120 Bài tập Cực trị của hàm số có lời giải (nâng cao - Phần 4)
Với 120 Bài tập Cực trị của hàm số nâng cao có lời giải chi tiết sẽ giúp học sinh ôn tập, biết cách làm Bài tập Cực trị của hàm số.
120 Bài tập Cực trị của hàm số có lời giải (nâng cao - Phần 4)
(199k) Xem Khóa học Toán 12 KNTTXem Khóa học Toán 12 CDXem Khóa học Toán 12 CTST
Bài giảng: Các dạng bài tìm cực trị của hàm số - Cô Nguyễn Phương Anh (Giáo viên VietJack)
Câu 91: Cho hàm số y = 1/3.x3 - mx2 + (2m - 1)x - 3 (Cm), với m là tham số. Xác định tất cả giá trị của m để cho đồ thị hàm số (Cm) có điểm cực đại và cực tiểu nằm cùng một phía đối với trục trung?
A. m ∈ (1/2; +∞)\{1} B. 0 < m < 2
C. m ≠ 1 D. -1/2 < m < 1
Lời giải:
Ta có y' = x2 - 2mx + 2m – 1.
Để đồ thị hàm số đã cho có điểm cực đại, cực tiểu nằm về cùng một phía đối với trục tung khi và chỉ khi phương trình y' = 0 có 2 nghiệm phân biệt x1, x2 và cùng dấu với nhau.
Suy ra chọn đáp án A.
Câu 92: Tìm tất cả các giá trị thực của tham số a sao cho hàm số y = 1/3.x3 - 1/2.x2 + ax + 1 đạt cực trị tại x1, x2 thỏa mãn: (x12 + x2 + 2a)(x22 + x1 + 2a) = 9.
A. a = 2 B. a = -4
C. a = -3 D. a = -1
Lời giải:
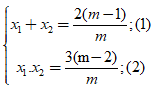
⇒ x12 + x22 = (x1 + x2)2 - 2x1x2 = 1 - 2a
x13 + x23 = (x1 + x2)[(x1 + x2)2 - 3x1x2] = 1 - 3a
Để thỏa yêu cầu bài toán ta phải có: Δ = 0 và
4a2 + (2x12 + 2x22 + 2x1 + 2x2)a + x12.x22 + x13 + x23 + x1x2 - 9 = 0
Suy ra chọn đáp án B.
Câu 93: Cho hàm số y = |x|3 – mx + 5, m là tham số. Hỏi hàm số đã cho có nhiều nhất bao nhiêu điểm cực trị
A. 3 B. 1
C. 2 D. 4
Lời giải:
Ta có: y = √(x6) - mx + 5
Suy ra:
và hàm số không có đạo hàm tại x = 0 .
* TH1: m = 0.
Ta có:
vô nghiệm và hàm số không có đạo hàm tại x = 0.
Do đó hàm số có đúng một cực trị.
* TH2: m > 0.
Ta có: y' = 0 ⇔ 3x5 = m|x|3
Bảng biến thiên
Do đó hàm số có đúng một cực trị.
* TH3: m < 0.
Ta có: y' = 0 ⇔ 3x5 = m|x|3
Do đó hàm số có đúng một cực trị.
Vậy trong mọi trường hợp hàm số có đúng một cực trị với mọi tham số m.
Suy ra chọn đáp án B.
Câu 94: Tìm tất cả m sao cho điểm cực tiểu của đồ thị hàm số y = x3 + x2 + mx - 1 nằm bên phải trục tung.
A. Không tồn tại m B. 0 < m < 1/3
C. m < 1/3 D. m < 0
Lời giải:
* Để hàm số có cực tiểu, tức hàm số có hai cực trị thì phương trình y' = 0 có hai nghiệm phân biệt
⇔ 3x2 + 2x + m = 0 (1) có hai nghiệm phân biệt.
Ta có: Δ' = 1 - 3m > 0 ⇔ m < 1/3
* Khi đó có hai nghiệm phân biệt xCĐ, xCT là hoành độ hai điểm cực trị.
Theo định lí Viet ta có:
trong đó xCĐ < xCT vì hệ số của x3 lớn hơn 0.
* Để cực tiểu của đồ thị hàm số nằm bên phải trục tung thì phải có: xCT > 0, kết hợp (2) và (3) suy ra (1) có hai nghiệm trái dấu ⇔ xCĐ.xCT = m/3 < 0 ⇔ m < 0
Suy ra chọn đáp án D.
Câu 95: Với giá trị nào của m thì hai điểm cực đại và cực tiểu của đồ thị hàm số
y = x3 + 3x2 + mx + m - 2 nằm về hai phía so với trục hoành?
