Bài tập tổng hợp về hàm số bậc nhất lớp 10 chọn lọc
Bài viết Bài tập tổng hợp về hàm số bậc nhất lớp 10 với phương pháp giải chi tiết giúp học sinh ôn tập, biết cách làm bài tập tổng hợp về hàm số bậc nhất lớp 10.
Bài tập tổng hợp về hàm số bậc nhất lớp 10 chọn lọc
(199k) Xem Khóa học Toán 10 KNTTXem Khóa học Toán 10 CDXem Khóa học Toán 10 CTST
Bài 1: Cho hàm số bậc nhất có đồ thị là đường thẳng d. Tìm hàm số đó biết:
a) d đi qua A(1; 1), B (3; -2)
b) d đi qua C (2; -2) và song song với Δ: x - y + 1 = 0
c) d đi qua M(1; 2) và cắt hai tia Ox, Oy tại P, Q sao cho tam giác OPQ cân tại O.
d) d đi qua N(1; -1) và d ⊥ d' với d':y = -x + 3.
Bài 2: Tìm m để ba đường thẳng d: y = 2x,d': y = -x + 6,
d": y = m2x + 5m + 3 phân biệt đồng quy.
Bài 3: Cho đồ thị hàm số có đồ thị (C) (hình vẽ)
a) Hãy lập bảng biến thiên của hàm số trên [-3;3]
b) Tìm giá trị lớn nhất và nhỏ nhất của hàm số trên [-2;2]
Bài 4: Vẽ đồ thị hàm số y = 2x - 3. Từ đó suy ra đồ thị của:
(C1 ): y = 2|x| - 3
(C2 ): y = |2x - 3|
(C3 ): y = |2|x| - 3|
Bài 5: a) Lập bảng biến thiên của hàm số:
b) Biện luận số giao điểm của đồ thị hàm số trên với đường thẳng y = m theo m.
Bài 6: ChoChứng minh:
0 ≤ xy + yz + zx - 2xyz ≤ 7/27
Bài 7: Chứng minh rằng với ∀ m ≤ 1 thì x2 - 2(3m-1)x + m + 3 ≥ 0 ∀ x ∈ [1;+∞)
Đáp án và hướng dẫn giải
Bài 1: Gọi hàm số cần tìm là y = ax + b, a ≠ 0
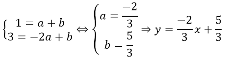
a) Vì A ∈ d,B ∈ d nên ta có hệ phương trình:
b) Ta có Δ:y = x + 1. Vì d // Δ nên
Mặt khác C ∈ d ⇒ -2 = 2a + b ⇒ b = -4
Vậy hàm số cần tìm là y = x – 4.
c) Đường thẳng d cắt tia Ox tại P(-b/a; 0) và cắt tia Oy tại Q(0; b) với a < 0; b > 0.
Tam giác OPQ cân tại O ⇔ OP = OQ
Ta có: M ∈ d ⇒ 2 = a + b ⇒ b = 3
Vậy hàm số cần tìm là y = -x + 3.
d) Đường thẳng d đi qua N (1; -1) nên -1 = a + b
Và d ⊥ d' ⇒ a = 1 suy ra b = -2.
Vậy hàm số cần tìm là y = x – 2.
Bài 2: Tọa độ giao điểm (nếu có) của hai đường thẳng d, d’ là nghiệm của hệ phương trìnhsuy ra d, d’ cắt nhau tại M (2; 4)
Vì ba đường thẳng d, d’, d’’ đồng quy nên M ∈ d" ta có:
4 = 2m2 + 5m + 3 ⇔ 2m2 + 5m - 1 = 0
⇔
Dễ thấy vớiba đường thẳng đó phân biệt và đồng quy
Vậylà giá trị cần tìm.
Bài 3:
a) Bảng biến thiên của hàm số trên [-3; 3]
b) Dựa vào đồ thị hàm số đã cho ta có:
Bài 4: Đồ thị hàm số y = 2x – 3 đi qua A(0; -3), B (2; 1) ta gọi là (C)
+ Khi đó đồ thị hàm số (C1 ): y = 2|x| - 3 là phần được xác định như sau
Ta giữ nguyên đồ thị (C) ở bên phải trục tung; lấy đối xứng đồ thị (C) ở phần bên phải trục tung qua trục tung.
+ (C2 ): y = |2x - 3| là phần đồ thị (C) nằm phía trên trục hoành và đồ thị lấy đối xứng qua trục hoành của phần nằm trên trục hoành của(C).
+ (C3 ): y = |2|x| - 3| là phần đồ thị (C1 ) nằm phái trên trục hoành và đồ thị lấy đối xứng qua trục hoành của phần nằm trên trục hoành của (C1 ).
Bài 5:
a) Ta có
Bảng biến thiên:
b) Dựa vào bảng biến thiên của hàm số:ta có số giao điểm của nó với đường thẳng y = m như sau:
Với m > 1 thì có không giao điểm
Với m = 1 thì có một giao điểm
Với -5 < m < 1 thì có hai giao điểm
Với m < -5 thì có một giao điểm.
