Tổng hợp lý thuyết Toán 11 Chương 6 Kết nối tri thức
Tổng hợp lý thuyết Toán 11 Chương 6: Hàm số mũ và hàm số lôgarit sách Kết nối tri thức hay nhất, chi tiết với bài tập có lời giải sẽ giúp học sinh lớp 11 nắm vững kiến thức trọng tâm Toán 11 Chương 6.
Tổng hợp lý thuyết Toán 11 Chương 6 Kết nối tri thức
(199k) Xem Khóa học Toán 11 KNTT
Bài giảng: Bài tập cuối chương 6 - Cô Trần Oanh (Giáo viên VietJack)
Lý thuyết tổng hợp Toán 11 Chương 6
1. Lũy thừa với số mũ nguyên
• Cho n là một số nguyên dương. Ta định nghĩa:
Với a là số thực tuỳ ý:
Với a là số thực khác 0:
• Trong biểu thức am, a gọi là cơ số, m gọi là số mũ.
Lưu ý: 00 và không có nghĩa.
Luỹ thừa với số mũ nguyên có các tính chất tương tự như luỹ thừa với số mũ nguyên dương.
Với và m, n là các số nguyên, ta có:
Chú ý:
- Nếu a > 1 thì khi và chỉ khi m > n.
- Nếu 0 < a < 1 thì khi và chỉ khi m < n.
2. Lũy thừa với số mũ hữu tỉ
• Khái niệm căn bậc n
Cho số thực a và số nguyên dương n. Số b được gọi là căn bậc n của số a nếu .
Nhận xét. Khi n là số lẻ, mỗi số thực a chỉ có một căn bậc n và kí hiệu là . Căn bậc 1 của số a chính là a.
Lưu ý: .
Khi n là số chẵn, mỗi số thực dương có đúng hai căn bậc n là hai số đối nhau, giá trị dương kí hiệu là (gọi là căn số học bậc n của a), giá trị âm kí hiệu là
• Tính chất của căn bậc n
Giả sử n, k là các số nguyên dương, m là số nguyên. Khi đó:
(Giả thiết các biểu thức ở trên đều có nghĩa).
• Lũy thừa với số mũ hữu tỉ
Cho số thực a dương và số hữu tỉ , trong đó m là một số nguyên và n là số nguyên dương. Luỹ thừa của a với số mũ r, kí hiệu là , xác định bởi
Chú ý. Luỹ thừa với số mũ hữu tỉ (của một số thực dương) có đầy đủ các tính chất như luỹ thừa với số mũ nguyên.
3. Lũy thừa với số mũ thực
3.1. Khái niệm lũy thừa với số mũ thực
Cho a là số thực dương và α là một số vô tỉ. Xét dãy số hữu tỉ (rn) mà . Khi đó, dãy số có giới hạn xác định và không phụ thuộc vào dãy số hữu tỉ (rn) đã chọn. Giới hạn đó gọi là luỹ thừa của a với số mũ α, kí hiệu là .
Chú ý. Luỹ thừa với số mũ thực (của một số dương) có đầy đủ các tính chất như luỹ thừa với số mũ nguyên.
3.2. Tính lũy thừa với số mũ thực bằng máy tính cầm tay
Có thể sử dụng máy tính cầm tay để tính căn bậc n và luỹ thừa với số mũ thực.
4. Khái niệm lôgarit
Cho a là một số thực dương khác 1 và M là một số thực dương. Số thực để được gọi là lôgarit cơ số a của M và kí hiệu là .
Chú ý. Không có lôgarit của số âm và số 0. Cơ số của lôgarit phải dương và khác 1.
Từ định nghĩa lôgarit, ta có các tính chất sau:
Với và là số thực tuỳ ý, ta có:
5. Tính chất của lôgarit
5.1. Quy tắc tính lôgarit
Giả sử a là số thực dương khác 1, M và N là các số thực dương, là số thực tuỳ ý.
