120 Bài tập Cực trị của hàm số có lời giải (nâng cao - Phần 1)
Với 120 Bài tập Cực trị của hàm số nâng cao có lời giải chi tiết sẽ giúp học sinh ôn tập, biết cách làm Bài tập Cực trị của hàm số.
120 Bài tập Cực trị của hàm số có lời giải (nâng cao - Phần 1)
(199k) Xem Khóa học Toán 12 KNTTXem Khóa học Toán 12 CDXem Khóa học Toán 12 CTST
Bài giảng: Các dạng bài tìm cực trị của hàm số - Cô Nguyễn Phương Anh (Giáo viên VietJack)
Câu 1: Đường cong trong hình vẽ bên dưới là đồ thị hàm số y = f'(x). Số điểm cực trị của hàm số y = f(x) là:
A. 2 B. 3
C. 4 D. 5
Lời giải:
Ta thấy đồ thị hàm số f'(x) có 4 điểm chung với trục hoành x1, 0, x2, x3 nhưng dấu của f'(x) chỉ đổi dấu khi x đi qua hai điểm 0 và x3.
Bảng biến thiên:
Vậy hàm số y = f(x) có 2 điểm cực trị.
Suy ra chọn đáp án A.
Câu 2: Cho hàm số y = f(x). Đồ thị hàm số y = f'(x) như hình bên. Tìm số điểm cực trị của hàm số g(x) = f(x2 - 3)
A. 2 B. 3
C. 4 D. 5
Lời giải:
Ta có g'(x) = 2x. f'(x2 – 3)
Bảng biến thiên:
Dựa vào bảng biến thiên và đối chiếu với các đáp án suy ra ta chọn B.
Chú ý: Dấu của g’(x) được xác định như sau: Ví dụ xét trên khoảng (2; +∞)
• x ∈ (2; +∞) → x > 0 (1)
• x ∈ (2; +∞) ⇒ x2 > 4 ⇒ x2 - 3 > 1 -theo do thi f'(x)→ f'(x2 - 3) (2)
Từ (1) và (2) suy ra g'(x) = 2x.f'(x2 – 3) > 0 trên khoảng (2; +∞) nên g'(x) mang dấu “+”.
Nhận thấy các nghiệm x = 1 hoặc x = -1 và x = 0 là các nghiệm bội lẻ nên g'(x) qua nghiệm đổi dấu; các nghiệm x = 2 hoặc x = -2 là nghiệm bội chẵn (lí do dựa vào đồ thị ta thấy f'(x) tiếp xúc với trục hoành tại điểm có hoành độ bằng 1 nên qua nghiệm không đổi dấu.
Câu 3: Cho hàm số y = f(x) có đạo hàm trên R và có bảng xét dấu của y = f'(x) như sau
Hỏi hàm số g(x) = f(x2 - 2x) có bao nhiêu điểm cực tiểu ?
A. 1 B. 2
C.3 D. 4
Lời giải:
Ta có g'(x) = (2x - 2). f'(x2 – 2x)
Bảng biến thiên
Dựa vào bảng biến thiên và đối chiếu với các đáp án suy ra ta chọn A.
Câu 4: Cho hàm số y = f(x) có đạo hàm liên tục trên R và f(0) < 0 đồng thời đồ thị hàm số y = f'(x) như hình vẽ bên dưới
Số điểm cực trị của hàm số g(x) = f2(x) là
A. 1 B. 2
C. 3 D. 4
Lời giải:
Dựa vào đồ thị, ta có:
Bảng biến thiên của hàm số y = f(x)
Bảng biến thiên của hàm số g(x)
Vậy hàm số g(x) có 3 điểm cực trị.
Suy ra chọn đáp án C.
Câu 5: Tìm tất cả các giá trị thực của tham số m sao cho đồ thị của hàm số y = x4 + 2mx2 = 1 có ba điểm cực trị tạo thành một tam giác vuông cân.