A. m > 3 B. m > 2
C. m < 3 D. 2 < m < 3
Lời giải:
Ta có: y' = 3x2 + 6x + m.
Hàm số có hai điểm cực đại và cực tiểu nên phương trình y' = 0 có 2 nghiệm phân biệt.
Do đó Δ' = 9 - 3m > 0 ⇔ m < 3
Gọi x1, x2 là điểm cực trị của hàm số và y1, y2 là các giá trị cực trị tương ứng.
Ta có: y = x3 + 3x2 + mx + m - 2
Tại 2 điểm cực trị đạo hàm bằng 0 nên y1 = k.(x1 + 1) và y2 = k.(x2 + 1) trong đó k = 2/3.m - 2
Để hai điểm cực trị nằm về hai phía so với trục hoành:
⇔ y1.y2 ⇔ k2(x1 + 1)(x2 + 1) < 0 ⇔ x1x2 + x1 + x2 + 1 < 0 ⇔ m/3 - 2 + 1 < 0 ⇔ m < 3
Vậy m < 3 thỏa mãn bài toán.
Suy ra chọn đáp án C.
Câu 96: Tìm tất cả các giá trị của m để đường thẳng đi qua điểm cực đại, cực tiểu của đồ thị hàm số y = x3 – 3mx + 2 cắt đường tròn tâm I(1; 1), bán kính bằng 1 tại 2 điểm phân biệt A, B sao cho diện tích tam giác IAB đạt giá trị lớn nhất.
Lời giải:
Ta có y' = 3x2 – 3m nên y' = 0 khi x2 = m.
Đồ thị hàm số y = x3 - 3mx + 2 có hai điểm cực trị khi và chỉ khi m > 0.
Ta có: y = x3 - 3mx + 2 = 1/3.x(3x2 - 3m) - 2mx + 2 = 1/3.xy' - 2mx + 2
Đường thẳng đi qua hai điểm cực trị của đồ thị hàm số đã cho có phương trình: Δ: y= - 2mx + 2
Ta có: SΔIAB = 1/2.IA.IB.sin AIB = 1/2.sin AIB ≤ 1/2
Diện tích tam giác IAB lớn nhất bằng 1/2 khi ∠AIB = 1 ⇔ AI ⊥ BI.
Gọi H là trung điểm AB ta có:
Mà
Suy ra:
⇔ 8m2 - 16m + 2 = 0
Suy ra chọn đáp án A.
Câu 97: Tìm tất cả các giá trị thực của tham số m để đồ thị hàm số:
y = 2/3.x3 - mx2 - 2(3m2 - 1)x + 2/3 có hai điểm cực trị có hoành độ x1, x2 sao cho: x1.x2 + 2.(x1 + x2) = 1.
A. m = 0 B. m = -2/3
C. m = 2/3 D. m = -1/2
Lời giải:
Ta có: y' = 2x2 - 2mx - 2(3m2 - 1) = 2(x2 – mx - 3m2 + 1)
Để hàm số có hai điểm cực trị khi và chỉ khi y' = 0 có hai nghiệm phân biệt nên
Δ = 52m2 - 16 = 4(13m2 - 4) > 0
Gọi x1, x2 là các nghiệm của g(x) nên theo định lý Vi-ét ta có:
Do đó: x1x2 + 2(x1 + x2) = 1 ⇔ -3m2 + 2m + 1 = 1
⇔ -3m2 + 2m = 0
Đối chiếu với điều kiện (1) ta thấy chỉ m = 2/3 thỏa mãn yêu cầu bài toán.
Suy ra chọn đáp án C.
Câu 98: Cho hàm số y = x4 – 2(1 - m2)x2 + m + 1. Tìm tất cả các giá trị của tham số thực để hàm số có cực đại, cực tiểu và các điểm cực trị của đồ thị hàm số lập thành tam giác có diện tích lớn nhất .
A. m = -1/2 B. m = 1/2
C. m = 0 D. m = 1
Lời giải:
Ta có: y' = 4x3 – 4(1 - m2)x
Hàm số có cực đại, cực tiểu khi và chỉ khi: |m| < 1
Tọa độ điểm cực trị:
A(0, m + 1),
Phương trình đường thẳng BC: y = -m4 + 2m2 + m hay y + m4 – 2m2 – m = 0
Vậy S đạt giá trị lớn nhất khi và chỉ khi m = 0 .
Suy ra chọn đáp án C.