Khi đó:
5.2. Đổi cơ số của lôgarit
Với các cơ số lôgarit a và b bất kì và M là số thực dương tuỳ ý, ta luôn có:
6. Lôgarit thập phân và lôgarit tự nhiên
6.1. Lôgarit thập phân
Trong thực hành, ta hay dùng hệ đếm thập phân (hệ đếm cơ số 10); lôgarit cơ số 10 đóng vai trò quan trọng trong tính toán.
Lôgarit cơ số 10 của một số dương M gọi là lôgarit thập phân của M, kí hiệu là logM hoặc lgM (đọc là lốc của M).
6.2. Số e và lôgarit tự nhiên
Bài toán lãi kép liên tục và số e
Ta đã biết: Nếu đem gửi ngân hàng một số vốn ban đầu là P theo thể thức lãi kép với lãi suất hằng năm không đổi là r và chia mỗi năm thành m kì tính lãi thì sau t năm (tức là sau tm kì) số tiền thu được (cả vốn lẫn lãi) là
Nếu kì tính lãi được chia càng ngày càng nhỏ, tức là tính lãi hằng ngày, hằng giờ, hằng phút, hằng giây, … thì dẫn đến việc tính giới hạn của dãy số Am khi . Ta có:
Để tính giới hạn , ta cần xét giới hạn
Một cách tổng quát, ta xét giới hạn .
Người ta chứng minh được giới hạn trên tồn tại, nó là một số vô tỉ có giá trị bằng 2,718281828… và kí hiệu là e. Vậy .
Từ các kết quả trên suy ra .
Thể thức tính lãi khi theo cách trên gọi là thể thức lãi kép liên tục.
Như vậy, với số vốn ban đầu là P, theo thể thức lãi kép liên tục, lãi suất hằng năm không đổi là r thì sau t năm, số tiền thu được cả vốn lẫn lãi sẽ là Công thức trên gọi là công thức lãi kép liên tục.
Lôgarit tự nhiên
Ta có định nghĩa sau:
Lôgarit cơ số e của một số dương M gọi là lôgarit tự nhiên của M, kí hiệu là lnM (đọc là lôgarit Nêpe của M).
6.3. Tính lôgarit bằng máy tính cầm tay
Có thể dùng máy tính cầm tay để tính lôgarit của một số dương.
7. Hàm số mũ
• Cho a là số thực dương khác 1.
Hàm số được gọi là hàm số mũ cơ số a.
• Hàm số mũ :
- Có tập xác định là và tập giá trị là
- Đồng biến trên khi a > 1 và nghịch biến trên khi 0 < a < 1;
- Liên tục trên ;
- Có đồ thị đi qua các điểm (0; 1), (1; a) và luôn nằm phía trên trục hoành.
Dạng đồ thị của hàm số
8. Hàm số lôgarit
• Cho a là số thực dương khác 1.
Hàm số được gọi là hàm số lôgarit cơ số a.
• Hàm số lôgarit :
- Có tập xác định là và tập giá trị là ;
- Đồng biến trên khi a > 1 và nghịch biến trên khi 0 < a < 1;
- Liên tục trên ;
- Có đồ thị đi qua các điểm (1; 0), (a; 1) và luôn nằm bên phải trục tung.
Dạng đồ thị của hàm số
9. Phương trình mũ
Phương trình mũ cơ bản có dạng (với
• Nếu b > 0 thì phương trình có nghiệm duy nhất
• Nếu b ≤ 0 thì phương trình vô nghiệm.
Minh hoạ bằng đồ thị:
Chú ý. Phương pháp giải phương trình mũ bằng cách đưa về cùng cơ số:
Nếu thì
10. Phương trình lôgarit
Phương trình lôgarit cơ bản có dạng
Phương trình lôgarit cơ bản có nghiệm duy nhất
Minh hoạ bằng đồ thị:
Chú ý. Phương pháp giải phương trình lôgarit bằng cách đưa về cùng cơ số:
Nếu u, v > 0 và thì .
11. Bất phương trình mũ
Bất phương trình mũ cơ bản có dạng (hoặc ) với a > 0, a ≠ 1.