Lời giải:
Tập xác định: D = R.
y' = 4x3 + 4mx; y' = 0 ⇔ 4x3 + 4mx = 0
Hàm số có 3 cực trị khi và chỉ khi phương trình y' = 0 có 3 nghiệm phân biệt nghĩa là phương trình (*) có 2 nghiệm phân biệt khác 0 ⇔ -m > 0 hay m < 0. (loại đáp án C và D)
Vậy tọa độ 3 điểm lần lượt là: A(0; 1), B(-√(-m), 1 - m2), C(√(-m), 1 - m2)
Ta có AB→ = (-√(-m), -m2); AC→ = (√(-m), -m2)
Vì tam giác ABC vuông cân tại A nên :
AB→. AC→ = 0 ⇔ -√(m2) + m2.m2 = 0
⇔ -|m| + m4 = 0 ⇔ m + m4 = 0
Nên m = -1 (vì m < 0)
Vậy với m = -1 thì hàm số có 3 cực trị tạo thành một tam giác vuông cân.
Suy ra chọn đáp án B.
Câu 6: Cho hàm số y = f(x) có đạo hàm trên R. Đồ thị hàm số y = f'(x) như hình vẽ bên dưới
Số điểm cực trị của hàm số g(x) = f(x - 2017) - 2018x + 2019 là
A. 1 B. 2
C. 3 D. 4
Lời giải:
Ta có: g'(x)= f'(x - 2017) – 2018
Xét phương trình: g'(x) = 0 hay f'(x - 2017) = 2018
Dựa vào đồ thị hàm số y = f'(x) suy ra phương trình f'(x - 2017) = 2018 có 1 nghiệm đơn duy nhất.
Suy ra hàm số g(x) có 1 điểm cực trị.
Suy ra chọn đáp án A.
Câu 7: Tìm tất cả các giá trị thực của tham số m để đồ thị của hàm số y = x4 – 2mx2 có ba điểm cực trị tạo thành một tam giác có diện tích nhỏ hơn 1.
A. m > 0 B. m < 1
C. 0 < m < 3√4 D. 0 < m < 1
Lời giải:
Ta có: y' = 4x3 – 4mx = 4m(x2 – m) (*)
+ Để đồ thị hàm số đã cho có 3 điểm cực trị khi và chỉ khi phương trình (*) có 3 nghiệm phân biệt ⇔ m > 0 .
+ Xét y' = 0
Các điểm cực trị tạo thành tam giác cân có đáy bằng 2√m, đường cao bằng m2. (như hình minh họa)
Ta được SΔABC = 1/2. AC.BD = √m.m2
Để tam giác có diện tích nhỏ hơn 1 thì: √m.m2 < 1 ⇔ m5 < 1 ⇔ 0 < m < 1
Suy ra chọn đáp án D.
Câu 8: Cho hàm số y = f(x) có đạo hàm trên R. Đồ thị hàm số y = f'(x) như hình vẽ bên dưới. Hỏi hàm số g(x) = f(x) + x đạt cực tiểu tại điểm nào dưới đây ?
A. x = 0 B. x = 1
C. x = 2 D. Không có điểm cực tiểu.
Lời giải:
+ Ta có đạo hàm: g'(x) = f'(x) + 1
Do đó g'(x)= 0 ⇔ f'(x) = -1
+ Suy ra số nghiệm của phương trình g'(x) = 0 chính là số giao điểm giữa đồ thị của hàm số f'(x) và đường thẳng y = -1.
Dựa vào đồ thị ta suy ra:
Lập bảng biến thiên cho hàm g(x) ta thấy g(x) đạt cực tiểu tại x = 1.
Suy ra chọn đáp án B.
Câu 9: Tìm tất cả các giá trị thực của tham số m để đồ thị của hàm số y = x3 – 3mx2 + 4m3 có hai điểm cực trị A và B sao cho tam giác OAB có diện tích bằng 4 với O là gốc tọa độ.