Câu 99: Tìm tất cả các giá trị thực của tham số m để đồ thị hàm số y = 2x3 – 3(m + 1)x2 + 6mx có hai điểm cực trị A, B sao cho đường thẳng AB vuông góc với đường thẳng: y = x + 2
Lời giải:
Ta có: y = 6x2 - 6(m + 1)x + 6m
Điều kiện để hàm số có 2 điểm cực trị là phương trình y' = 0 có hai nghiệm phân biệt nên m ≠ 1
Tọa độ hai điểm cực trị là A(1, 3m - 1), B (m, -m3 + 3m2)
Đường thẳng AB :
qua A(1, 3m - 1), VTCP AB− (m - 1; -m3 + 3m2 - 3m + 1) ⇒ VTPT n−((m-1)2; 1)
Phương trình AB: (m - 1)2x + y = 0 hay y = -(m - 1)2x
Để đường thẳng AB vuông góc với đường thẳng y = x + 2 khi và chỉ khi :
Suy ra chọn đáp án C.
Câu 100: Tìm các giá trị của tham số m để đồ thị hàm số: y = x4 – 2m2x2 + m4 + 1 có ba điểm cực trị . Đồng thời ba điểm cực trị đó cùng với gốc O tạo thành 1 tứ giác nội tiếp.
A. m = 1 hoặc m = -1 B. m = 1
C. Không tồn tại m. D. m = -1
Lời giải:
Đạo hàm y' = 4x3 – 4m2x = 4x(x2 – m2)
Hàm số có 3 điểm cực trị khi m ≠ 0
Khi đó 3 điểm cực trị là: A(0, m4 + 1), B(-m; 1), C(m; 1)
Gọi I là tâm đường tròn ngoại tiếp( nếu có) của tứ giác ABOC. Do tính chất đối xứng, ta có: A, O, I thẳng hàng nên AO là đường kính của đường tròn ngoại tiếp (nếu có) của tứ giác ABOC.
Vậy AB ⊥ OB ⇔ AB−.OB− = 0
Kết hợp điều kiện m = 1 hoặc m = -1 (thỏa mãn).
Suy ra chọn đáp án A.
Câu 101: Với giá trị nào của tham số m thì hàm số y = mx4 + (m - 1)x2 + 1029 chỉ có đúng một cực trị?
Lời giải:
* Trường hợp 1: Nếu m = 0
Ta có hàm số: y = -x2, hàm số này có 1 cực trị.
Vậy m = 0 thỏa mãn.
* Trường hợp 2: Nếu m ≠ 0
Đạo hàm: y' = 4mx3 + 2(m - 1)x
Hàm số có đúng 1 cực trị
Kết hợp TH1 và TH2 ta có:
thỏa mãn.
Suy ra chọn đáp án C.
Câu 102: Với giá trị thực nào của tham số m thì hàm số y = (m + 2).x3 + 3x2 + mx - 6 có cực trị ?
A. m ∈ (-3;1)\{2} B. m ∈ (-3;1)
C. m ∈ (-∞; -3) ∪ (1; +∞) D. m ∈ [-3;1]
Lời giải:
Đạo hàm: y' = 3(m + 2)x2 + 6x + m
* Trường hợp 1: Nếu m = -2 khi đó hàm số trở thành: y = 3x2 – 2x
Đạo hàm y' = 6x - 2 và y'' = 6
Ta có y' = 0 ⇔ x = 1/3; y''(1/3) = 0
Nên điểm x = 1/3 là điểm cực tiểu của hàm số.
Vậy m = -2 thỏa mãn.
* Trường hợp 2. Nếu m ≠ -2
Hàm số có 2 cực trị khi và chỉ khi y' = 0 có hai nghiệm phân biệt.
⇔ m ∈ (-3; 1)\{-2}
Kết hợp hai trường hợp; các giá trị của m thỏa mãn là (-3; 1) .
Suy ra chọn đáp án B.
Câu 103: Các giá trị của tham số m để hàm số y = mx4 + (m2 – 4m + 3)x2 + m - 19 có ba điểm cực trị là:
A. m ∈ (-∞; 0) B. m ∈ (-∞ 0) ∪ (3; +∞)
C. m ∈ (-∞ 0) ∪ (1;3) D. m ∈ (1;3)
Lời giải:
Đạo hàm: y' = 4mx3 + 2(m2 – 4m + 3).x ( *)
Để hàm số có 3 cực trị khi và chỉ khi phương trình ( *) có 3 nghiệm phân biệt
⇔ m ∈ (-∞ 0) ∪ (1;3)
(áp dụng công thức tính nhanh: Hàm số y = ax4 + bx2 + c có ba cực trị ⇔ ab > 0).