Xét bất phương trình dạng :
• Nếu b ≤ 0 thì tập nghiệm của bất phương trình là
• Nếu b > 0 thì bất phương trình tương đương với
Với a > 1, nghiệm của bất phương trình là
Với 0 < a < 1, nghiệm của bất phương trình là
Chú ý:
a) Các bất phương trình mũ cơ bản còn lại được giải tương tự.
b) Nếu a > 1 thì
Nếu 0 < a < 1 thì
12. Bất phương trình lôgarit
Bất phương trình lôgarit cơ bản có dạng
• Xét bất phương trình dạng :
- Nếu a > 1 thì nghiệm của bất phương trình là
- Nếu 0 < a < 1 thì nghiệm của bất phương trình là
Chú ý
a) Các bất phương trình lôgarit cơ bản còn lại được giải tương tự.
b) Nếu a > 1 thì
Nếu 0 < a < 1 thì
Bài tập tổng hợp Toán 11 Chương 6
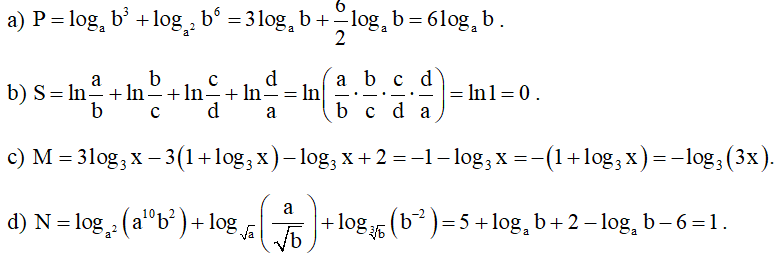
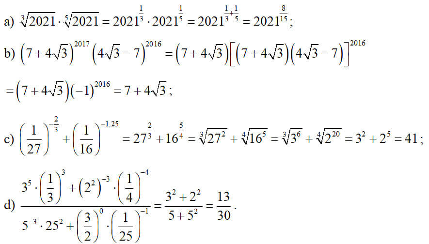
Bài 1. Thực hiện phép tính:
Hướng dẫn giải
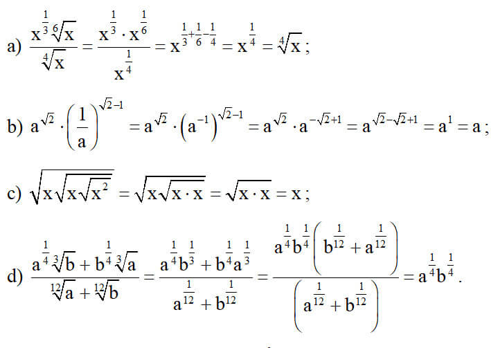
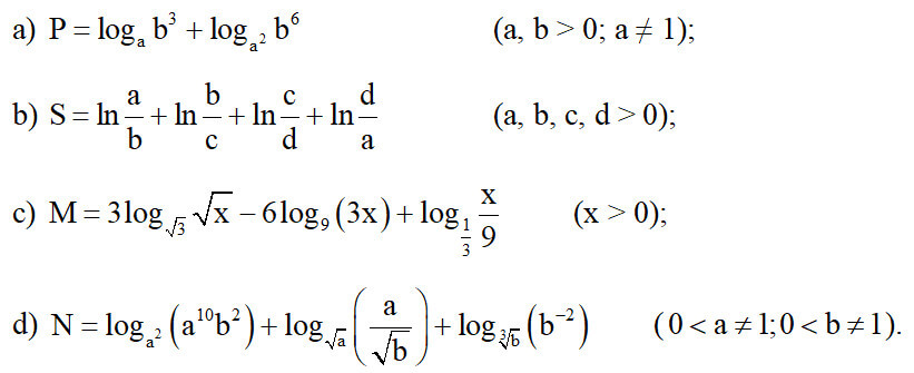
Bài 2. Rút gọn các biểu thức sau:
Hướng dẫn giải
Bài 3. Không sử dụng máy tính cầm tay, hãy so sánh:
Hướng dẫn giải
Bài 4. Ông An gửi 100 triệu đồng vào một ngân hàng với lãi suất 0,8%/ tháng. Biết rằng nếu không rút tiền ra khỏi ngân hàng thì cứ sau mỗi tháng số tiền lãi sẽ được nhập vào gốc để tính lãi cho tháng tiếp theo và từ tháng thứ hai trở đi, mỗi tháng ông gửi thêm vào tài khoản với số tiền 2 triệu đồng. Hỏi sau đúng 2 năm số tiền ông An nhận được cả gốc lẫn lãi là bao nhiêu? Biết rằng trong suốt thời gian gửi lãi suất không thay đổi và ông An không rút tiền ra.