Bài 6: Từ giả thiết ta có x,y,z ∈ [0;1]
⇒ xy + yz + zx - 2xyz = xy + yz(1-x) + zx(1-y) ≥ 0
Cũng từ giả thiết ta suy ra:
Mặt khác ta lại có
xy + yz + zx - 2xyz ≤ 7/27 ⇔ f(yz) = (1-2x)yz + x(1-x) - 7/27 ≤ 0 (2)
Khi đó ta thấy rằng
Nếu x = 1/2 khi đó BĐT (2) thành (-1)/108 (hiển nhiên đúng).
Nếu x ≠ 1/2 thì f(yz) là hàm số bậc nhất. Do đó để chứng minh f(yz) ≤ 0 ta chỉ cần
Vậy f(yz) ≤ 0, ta có điều phải chứng minh.
Bài 7:
Ta có x2 - 2(3m-1)x + m + 3 ≥ 0
⇔ f(m) = (-6x+1)m + x2 + 2x + 3 ≥ 0
Ta thấy f(m) là hàm số bậc nhất có hệ số của m là -6x + 1 < 0 (do x ∈ [1;+∞)). Khi đó: f(m) là hàm nghịch biến ⇒ f(m) ≥ f(1) với ∀ m ≤ 1. Tức là ta có :
x2 - 2(3m-1)x + m + 3 ≥ (x-2)2 ≥ 0 (đúng với ∀ x ∈ [1;+∞)).
Để học tốt lớp 10 các môn học sách mới:
- Giải bài tập Lớp 10 Kết nối tri thức
- Giải bài tập Lớp 10 Chân trời sáng tạo
- Giải bài tập Lớp 10 Cánh diều
Tủ sách VIETJACK shopee lớp 10-11 (cả 3 bộ sách):
Đã có app VietJack trên điện thoại, giải bài tập SGK, SBT Soạn văn, Văn mẫu, Thi online, Bài giảng....miễn phí. Tải ngay ứng dụng trên Android và iOS.
Theo dõi chúng tôi miễn phí trên mạng xã hội facebook và youtube:Nếu thấy hay, hãy động viên và chia sẻ nhé! Các bình luận không phù hợp với nội quy bình luận trang web sẽ bị cấm bình luận vĩnh viễn.
- Giải Tiếng Anh 10 Global Success
- Giải Tiếng Anh 10 Friends Global
- Giải sgk Tiếng Anh 10 iLearn Smart World
- Giải sgk Tiếng Anh 10 Explore New Worlds
- Lớp 10 - Kết nối tri thức
- Soạn văn 10 (hay nhất) - KNTT
- Soạn văn 10 (ngắn nhất) - KNTT
- Soạn văn 10 (siêu ngắn) - KNTT
- Giải sgk Toán 10 - KNTT
- Giải sgk Vật lí 10 - KNTT
- Giải sgk Hóa học 10 - KNTT
- Giải sgk Sinh học 10 - KNTT
- Giải sgk Địa lí 10 - KNTT
- Giải sgk Lịch sử 10 - KNTT
- Giải sgk Kinh tế và Pháp luật 10 - KNTT
- Giải sgk Tin học 10 - KNTT
- Giải sgk Công nghệ 10 - KNTT
- Giải sgk Hoạt động trải nghiệm 10 - KNTT
- Giải sgk Giáo dục quốc phòng 10 - KNTT
- Lớp 10 - Chân trời sáng tạo
- Soạn văn 10 (hay nhất) - CTST
- Soạn văn 10 (ngắn nhất) - CTST
- Soạn văn 10 (siêu ngắn) - CTST
- Giải Toán 10 - CTST
- Giải sgk Vật lí 10 - CTST
- Giải sgk Hóa học 10 - CTST
- Giải sgk Sinh học 10 - CTST
- Giải sgk Địa lí 10 - CTST
- Giải sgk Lịch sử 10 - CTST
- Giải sgk Kinh tế và Pháp luật 10 - CTST
- Giải sgk Hoạt động trải nghiệm 10 - CTST
- Lớp 10 - Cánh diều
- Soạn văn 10 (hay nhất) - Cánh diều
- Soạn văn 10 (ngắn nhất) - Cánh diều
- Soạn văn 10 (siêu ngắn) - Cánh diều
- Giải sgk Toán 10 - Cánh diều
- Giải sgk Vật lí 10 - Cánh diều
- Giải sgk Hóa học 10 - Cánh diều
- Giải sgk Sinh học 10 - Cánh diều
- Giải sgk Địa lí 10 - Cánh diều
- Giải sgk Lịch sử 10 - Cánh diều
- Giải sgk Kinh tế và Pháp luật 10 - Cánh diều
- Giải sgk Tin học 10 - Cánh diều
- Giải sgk Công nghệ 10 - Cánh diều
- Giải sgk Hoạt động trải nghiệm 10 - Cánh diều
- Giải sgk Giáo dục quốc phòng 10 - Cánh diều


Giải bài tập SGK & SBT
Tài liệu giáo viên
Sách
Khóa học
Thi online
Hỏi đáp