Suy ra chọn đáp án C.
Câu 104: Tìm tất cả các giá trị thực của tham số m để hàm số y = (m + 1).x4 – mx2 + 100 chỉ có cực tiểu mà không có cực đại.
A. m < -1 B. -1 ≤ m ≤ 0
C. m > 1 D. -1 ≤ m < 0
Lời giải:
Ta xét hai trường hợp sau đây:
* TH1: Nếu m + 1 = 0 hay m = -1.
Khi đó y = x2 + 3/2 ⇒ hàm số chỉ có cực tiểu (tại x = 0) mà không có cực đại
⇒ m = -1 thỏa mãn yêu cầu bài toán.
* TH2: m + 1 ≠ 0 ⇔ m ≠ -1.
Khi đó hàm số đã cho là hàm số trùng phương ta có :
Hàm số chỉ có cực tiểu mà không có cực đại khi y' = 0 có đúng một nghiệm và đổi dấu từ âm sang dương khi x đi qua nghiệm này
Kết hợp những giá trị m tìm được, ta có -1 ≤ m ≤ 0.
Suy ra chọn đáp án B.
Câu 105: Giá trị của m để hàm số sau đạt cực đại tại x = 2 là:
A. m = - 1 B. m = -3
C. m = 1 D. m = 3
Lời giải:
Tập xác định D = R\{-m}.
Đạo hàm:
Để hàm số đã cho đạt cực đại tại x = 2 ⇒ y'(2) = 0
* TH1: nếu m= - 1
Khi đó:
Cho
Bảng biến thiên
Vậy hàm số đạt cực đại tại x = 0; yCĐ = -1 và đạt cực tiểu tại x = 2; yCT = 3
Suy ra trường hợp này bị loại.
* TH2: Nếu m = -3
Khi đó:
Cho
Bảng biến thiên
Vậy hàm số đạt cực đại tại x = 2 và đạt cực tiểu tại x = 4.
Vậy m = -3 thỏa mãn yêu cầu bài toán
Suy ra chọn đáp án B.
Câu 106: Tìm các giá trị của tham số m để đồ thị hàm số: y = x4 – 2m2x2 + 10 có ba điểm cực trị là ba đỉnh của một tam giác vuông cân.
A. m = -1 B. m ≠ 0
C. m = 1 D. m = 1 hoặc m = -1
Lời giải:
Đạo hàm y' = 4x3 – 4m2x
Xét phương trình y' = 0 ⇔ 4x.(x2 – m2) = 0
Để hàm số có 3 điểm cực trị khi và chỉ khi phương trình y’= 0 có 3 nghiệm phân biệt ⇔ m ≠ 0
Khi đó 3 điểm cực trị của đồ thị hàm số là: A(0;1), B(m; 1 - m4), C(-m; 1 - m4)
Do tính chất đối xứng, ta có tam giác ABC cân tại đỉnh A.
Vậy tam giác ABC chỉ có thể vuông cân tại đỉnh A
Kết hợp điều kiện ta có: m = 1 hoặc m = -1 (thỏa mãn).
Lưu ý: có thể sử dụng công thức
Suy ra chọn đáp án D.
Câu 107: Tìm tất các giá trị thực của tham số m để hàm số:
y = 1/3.x3 + (m + 3).x2 + 4(m + 3)x + m2 - 10m đạt cực trị tại x1, x2 thỏa mãn -1 < x1 < x2
A. m > -3 B. -3 < m < 1
C. 1 < m < 4 D. -7/2 < m < -3
Lời giải:
Đạo hàm: y' = x2 + 2(m + 3) + 4(m + 3)
Giả sử phương trình y' = 0 có 2 nghiệm phân biệt, theo hệ thức Vi- et ta có:
Để hàm số đã cho đạt cực trị tại x1, x2 và thỏa mãn -1 < x1 < x2 khi và chỉ khi phương trình y' = 0 có hai nghiệm phân biệt x1, x2 và thỏa mãn -1 < x1 < x2.
Suy ra chọn đáp án D.
Câu 108: Tìm các giá trị của tham số m để đồ thị hàm số y = 2x3 + 3(m - 3)x2 + 11 – 3m có hai điểm cực trị. Đồng thời hai điểm cực trị đó và điểm C(0; -1) thẳng hàng .