Hướng dẫn giải
Với 100 triệu đồng ban đầu số tiền cả lãi và gốc thu được sau hai năm là (đồng)
Mỗi tháng tiếp theo gửi 2 triệu đồng thì tổng số tiền cả lãi và gốc là
Vậy tổng số tiền ông An nhận được là (đồng).
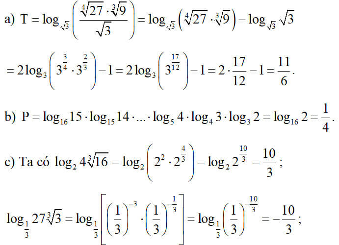
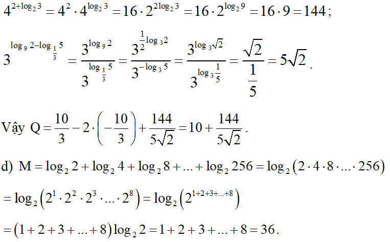
Bài 5. Tính:
Hướng dẫn giải
Bài 6. Tính giá trị của các biểu thức sau:
Hướng dẫn giải
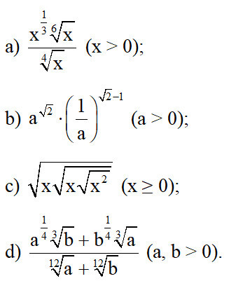
Bài 7. Rút gọn các biểu thức sau:
Hướng dẫn giải
Bài 8.
a) Cho các số thực dương a, b thỏa mãn . Tính .
b) Đặt biểu diễn theo a và b.
Hướng dẫn giải
Bài 9. Để tính độ tuổi của mẫu vật bằng gỗ, người ta đo độ phóng xạ của có trong mẫu vật tại thời điểm t (năm) (so với thời điểm ban đầu t = 0), sau đó sử dụng công thức tính độ phóng xạ (đơn vị là Becquerel, kí hiệu Bq) với H0 là độ phóng xạ ban đầu (tại thời điểm t = 0); là hằng số phóng xạ, T = 5730 (năm) (Nguồn: Vật lí 12 Nâng cao, NXBGD Việt Nam, 2014). Khảo sát một mẫu gỗ cổ, các nhà khoa học đo được độ phóng xạ là 0,215 Bq. Biết độ phóng xạ của mẫu gỗ tươi cùng loại là 0,250 Bq. Xác định độ tuổi của mẫu gỗ cổ đó (làm tròn kết quả đến hàng đơn vị).
Hướng dẫn giải
Gọi t là độ tuổi của mẫu gỗ cổ.
Vậy độ tuổi của mẫu gỗ cổ đó xấp xỉ 1247 năm.
Bài 10.
a) Vẽ đồ thị hàm số .
b) Vẽ đồ thị của hàm số .
Hướng dẫn giải
a) Tập xác định:
Do nên hàm số đồng biến trên
Bảng giá trị:
Đồ thị hàm số đi qua các điểm có toạ độ theo bảng giá trị và nằm phía trên trục hoành.
