời sáng tạo (các môn học)
- Giải lớp 11 Cánh diều (các môn học)
Tủ sách VIETJACK shopee lớp 10-11 (cả 3 bộ sách):
Đã có app VietJack trên điện thoại, giải bài tập SGK, SBT Soạn văn, Văn mẫu, Thi online, Bài giảng....miễn phí. Tải ngay ứng dụng trên Android và iOS.
Theo dõi chúng tôi miễn phí trên mạng xã hội facebook và youtube:Nếu thấy hay, hãy động viên và chia sẻ nhé! Các bình luận không phù hợp với nội quy bình luận trang web sẽ bị cấm bình luận vĩnh viễn.
- Soạn văn 11 (hay nhất) - KNTT
- Soạn văn 11 (ngắn nhất) - KNTT
- Giải sgk Toán 11 - KNTT
- Giải Tiếng Anh 11 Global Success
- Giải sgk Tiếng Anh 11 Smart World
- Giải sgk Tiếng Anh 11 Friends Global
- Giải sgk Vật Lí 11 - KNTT
- Giải sgk Hóa học 11 - KNTT
- Giải sgk Sinh học 11 - KNTT
- Giải sgk Lịch Sử 11 - KNTT
- Giải sgk Địa Lí 11 - KNTT
- Giải sgk Giáo dục KTPL 11 - KNTT
- Giải sgk Tin học 11 - KNTT
- Giải sgk Công nghệ 11 - KNTT
- Giải sgk Hoạt động trải nghiệm 11 - KNTT
- Giải sgk Giáo dục quốc phòng 11 - KNTT
- Giải sgk Âm nhạc 11 - KNTT


Giải bài tập SGK & SBT
Tài liệu giáo viên
Sách
Khóa học
Thi online
Hỏi đáp