A. m = 4 B. m = 1
C. m = -3 D. m = 2
Lời giải:
Đạo hàm y' = 6x2 + 6(m - 3)x
Xét phương trình y' = 0
Hàm số có 2 cực trị khi và chỉ khi: 3 - m ≠ 0 ⇔ m ≠ 3
Khi đó đồ thị hàm số đã cho có 2 điểm cực trị A(0; 11 - 3m) và B(3 - m; m3 – 9m2 + 24m – 16)
Và AB−(3 - m; (3 - m)3)
Phương trình đường thẳng AB là: (3 - m)2 x + y – 11 + 3m = 0
Để ba điểm A, B và C thẳng hàng thì điểm C thuộc đường thẳng AB nên ta có: -1 – 11 + 3m = 0 ⇔ m = 4.
Suy ra chọn đáp án A.
Câu 109: Tìm tất cả các giá trị thực của tham số m để đồ thị hàm số y = x3 – 3mx2 + 3m3 có hai điểm cực trị A và B sao cho tam giác OAB có diện tích bằng 48.
A. m = 2 hoặc m = 0 B. m = 2
C. m = -2 D. m = 2 hoặc m = -2
Lời giải:
Đạo hàm: y' = 3x2 – 6mx = 3x(x - 2m)
Xét phương trình
Đồ thị hàm số có hai điểm cực trị khi và chỉ khi: 2m ≠ 0 ⇔ m ≠ 0. (1)
Khi đó, các điểm cực trị của đồ thị hàm số là A(0; 3m3) và B(2m; -m3).
Ta có: OA−(0; 3m3) ⇒ OM = 3|m3|. (2)
Ta thấy A ∈ Oy ⇒ OA ≡ Oy ⇒ d(B; OA) = d(B; Oy) = 2.|m| (3)
Từ (2) và (3) suy ra SOAB = 1/2.OA.d(B;OA) = 3m4
Do đó: SOAB = 48 khi 3m4 = 48 ⇔ m = 2 hoặc m = -2 (thỏa mãn (1) ).
Suy ra chọn đáp án D.
Câu 110: Cho hàm số y = x4 – 2m2x2 – 1 ( C). Có bao nhiêu giá trị của m để hàm số có ba điểm cực trị là ba đỉnh của một tam giác vuông cân:
A. 0 B. 1
C. 2 D. 3
Lời giải:
- Có đạo hàm y' = 4x3 - 4m2x = 4x.(x2 – m2)
Xét phương trình:
- Để hàm số có ba điểm cực trị thì phương trình y' = 0 phải có ba nghiệm phân biệt hay phương trình (*) có hai nghiệm phân biệt khác 0 ⇔ m ≠ 0
Vậy với m ≠ 0 thì hàm số có 3 cực trị.
- Tiếo theo, ta tìm m để ba điểm cực trị này tạo thành 3 đỉnh của một tam giác vuông cân.
- Vì y là hàm trùng phương nên tam giác ABC cân (giả sử cân tại A).
- Gọi 3 điểm cực trị là: A(0;-1); B(-m; -1 - m4) và C(m; -1 - m4)
AB−(-m; -m4), AC−(m; -m4)
- Để ABC vuông cân thì AB vuông góc với AC.
Suy ra chọn đáp án C.
Câu 111: Xác định m để hàm số sau có cực đại và cực tiểu nằm về hai phía của đường thẳng (d): 9x – 7y – 1 = 0 .
A. -3 < m < 9/7 B. 3/7 < m < 9
C. m > -3 D. m > 9
Lời giải:
- TXĐ: D = R\ {1}.
- Tính
Phương trình y' = 0 có nghiệm x = 4; x = -2
- Gọi A và B là hai điểm cực đại và cực tiểu của đồ thị hàm số:
⇒ A(-2; m – 4); B(4; m + 8)
- Để A và B nằm về hai phía của đường thẳng (d) thì:
⇔ (9xA - 7yA - 1).(9xB – 7xB - 1) < 0
⇔ (9 - 7m).(21 + 7m) > 0 nên -3 < m < 9/7
Suy ra chọn đáp án A.
Câu 112: Cho hàm số y = 1/3.mx3 - (m - 1)x2 + 3(m - 2)x + 1/3. Tìm m để hàm số đạt cực đại, cực tiểu tại x1, x2 thỏa x1 + 2x2 = 1.
A. m = 2 hoặc m = -2/3 B. m = -2 hoặc m = 2/3
C. m = 2 hoặc m = 2/3 D. m = -2 hoặc m = -2/3
Lời giải:
- Đạo hàm y' = mx2 - 2(m - 1)x + 3(m - 2)
- Hàm số có hai cực trị
- Gọi x1, x2 là hai nghiệm của phương trình y' = 0
- Theo định lý Vi-ét, ta có
- Thay (1) vào phương trình x1 + 2x2 = 1
Ta được x2 = -1 + 2/m ⇒ x1 = 3 - 4/m
- Từ (2) suy ra:
So với điều kiện (*): m = 2 hoặc m = 2/3
Suy ra chọn đáp án C.