Lời giải:
Đạo hàm y' = 3x2 – 6mx
Đồ thị của hàm số có hai điểm cực trị A(0, 4m3) và B(2m, 0)
SΔABC = 1/2.OA.OB = 4 ⇔ 1/2. |4m3.2m| = 4 ⇔ 4m4 = 4 ⇔ m = 1 hoặc m = -1.
Suy ra chọn đáp án B.
Câu 10: Cho hàm số y = f(x) có đạo hàm trên R. Đồ thị hàm số y = f'(x) như hình vẽ bên dưới.
Hàm số g(x) = f(x) - x3/3 + x2 - x + 2 đạt cực đại tại
A. x = -1 B. x = 0
C. x = 1 D. x = 2
Lời giải:
Ta có đạo hàm: g'(x) = f'(x) – x2 + 2x - 1
Xét g'(x)= 0 ⇔ f'(x) – x2 + 2x - 1 = 0
⇔ f'(x) = x2 – 2x + 1 = (x - 1)2
Suy ra số nghiệm của phương trình g'(x) = 0 chính là số giao điểm giữa đồ thị của hàm số f'(x) và parapol (P): y = (x - 1)2
Dựa vào đồ thị ta suy ra
Bảng biến thiên
Dựa vào bảng biến thiên ta thấy g(x) đạt cực đại tại x = 1.
Suy ra chọn đáp án C.
Câu 11: Cho hàm số y = f(x) có đạo hàm trên R. Đồ thị hàm số y = f'(x) như hình vẽ bên dưới. Hàm số g(x) = 2f(x) + x2 đạt cực tiểu tại điểm
A. x = -1 B. x = 0
C. x = 1 D. x = 2
Lời giải:
Ta có g'(x) = 2f'(x) + 2x.
Xét phương trình g'(x)=0 hay f'(x) = - x
Suy ra số nghiệm của phương trình g'(x) = 0 chính là số giao điểm giữa đồ thị của hàm số f'(x) và đường thẳng y = - x
Dựa vào đồ thị ta suy ra
Bảng biến thiên
Dựa vào bảng biến thiên ta thấy g(x) đạt cực tiểu tại x = 0 .
Suy ra chọn đáp án B.
Câu 12: Có tất cả bao nhiêu giá trị nguyên của m để hàm số y = x8 + (m - 2)x5 – (m2 – 4).x4 + 1 đạt cực tiểu tại x = 0?
A. 3 B. 5
C. 4 D. Vô số.
Lời giải:
Ta xét các trường hợp sau
* Nếu m2 - 4 = 0 ⇒ m = 2 hoặc m = -2
• Khi m= 2 thì y' = 8x7. Suy ra: y' = 0 khi x = 0 là điểm cực tiểu.
• Khi m = - 2 thì y'= x3(8x4 – 20).
Suy ra: y' = 0
Lập bảng biến thiên ta thấy hàm số đạt cực đại tại x = 0 ( loại)
* Nếu m2 - 4 ≠ 0 ⇒ m ≠ 2 hoặc m ≠ -2. Khi đó ta có:
y'= 8x7 + 5(m - 2).x4 – 4(m2 – 4).x3
y' = x2[8x5 + 5(m - 2)x2 - 4(m2 - 4)x]
Số cực trị của hàm y = x8 + (m - 2)x5 - (m2 - 4)x4 + 1 bằng số cực trị của hàm g’(x) với:
Nếu x = 0 là điểm cực tiểu thì g''(0) > 0. Khi đó
-4(m2 - 4) > 0 ⇔ m2 - 4 < 0 ⇒ -2 < m < 2 ⇒ m = {-1; 0; 1}
Vậy có 4 giá trị nguyên của m là {-1; 0; 1; 2}.
Suy ra chọn đáp án C.