Từ đó, ta vẽ được đồ thị hàm số như hình dưới đây.
b) Lập bảng giá trị của hàm số tại một số điểm như sau:
Từ đó, ta vẽ được đồ thị của hàm số như hình sau:
Bài 11. Tìm tập xác định của các hàm số sau:
a)
b)
Hướng dẫn giải
a) Tập xác định của hàm số là
b) Hàm số xác định khi hay
Vậy tập xác định của hàm số là
Bài 12. Sau khi bệnh nhân uống một liều thuốc, lượng thuốc còn lại trong cơ thể giảm dần và được tính theo công thức , trong đó D0 và a là các hằng số dương, t là thời gian tính bằng giờ kể từ thời điểm uống thuốc.
a) Tại sao có thể khẳng định rằng 0 < a < 1?
b) Biết rằng bệnh nhân đã uống 100 mg thuốc và sau 1 giờ thì lượng thuốc trong cơ thể còn 80 mg. Hãy xác định giá trị của D0 và a.
c) Sau 5 giờ, lượng thuốc đã giảm đi bao nhiêu phần trăm so với lượng thuốc ban đầu?
Hướng dẫn giải
a) Do lượng thuốc trong cơ thể giảm dần, nên hàm số D(t) nghịch biến, mà D0 là hằng số dương, do đó 0 < a < 1.
b) Bệnh nhân đã uống 100 mg thuốc nên D0 = 100.
Vì sau 1 giờ thì lượng thuốc trong cơ thể còn 80 mg nên với t = 1, ta có:
D(1) = 100a1 = 80, suy ra
c) Sau 5 giờ, lượng thuốc còn . Tỉ lệ lượng thuốc đã giảm so với lượng thuốc ban đầu là
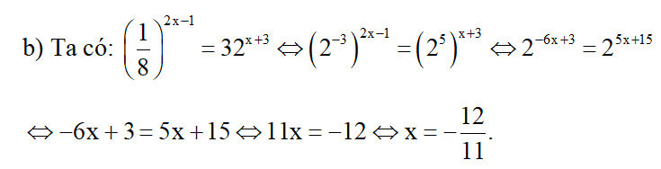
Bài 13. Giải các phương trình sau:
Hướng dẫn giải
Vậy phương trình có nghiệm duy nhất là
Vậy phương trình có nghiệm duy nhất là
c) Điều kiện: x > 1.
Giải phương trình trên ta được x = – 1 (không thỏa mãn) và x = 4 (thỏa mãn điều kiện).
Vậy phương trình đã cho có nghiệm là x = 4.
Vậy phương trình đã cho có nghiệm là x = –1.
Bài 14. Giải các phương trình sau:
Hướng dẫn giải
Vậy nghiệm của phương trình đã cho là
Giải phương trình bậc hai này ta được hai nghiệm . Chỉ có nghiệm x= -1 thoả mãn điều kiện.
Vậy nghiệm của phương trình đã cho là x= -1.
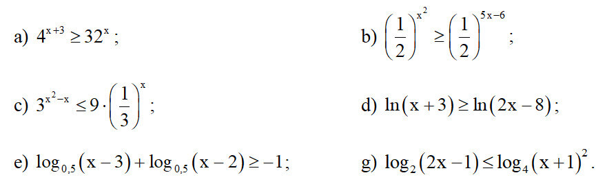
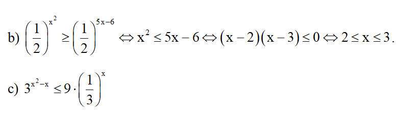
Bài 15. Giải các bất phương trình sau:
Hướng dẫn giải
Vậy tập nghiệm của bất phương trình là
Bất phương trình đã cho có thể viết ở dạng:
Vì cơ số 3 > 1 nên bất phương trình trở thành , hay
Giải bất phương trình này, ta được
Vậy tập nghiệm của bất phương trình đã cho là
Vậy tập nghiệm của bất phương trình là
e)
Điều kiện: x > 3.
Khi đó, bất phương trình đã cho được viết lại thành
Vì cơ số 0,5 < 1 nên bất phương trình trở thành (x – 3)(x – 2) ≤ 2, hay
Giải bất phương trình bậc hai này, ta được 1 ≤ x ≤ 4.