Câu 113: Cho hàm số y = x4 – 2(m – 1)x2 + 3. Tìm m để hàm số có ba điểm cực trị tạo thành tam giác có góc bằng 120o.
Lời giải:
Nhận xét: Đây là hàm trùng phương với đỉnh cân tại điểm có hoành độ bằng 0. Vậy 2 góc đáy phải có số đo nhỏ hơn 90o. Đề cho tam giác có 1 góc bằng 120o vậy góc đó phải nằm ở đỉnh cân.
Cách 1: Làm theo tự luận
Đạo hàm y' = 4x3 – 4(m + 1)x = x.[x2 – (m + 1)]
Để hàm số có 3 cực trị khi và chỉ khi m + 1 > 0 hay m > -1 (1)
Xét phương trình:
- Gọi các điểm cực trị có tọa độ: A(0;3);
- Gọi I là trung điểm đoạn BC ⇒ I(0; -(m + 1)2 + 3)
- Góc ở đỉnh cân A bằng 120o suy ra góc B bằng 30o
⇒ AI = tan30o.BI =
BI ⇔ 3AI2 = BI2
⇔ 3(m + 1)4 = m + 1 ⇔ 3(m + 1)3 = 1 (do m + 1 > 0 )
Cách 2: Sử dụng công thức giải nhanh
Hay 3[-2.(m + 1)]3 = -8 ⇔ 3(m + 1)3 = 1
Suy ra chọn đáp án B.
Câu 114: Tìm các giá trị của tham số m để đồ thị hàm số y = x4 – 2(m + 1)x2 + m2 có ba điểm cực trị là ba đỉnh của một tam giác vuông cân.
A. Không tồn tại m. B. m = 0
C. m = 0 hoặc m = -1 D. m = -1
Lời giải:
* Đạo hàm: y' = 4x3 – 4(m + 1)x
Xét phương trình y' = 0 ⇔ 4x(x2 – m – 1) = 0
Hàm số có điểm 3 cực trị khi và chỉ khi m + 1 > 0 hay m > -1
Khi đó 3 điểm cực trị của đồ thị hàm số là: A(0;m2)
Do tính chất đối xứng, ta có tam giác ABC cân tại đỉnh A.
Vậy tam giác ABC chỉ có thể vuông cân tại đỉnh ⇔ AB−.AC− = 0
⇔ -(m + 1) + (-m2 – 2m – 1)2 = 0
⇔ m4 + 4m3 + 6m2 + 3m = 0
Kết hợp điều kiện ta có: m = 0 (thỏa mãn).
Lưu ý: Có thể làm theo cách khác:
+) Cách 1: Gọi M là trung điểm của BC, tìm tọa độ điểm M, tam giác ABC vuông tại đỉnh A thì 2AM = BC.
+) Cách 2: Sử dụng định lý Pitago BC2 = AB2 + AC2.
+) Cách 3:
+) Hoặc sử dụng công thức
Suy ra chọn đáp án B.
Câu 115: Tìm các giá trị của tham số m để đồ thị hàm số: y = x4 – 2mx2 + 2m + m4 có ba điểm cực trị là ba đỉnh của một tam giác đều.
Lời giải:
Đạo hàm y' = 4x3 – 4mx = 4x.(x2 – m)
Xét phương trình y'= 0 hay 4x.(x2 – m) = 0
Hàm số có 3 cực trị khi m > 0.
Khi đó 3 điểm cực trị của đồ thị hàm số là:
A(0;m4 + 2m), B(-√m; m4 - m2 + 2m), B(√m; m4 - m2 + 2m)
Do tính chất đối xứng, ta có tam giác ABC cân tại đỉnh A .
Vậy tam giác ABC đều chỉ cần AB = BC
⇔ m + m4 = 4m ⇔ m4 = 3m
Kết hợp điều kiện ta có: m = 3√3 ( thỏa mãn).
Lưu ý: có thể sử dụng công thức
⇔ m3 = 3 ⇔ m = 3√3
Suy ra chọn đáp án C.
Câu 116: Tìm tất cả các giá trị thực của tham số m để đồ thị của hàm số y = -x3 + 3mx + 1 có 2 điểm cực trị A, B sao cho tam giác OAB vuông tại O (với O là gốc tọa độ ).
A. m = 3/2 B. m = -1/2
C. m = 1 D. m = 1/2
Lời giải:
Ta có đạo hàm y' = -3x2 + 3m.