Câu 13: Cho hàm số y = f(x) có đạo hàm trên R. Đồ thị hàm số y = f'(x) như hình vẽ bên dưới. Hỏi đồ thị hàm số g(x) = f(x) + 3x có bao nhiểu điểm cực trị ?
A. 2 B. 3
C. 4 D. 7
Lời giải:
Ta có đạo hàm g'(x)= f'(x) + 3
Xét phương trình g'(x) = 0 hay f'(x)= - 3
Suy ra số nghiệm của phương trình g'(x) = 0 chính là số giao điểm giữa đồ thị của hàm số f'(x) và đường thẳng y = -3.
Dựa vào đồ thị ta suy ra
Ta thấy x = -1, x = 0, x = 1 là các nghiệm đơn và x = 2 là nghiệm kép nên đồ thị hàm số
g(x) = f(x) + 3x có 3 điểm cực trị tại các điểm x = -1, x = 0 và x = 1.
Suy ra chọn đáp án B.
Câu 14: Cho hàm số sau. Tìm giá trị của m để hàm số đã cho đạt cực trị tại x1, x2 và thỏa mãn: x1 + 2x2 = 1.
Lời giải:
Ta có đạo hàm: y'= mx2 – 2(m - 1)x + 3(m - 2)
Yêu cầu của bài toán tương đương y' = 0 có hai nghiệm phân biệt x1, x2 thỏa mãn: x1 + 2x2 = 1
Câu 15: Cho hàm số bậc bốn y = f(x). Đồ thị hàm số y = f'(x) như hình vẽ bên.
Số điểm cực đại của hàm số là:
A. 1 B. 2
C. 3 D. 4
Lời giải:
Ta có:
Bảng xét dấu
Từ đó suy ra hàm số
có 1 điểm cực đại.
Chú ý: Cách xét dấu “-” hay “+” của g'(x) để cho nhanh nhất ta lấy một giá trị x0 thuộc khoảng đang xét rồi thay vào g'(x).
Chẳng hạn với khoảng (-1; -1 + √2) ta chọn
Vì dựa vào đồ thị ta thấy f'(√2) < 0
Suy ra chọn đáp án A.
Câu 16: Cho hàm số y = f(x). Đồ thị hàm số y = f'(x) như hình vẽ dưới đây
Số điểm cực trị của hàm số g(x) = e2f(x)+1 + 5f(x) là
A. 1 B. 2
C. 3 D. 4
Lời giải:
+ Ta thấy đồ thị của hàm số f'(x) cắt trục hoành tại 3 điểm phân biệt.
Suy ra hàm số f(x) có 3 điểm cực trị.
+ Ta có: g'(x) = 2f'(x).e2f(x)+1 + f'(x).5f(x).ln5 = f'(x).(2e2f(x)+1 + 5f(x).ln5)
+ Vì 2e2f(x)+1 + 5f(x).ln5 > 0 với mọi x nên g'(x) = 0 ⇔ f'(x) = 0.
Suy ra số điểm cực trị của hàm số g(x) bằng số điểm cực trị của hàm số f(x).
Vậy hàm số g(x) có 3 điểm cực trị.
Suy ra chọn đáp án C.
Câu 17: Cho hàm số y = f(x). Đồ thị hàm số y = f'(x) như hình vẽ bên dưới và f'(x) < 0 với mọi x ∈ (-∞; -3,4) ∪ (9; +∞). Đặt g(x) = f(x) - mx + 5. Có bao nhiêu giá trị nguyên dương của tham số m để hàm số g(x) có đúng hai điểm cực trị ?
A. 4 B. 7
C. 8 D. 9
Lời giải:
Ta có: g'(x) = f'(x) - m.
Xét phương trình: g'(x) = 0 hay f'(x) – m= 0 ⇔ f'(x) = m
Để hàm số g(x) có đúng hai điểm cực trị khi và chỉ khi phương trình g'(x) = 0 có hai nghiệm đơn ( hoặc nghiệm bội lẻ phân biệt)
Suy ra chọn đáp án C.