Kết hợp với điều kiện, ta được nghiệm của bất phương trình là 3 < x ≤ 4.
Kết hợp với điều kiện, ta được:
Bài 16. Một người gửi ngân hàng 100 triệu đồng theo hình thức lãi kép có kì hạn là 12 tháng với lãi suất là 6%/ năm. Để có được số tiền cả gốc và lãi nhiều hơn 130 triệu đồng thì người đó phải gửi ít nhất bao nhiêu năm? Biết rằng lãi suất không thay đổi qua các năm và người đó không rút tiền ra trong suốt quá trình gửi.
Hướng dẫn giải
Gọi x là số năm người đó gửi tiền trong ngân hàng.
Số tiền cả gốc và lãi người đó có được sau x năm được tính bởi công thức:
Để có được số tiền cả gốc và lãi nhiều hơn 130 triệu đồng thì
Do kì hạn gửi là 12 tháng nên để rút được số tiền cả gốc và lãi nhiều hơn 130 triệu đồng thì người đó phải gửi ít nhất 5 năm.
Học tốt Toán 11 Chương 6
Các bài học để học tốt Tổng hợp lý thuyết Toán 11 Chương 6 Toán lớp 11 hay khác:
(199k) Xem Khóa học Toán 11 KNTT
Xem thêm tóm tắt lý thuyết Toán lớp 11 Kết nối tri thức hay, chi tiết khác:
Lý thuyết Toán 11 Bài 21: Phương trình, bất phương trình mũ và lôgarit
Lý thuyết Toán 11 Bài 23: Đường thẳng vuông góc với mặt phẳng
Lý thuyết Toán 11 Bài 24: Phép chiếu vuông góc. Góc giữa đường thẳng và mặt phẳng
Xem thêm các tài liệu học tốt lớp 11 hay khác:
- Giải sgk Toán 11 Kết nối tri thức
- Giải Chuyên đề học tập Toán 11 Kết nối tri thức
- Giải SBT Toán 11 Kết nối tri thức
- Giải lớp 11 Kết nối tri thức (các môn học)
- Giải lớp 11 Chân trời sáng tạo (các môn học)
- Giải lớp 11 Cánh diều (các môn học)
Tủ sách VIETJACK shopee lớp 10-11 (cả 3 bộ sách):
Đã có app VietJack trên điện thoại, giải bài tập SGK, SBT Soạn văn, Văn mẫu, Thi online, Bài giảng....miễn phí. Tải ngay ứng dụng trên Android và iOS.
Theo dõi chúng tôi miễn phí trên mạng xã hội facebook và youtube:Nếu thấy hay, hãy động viên và chia sẻ nhé! Các bình luận không phù hợp với nội quy bình luận trang web sẽ bị cấm bình luận vĩnh viễn.
- Soạn văn 11 (hay nhất) - KNTT
- Soạn văn 11 (ngắn nhất) - KNTT
- Giải sgk Toán 11 - KNTT
- Giải Tiếng Anh 11 Global Success
- Giải sgk Tiếng Anh 11 Smart World
- Giải sgk Tiếng Anh 11 Friends Global
- Giải sgk Vật Lí 11 - KNTT
- Giải sgk Hóa học 11 - KNTT
- Giải sgk Sinh học 11 - KNTT
- Giải sgk Lịch Sử 11 - KNTT
- Giải sgk Địa Lí 11 - KNTT
- Giải sgk Giáo dục KTPL 11 - KNTT
- Giải sgk Tin học 11 - KNTT
- Giải sgk Công nghệ 11 - KNTT
- Giải sgk Hoạt động trải nghiệm 11 - KNTT
- Giải sgk Giáo dục quốc phòng 11 - KNTT
- Giải sgk Âm nhạc 11 - KNTT


Giải bài tập SGK & SBT
Tài liệu giáo viên
Sách
Khóa học
Thi online
Hỏi đáp