Phương trình y' = 0 ⇔ x2 – m = 0 (*)
Đồ thị hàm số (1) có 2 điểm cực trị ⇔ (*) có 2 nghiệm phân biệt ⇔ m > 0 (**)
Khi đó 2 điểm cực trị là: A(-√m; 1 - 2m√m), B(√m; 1 + 2m√m)
Tam giác OAB vuông tại O ⇒ OA−.OB− = 0 ⇔ 4m3 + m - 1 = 0 ⇔ m = 1/2 (thỏa mãn).
Vậy m = 1/2.
Suy ra chọn đáp án D.
Câu 117: Tìm tất cả các giá trị của m để đồ thị hàm số y = x3 – 3(m + 1)x2 + 12mx – 3m + 4 (C) có hai điểm cực trị là A và B sao cho hai điểm này cùng với điểm C(-1; -9/2) lập thành tam giác nhận gốc tọa độ O làm trọng tâm.
A. m = -1/2 B. m = - 2
C. m = 2 D. m = 1/2
Lời giải:
Ta có y' = 3x2 – 6(m + 1)x + 12m
Hàm số có hai cực trị khi phương trình y' = 0 có hai nghiệm phân biệt
⇔ Δ' = 9(m + 1)2 - 36m = 9(m - 1)2 ⇔ m ≠ -1(*).
Khi đó hai điểm cực trị là A(2; 9m), B(2m; -4m3 + 12m2 – 3m + 4).
Để ΔABC nhận O làm trọng tâm
Suy ra chọn đáp án A.
Câu 118: Cho hàm số y = x4 – 2(1 - m2)x2 + m + 1. Tìm tất cả các giá trị của tham số thực m để hàm số có cực đại, cực tiểu và các điểm cực trị của đồ thị hàm số lập thành tam giác có diện tích lớn nhất.
A. m = -1/2 B. m = 1/2
C. m = 0 D.m = 1
Lời giải:
Đạo hàm y' = 4x3 – 4(1 - m2)x = 4x.[x2 – (1 - m2)]
Xét phương trình:
Hàm số có cực đại, cực tiểu khi và chỉ khi: |m| < 1
Tọa độ điểm cực trị A(0; m + 1)
Phương trình đường thẳng BC: y + m4 - 2m2 – m = 0
d(A; BC)= m4 – 2m2 + 1,
Vậy S đạt giá trị lớn nhất ⇔ m = 0.
Suy ra chọn đáp án C.
Câu 119: Tìm tất cả các giá trị của tham số thực m để đường thẳng qua 2 điểm cực trị của đồ thị hàm số: y = x3 - 3mx + 2 cắt đường tròn tâm I(1; 1) bán kính bằng 1 tại 2 điểm A, B mà diện tích tam giác IAB lớn nhất .
Lời giải:
Đạo hàm y' = 3x2 – 3m
Để hàm số đã cho có hai điểm cực trị khi và chỉ khi phương trình y' = 0 có 2 nghiệm phân biệt ⇔ m > 0.
Với m > 0 thì phương trình
Khi đó tọa độ 2 điểm cực trị của đồ thị hàm số là:
M(√m; -2m√m + 2), N(-√m; 2m√m + 2), MN−(-2√m; 4m√m)
Phương trình đường thẳng MN: 2mx + y – 2 = 0:
Ta có đường thẳng MN cắt đường tròn tâm I bán kính R = 1 tại hai điểm A và B nên IA = IB = 1.
Diện tích tam giác IAB là: SIAB = 1/2.IA.IB.sin AIB = 1/2. sin AIB ≤ 1/2
Dấu bằng xảy ra khi ∠AIB = 90o. Khi đó; tam giác IAB là tam giác vuông tại I nên ta có:
⇔ 4(4m2 – 4m + 1) = 2(4m2 + 1) ⇔ 8m2 – 16m + 2 = 0
Suy ra chọn đáp án B.
Câu 120: Cho hàm số y = 2x3 – 9x2 + 12x + m. Giả sử đồ thị hàm số có hai điểm cực trị là A, B đồng thời A, B cùng với gốc tọa độ O không thẳng hàng. Khi đó chu vi tam giác OAB nhỏ nhất bằng bao nhiêu ?
A. √10 - √2 B. √10 + √2
C. √10 + √5 D. √8 + √5
Lời giải:
Ta có đạo hàm: y' = 6x2 - 18x + 12
Xét phương trình:
Tọa độ hai điểm cực trị là A(1; 5 + m) và B(2; 4 + m) là hai điểm cực trị của đồ thị hàm số.