Câu 18: Tìm tất cả các giá trị thực của tham số m để đồ thị hàm số y = x4 – 2mx2 + 1 có ba điểm cực trị A(0,1), B, C thỏa mãn BC = 4?
A. m = 4 hoặc m = -4. B. m = √2.
C. m = 4. D. m = √2 hoặc m = -√2.
Lời giải:
Cách 1:
+ Ta có: y' = 4x3 - 4mx = 4x(x2 - m);
+ Để hàm số có ba điểm cực trị khi và chỉ khi y' = 0 có ba nghiệm phân biệt ⇔ m > 0
+ Suy ra tọa độ các điểm cực trị của đồ thị hàm số là:
A(0;1), B(√m; 1 - m2) và C(-√m; 1 - m2)
Để BC = 4 ⇔ 2√m = 4 ⇔ √m = 2 ⇔ m = 4 (thỏa mãn).
Cách 2: Áp dụng công thức giải nhanh:
Điều kiện để có ba cực trị là ab < 0 ⇔ m > 0
Để độ dài BC = m0 khi và chỉ khi:
am02 + 2b = 0 ⇔ 1.42 + 2.(-2m) = 0 ⇔ m = 4
Suy ra chọn đáp án C.
Câu 19: Cho hàm số y = x4 – 2(m + 1)x2 + m2 với m là tham số thực. Tìm tất cả các giá trị của m để đồ thị hàm số có ba điểm cực trị tạo thành một tam giác vuông.
A. m = -1 B. m = 0
C. m = 1 D. m = 2
Lời giải:
Cách 1.
* Ta có đạo hàm: y'= 4x3 – 4(m + 1)x = 4x(x2 - m - 1)
* Để hàm số có ba điểm cực trị khi và chỉ khi y' = 0 có ba nghiệm phân biệt:
⇔ m + 1 > 0 ⇔ m > -1.
Suy ra tọa độ các điểm cực trị của đồ thị hàm số là:
A(0; m2), B(√(m + 1); -2m - 1) và C(-√(m + 1); -2m - 1)
Khi đó AB− = (√(m + 1); -2m - 1 - m2) và AC− = (-√(m + 1); -2m - 1 - m2)
Để tam giác ABC vuông: AB−.AC− = 0
Cách 2. Áp dụng công thức giải nhanh:
Điều kiện để có ba cực trị ab < 0 hay m > -1
Để tam giác ABC vuông điều kiện là: 8a + b3 = 0
⇔ 8.1 + [-2(m + 1)]3 = 0 ⇔ m = 0
Suy ra chọn đáp án B.
Câu 20: Tìm giá trị thực của tham số m sao cho đồ thị của hàm số y = x4 + 2mx2 + 1 có ba điểm cực trị tạo thành tam giác vuông cân.
Lời giải:
Ta có:
* Để hàm số có ba điểm cực trị khi và chỉ khi (*) có hai nghiệm phân biệt khác 0
⇔ -m > 0 hay m < 0
* Khi đó toạ độ ba điểm cực trị của đồ thị hàm số là:
A(0;1), B(√(-m); -m2 + 1), C(-√(-m); -m2 + 1)
Ta có: AB = AC nên tam giác ABC cân tại A nên điều kiện để tam giác ABC vuông cân là:
Suy ra chọn đáp án B.
Câu 21: Cho hàm số y = 3x4 + 2(m - 2018).x2 + 2017 với m là tham số thực. Tìm giá trị của m để đồ thị hàm số có ba điểm cực trị tạo thành tam giác có một góc bằng 120o.
A. m = - 2018 B. m = -2017
C. m = 2017 D. m = 2018
Lời giải:
Cách 1.
Ta có: y' = 12x3 + 4(m - 2018)x;
Để hàm số có ba điểm cực trị ⇔ 2018 - m > 0 ⇔ m < 2018.
