Câu hỏi khởi động trang 17 Toán 12 Tập 2 Cánh diều
Giải Toán 12 Bài 3: Tích phân - Cánh diều
Câu hỏi khởi động trang 17 Toán 12 Tập 2: Họa sĩ thiết kế logo hình con cá cho một doanh nghiệp kinh doanh hải sản. Logo là hình phẳng giới hạn bởi hai parabol với các kích thước được cho trong Hình 3 (đơn vị trên mỗi trục tọa độ là decimét).
Làm thế nào để tính diện tích của logo?
Lời giải:
Sau bài học này ta giải quyết được bài toán trên như sau:
Để tính được diện tích của logo ta cần xác định các hàm số f(x) và g(x), sau đó sử dụng tích phân để tính diện tích hình phẳng giới hạn bởi các đồ thị hàm số f(x), g(x) và hai đường thẳng x = – 5, x = 4.
Vì f(x), g(x) là các parabol nên gọi f(x) = ax2 + bx + c (a ≠ 0) và g(x) = a'x2 + b'x + c' (a' ≠ 0).
Quan sát Hình 3, ta thấy:
+ Đồ thị hàm số y = f(x) đi qua các điểm (0; 2), (4; 0) và (– 4; 0) nên
Suy ra .
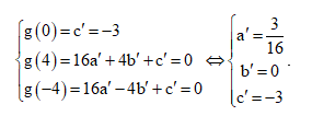
+ Đồ thị hàm số y = g(x) đi qua các điểm (0; – 3), (4; 0) và (– 4; 0) nên
Suy ra .
Diện tích của logo là:
Lời giải bài tập Toán 12 Bài 3: Tích phân hay, chi tiết khác:
Bài 2 trang 26 Toán 12 Tập 2: Tích phân có giá trị bằng:....
Bài 3 trang 26 Toán 12 Tập 2: Tích phân có giá trị bằng:....
Xem thêm lời giải bài tập Toán lớp 12 Cánh diều hay, chi tiết khác:
Xem thêm các tài liệu học tốt lớp 12 hay khác:
- Giải sgk Toán 12 Cánh diều
- Giải Chuyên đề học tập Toán 12 Cánh diều
- Giải SBT Toán 12 Cánh diều
- Giải lớp 12 Cánh diều (các môn học)
- Giải lớp 12 Kết nối tri thức (các môn học)
- Giải lớp 12 Chân trời sáng tạo (các môn học)
Đã có app VietJack trên điện thoại, giải bài tập SGK, SBT Soạn văn, Văn mẫu, Thi online, Bài giảng....miễn phí. Tải ngay ứng dụng trên Android và iOS.
Theo dõi chúng tôi miễn phí trên mạng xã hội facebook và youtube:Nếu thấy hay, hãy động viên và chia sẻ nhé! Các bình luận không phù hợp với nội quy bình luận trang web sẽ bị cấm bình luận vĩnh viễn.
- Soạn văn 12 Cánh diều (hay nhất)
- Soạn văn 12 Cánh diều (ngắn nhất)
- Giải sgk Toán 12 Cánh diều
- Giải Tiếng Anh 12 Global Success
- Giải sgk Tiếng Anh 12 Smart World
- Giải sgk Tiếng Anh 12 Friends Global
- Giải sgk Vật Lí 12 - Cánh diều
- Giải sgk Hóa học 12 - Cánh diều
- Giải sgk Sinh học 12 - Cánh diều
- Giải sgk Lịch Sử 12 - Cánh diều
- Giải sgk Địa Lí 12 - Cánh diều
- Giải sgk Giáo dục KTPL 12 - Cánh diều
- Giải sgk Tin học 12 - Cánh diều
- Giải sgk Công nghệ 12 - Cánh diều
- Giải sgk Hoạt động trải nghiệm 12 - Cánh diều
- Giải sgk Giáo dục quốc phòng 12 - Cánh diều
- Giải sgk Âm nhạc 12 - Cánh diều


Giải bài tập SGK & SBT
Tài liệu giáo viên
Sách
Khóa học
Thi online
Hỏi đáp