Khi đó: OA−(1;5 + m), OB−(2; 4 + m), AB−(1; -1)
Để ba điểm A; B và O là 3 đỉnh của một tam giác thì hai vecto OA−, OB− không cùng phương:
Chu vi của tam giác OAB là:
Sử dụng tính chất:
Từ đó ta có:
Dấu bằng xảy ra khi và chỉ khi u−, v− cùng hướng
Vậy chu vi tam giác OAB nhỏ nhất bằng (√10 + √2) khi m = -14/3.
Suy ra chọn đáp án B.
(199k) Xem Khóa học Toán 12 KNTTXem Khóa học Toán 12 CDXem Khóa học Toán 12 CTST
Xem thêm các dạng bài tập Toán lớp 12 ôn thi Tốt nghiệp có lời giải hay khác:
- 120 Bài tập Cực trị của hàm số có lời giải (nâng cao - Phần 1)
- 120 Bài tập Cực trị của hàm số có lời giải (nâng cao - Phần 2)
- 120 Bài tập Cực trị của hàm số có lời giải (nâng cao - Phần 3)
- 120 Bài tập Cực trị của hàm số có lời giải (nâng cao - Phần 4)
Đã có app VietJack trên điện thoại, giải bài tập SGK, SBT Soạn văn, Văn mẫu, Thi online, Bài giảng....miễn phí. Tải ngay ứng dụng trên Android và iOS.
Theo dõi chúng tôi miễn phí trên mạng xã hội facebook và youtube:Nếu thấy hay, hãy động viên và chia sẻ nhé! Các bình luận không phù hợp với nội quy bình luận trang web sẽ bị cấm bình luận vĩnh viễn.
- Giải Tiếng Anh 12 Global Success
- Giải sgk Tiếng Anh 12 Smart World
- Giải sgk Tiếng Anh 12 Friends Global
- Lớp 12 Kết nối tri thức
- Soạn văn 12 (hay nhất) - KNTT
- Soạn văn 12 (ngắn nhất) - KNTT
- Giải sgk Toán 12 - KNTT
- Giải sgk Vật Lí 12 - KNTT
- Giải sgk Hóa học 12 - KNTT
- Giải sgk Sinh học 12 - KNTT
- Giải sgk Lịch Sử 12 - KNTT
- Giải sgk Địa Lí 12 - KNTT
- Giải sgk Giáo dục KTPL 12 - KNTT
- Giải sgk Tin học 12 - KNTT
- Giải sgk Công nghệ 12 - KNTT
- Giải sgk Hoạt động trải nghiệm 12 - KNTT
- Giải sgk Giáo dục quốc phòng 12 - KNTT
- Giải sgk Âm nhạc 12 - KNTT
- Giải sgk Mĩ thuật 12 - KNTT
- Lớp 12 Chân trời sáng tạo
- Soạn văn 12 (hay nhất) - CTST
- Soạn văn 12 (ngắn nhất) - CTST
- Giải sgk Toán 12 - CTST
- Giải sgk Vật Lí 12 - CTST
- Giải sgk Hóa học 12 - CTST
- Giải sgk Sinh học 12 - CTST
- Giải sgk Lịch Sử 12 - CTST
- Giải sgk Địa Lí 12 - CTST
- Giải sgk Giáo dục KTPL 12 - CTST
- Giải sgk Tin học 12 - CTST
- Giải sgk Hoạt động trải nghiệm 12 - CTST
- Giải sgk Âm nhạc 12 - CTST
- Lớp 12 Cánh diều
- Soạn văn 12 Cánh diều (hay nhất)
- Soạn văn 12 Cánh diều (ngắn nhất)
- Giải sgk Toán 12 Cánh diều
- Giải sgk Vật Lí 12 - Cánh diều
- Giải sgk Hóa học 12 - Cánh diều
- Giải sgk Sinh học 12 - Cánh diều
- Giải sgk Lịch Sử 12 - Cánh diều
- Giải sgk Địa Lí 12 - Cánh diều
- Giải sgk Giáo dục KTPL 12 - Cánh diều
- Giải sgk Tin học 12 - Cánh diều
- Giải sgk Công nghệ 12 - Cánh diều
- Giải sgk Hoạt động trải nghiệm 12 - Cánh diều
- Giải sgk Giáo dục quốc phòng 12 - Cánh diều
- Giải sgk Âm nhạc 12 - Cánh diều


Giải bài tập SGK & SBT
Tài liệu giáo viên
Sách
Khóa học
Thi online
Hỏi đáp