Khi đó, tọa độ các điểm cực trị của đồ thị hàm số là: A(0; 2017)
Do tam giác ABC cân tại A: AB = AC nên ∠BAC = 120o. Áp dụng định lí cosin trong tam giác ABC ta có:
BC2 = AB2 + AC2 – 2.AB.AC.cosA = AB2 + AB2 – 2.AB.AB.cos120o
⇔ BC2 = 3AB2
⇔ (m - 2018)3 = -1 ⇔ m = 2017 (thỏa mãn)
Cách 2. Áp dụng công thức giải nhanh:
Điều kiện để có ba cực trị: ab < 0 hay m < 2018
Áp dụng công thức giải nhanh:
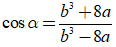
(với α = ∠BAC, A là điểm cực trị thuộc Oy)
Ta được:
⇔ 3[2(m - 2018)]3 = -8.3 ⇔ m = 2017 thỏa mãn.
Suy ra chọn đáp án C.
Câu 22: Cho hàm số y = 1/4.x4 - (3m + 1)x2 + 2(m + 1) với m là tham số thực. Tìm giá trị của m để đồ thị hàm số có ba điểm cực trị tạo thành tam giác có trọng tâm là gốc tọa độ.
A. m = -2/3. B. m = 2/3.
C. m = -2/3. D. m = 1/3.
Lời giải:
Cách 1.
Ta có: y' = x3 - 2(3m + 1)x = x[x2 - 2(3m + 1)]
Để hàm số có ba điểm cực trị ⇔ 2(3m + 1) > 0 ⇔ m > -1/3.
Khi đó đồ thị hàm số có ba điểm cực trị là: A(0; 2(m + 1))
Suy ra tọa độ trọng tâm của tam giác ABC là :
Để G ≡ O ⇔ 2(m + 1) + 2(-9m2 - 4m + 1) = 0
Cách 2. Áp dụng công thức giải nhanh:
Điều kiện để có ba cực trị ab < 0 ⇔ m > -1/3.
Yêu cầu bài toán: G ≡ O ⇔ b2 - 6ac = 0 ⇔ (3m + 1)2 - 6.1/4.2(m + 1) = 0
Suy ra chọn đáp án D.
Câu 23: Cho hàm số y = 9/8.x4 + 3(m - 3)x2 + 4m + 2017 với m là tham số thực. Tìm giá trị của m để đồ thị hàm số có ba điểm cực trị tạo thành tam giác đều.
A. m = -2 B. m = 2
C. m = 3 D. m = 2017
Lời giải:
Cách 1.
Ta có: y' = 9/2.x3 + 6(m - 3)x;
Để hàm số có ba điểm cực trị khi và chỉ khi (*) có 2 nghiệm phân biệt khác 0.
⇔ 4(m - 3) > 0 ⇔ m < 3
Khi đó tọa độ ba điểm cực trị của đồ thị hàm số là: A(0; 4m + 2017)
Do tam giác ABC cân tại A nên để tam giác ABC đều thì AB = BC hay AB2 = BC2
Cách 2. Áp dụng công thức giải nhanh:
Điều kiện để có ba cực trị ab < 0 hay m < 3
Để tam giác tạo bởi điểm cực trị là tam giác đều khi và chỉ khi:
b3 = -24a hay 27(m - 3)3 = -27 ⇔ m = 2
Suy ra chọn đáp án B.
Câu 24: Cho hàm số y = x4 – mx2 + m - 2 với m là tham số thực. Tìm giá trị của m để đồ thị hàm số có ba điểm cực trị tạo thành một tam giác có bán kính đường tròn nội tiếp bằng 1
A. m = -2 B. m = 1
C. m = 2 D. m = 4
Lời giải:
Cách 1.
Ta có: y' = 4x3 - 2mx = 2x(2x2 - m);
Để hàm số có ba điểm cực trị khi và chỉ khi m > 0.
Khi đó tọa độ ba điểm cực trị của đồ thị hàm số là: A(0; m - 2)
Suy ra:
Ta có:
Đặt
Ta được phương trình:
Cách 2. Áp dụng công thức giải nhanh:
Điều kiện để có ba cực trị là ab < 0 hay m > 0.
Yêu cầu bài toán:
Suy ra chọn đáp án D.
Câu 25: Tìm tất cả các giá trị thực của tham số m để hàm số sau có cực đại và cực tiểu.
A. m < 0 B. m = 0
C. m ∈ R D. m > 0
Lời giải:
Tập xác định: D = R \ {1}.
Đạo hàm
Đặt g(x) = x2 – 2x – m + 1
Để hàm số có cực đại và cực tiểu khi và chỉ khi g(x) = 0 có hai nghiệm phân biệt khác 1.
Suy ra chọn đáp án D.
Câu 26: Tìm tất cả các giá trị thực của tham số m để hàm số sau đạt cực đại tại x = 2.
A. m = -1 B. m = -3
C. m = 1 D. m = 3
Lời giải:
TXĐ: D = R \ {-m}.
Đạo hàm
Hàm số đạt cực đại tại x = 2
Thử lại với m = -1 thì hàm số đạt cực tiểu tại x = 2: không thỏa mãn.
Thử lại với m = -3 thì hàm số đạt cực đại tại x = 2: thỏa mãn.
Suy ra chọn đáp án B.
Câu 27: Gọi xCĐ, xCT lần lượt là điểm cực đại, điểm cực tiểu của hàm số y = sin2x- x trên đoạn [0; π]. Mệnh đề nào sau đây là đúng?
A. xCD = π/6; xCT = 5π/6 B. xCD = 5π/6; xCT = π/6
C. xCD = π/6; xCT = π/3 D. xCD = π/3; xCT = 2π/3
Lời giải:
Ta có y' = 2cos2x - 1 và y'' = -4sin2x.
Xét trên đoạn [0; π], ta có y' = 0
Do đó:
Vậy xCD = π/6; xCT = 5π/6
Suy ra chọn đáp án A.
Câu 28: Tìm giá trị cực đại của hàm số y = x + 2cosx trên khoảng (0;π).
Lời giải:
Đạo hàm y' = 1 - 2sinx và y'' = -2cosx.
Xét trên khoảng (0;π), ta có
Do đó:
Vậy giá trị cực đại của hàm số là:
Suy ra chọn đáp án C.
Câu 29: Biết rằng trên khoảng (0; 2π) hàm số y = a.sinx + b.cosx + x đạt cực trị tại x = π/3 và x = π. Tính tổng S = a + b
A. S = 3 B. S = √3/3 + 1
C. S = √3 + 1 D. S = √3 - 1
Lời giải:
Đạo hàm: y' = a.cosx – b.sinx + 1.
Hàm số đạt cực trị tại x = π/3 và x = π
nên
⇒ S = a + b = √3 + 1
Suy ra chọn đáp án C.
Câu 30: Hàm số y = (x2 - 4)2(1 - 2x)3 có bao nhiêu điểm cực trị?
A. 3. B. 4.
C. 5. D. 6.
Lời giải:
Đạo hàm y' = 2.2x(x2 - 4)(1 - 2x)3 + (x2 - 4)2.3.(-2).(1 - 2x)2
= (1 - 2x)2(x2 - 4).[4x(1 - 2x) - 6(x2 - 4)]
= -2(1 - 2x)2(x2 - 4)(7x2 - 2x - 12)
Phương trình y' = 0 có 4 nghiệm đơn nên hàm số có 4 điểm cực trị.
Suy ra chọn đáp án B.
(199k) Xem Khóa học Toán 12 KNTTXem Khóa học Toán 12 CDXem Khóa học Toán 12 CTST
Xem thêm các dạng bài tập Toán lớp 12 ôn thi Tốt nghiệp có lời giải hay khác:
- 120 Bài tập Cực trị của hàm số có lời giải (nâng cao - Phần 1)
- 120 Bài tập Cực trị của hàm số có lời giải (nâng cao - Phần 2)
- 120 Bài tập Cực trị của hàm số có lời giải (nâng cao - Phần 3)
- 120 Bài tập Cực trị của hàm số có lời giải (nâng cao - Phần 4)
Đã có app VietJack trên điện thoại, giải bài tập SGK, SBT Soạn văn, Văn mẫu, Thi online, Bài giảng....miễn phí. Tải ngay ứng dụng trên Android và iOS.
Theo dõi chúng tôi miễn phí trên mạng xã hội facebook và youtube:Nếu thấy hay, hãy động viên và chia sẻ nhé! Các bình luận không phù hợp với nội quy bình luận trang web sẽ bị cấm bình luận vĩnh viễn.
- Giải Tiếng Anh 12 Global Success
- Giải sgk Tiếng Anh 12 Smart World
- Giải sgk Tiếng Anh 12 Friends Global
- Lớp 12 Kết nối tri thức
- Soạn văn 12 (hay nhất) - KNTT
- Soạn văn 12 (ngắn nhất) - KNTT
- Giải sgk Toán 12 - KNTT
- Giải sgk Vật Lí 12 - KNTT
- Giải sgk Hóa học 12 - KNTT
- Giải sgk Sinh học 12 - KNTT
- Giải sgk Lịch Sử 12 - KNTT
- Giải sgk Địa Lí 12 - KNTT
- Giải sgk Giáo dục KTPL 12 - KNTT
- Giải sgk Tin học 12 - KNTT
- Giải sgk Công nghệ 12 - KNTT
- Giải sgk Hoạt động trải nghiệm 12 - KNTT
- Giải sgk Giáo dục quốc phòng 12 - KNTT
- Giải sgk Âm nhạc 12 - KNTT
- Giải sgk Mĩ thuật 12 - KNTT
- Lớp 12 Chân trời sáng tạo
- Soạn văn 12 (hay nhất) - CTST
- Soạn văn 12 (ngắn nhất) - CTST
- Giải sgk Toán 12 - CTST
- Giải sgk Vật Lí 12 - CTST
- Giải sgk Hóa học 12 - CTST
- Giải sgk Sinh học 12 - CTST
- Giải sgk Lịch Sử 12 - CTST
- Giải sgk Địa Lí 12 - CTST
- Giải sgk Giáo dục KTPL 12 - CTST
- Giải sgk Tin học 12 - CTST
- Giải sgk Hoạt động trải nghiệm 12 - CTST
- Giải sgk Âm nhạc 12 - CTST
- Lớp 12 Cánh diều
- Soạn văn 12 Cánh diều (hay nhất)
- Soạn văn 12 Cánh diều (ngắn nhất)
- Giải sgk Toán 12 Cánh diều
- Giải sgk Vật Lí 12 - Cánh diều
- Giải sgk Hóa học 12 - Cánh diều
- Giải sgk Sinh học 12 - Cánh diều
- Giải sgk Lịch Sử 12 - Cánh diều
- Giải sgk Địa Lí 12 - Cánh diều
- Giải sgk Giáo dục KTPL 12 - Cánh diều
- Giải sgk Tin học 12 - Cánh diều
- Giải sgk Công nghệ 12 - Cánh diều
- Giải sgk Hoạt động trải nghiệm 12 - Cánh diều
- Giải sgk Giáo dục quốc phòng 12 - Cánh diều
- Giải sgk Âm nhạc 12 - Cánh diều


Giải bài tập SGK & SBT
Tài liệu giáo viên
Sách
Khóa học
Thi online
Hỏi đáp

