Các phương pháp tính tích phân và cách giải (hay, chi tiết)
Với loạt Các phương pháp tính tích phân và cách giải sẽ giúp học sinh nắm vững lý thuyết, biết cách làm bài tập từ đó có kế hoạch ôn tập hiệu quả để đạt kết quả cao trong các bài thi môn Toán 12.
Các phương pháp tính tích phân và cách giải
(199k) Xem Khóa học Toán 12 KNTTXem Khóa học Toán 12 CDXem Khóa học Toán 12 CTST
A. LÝ THUYẾT
1. Phương pháp đổi biến số.
Định lý 1
Cho hàm số f(x) liên tục trên đoạn [a;b]. Giả sử hàm số x = φ(t) có đạo hàm liên tục trên đoạn [α;β] sao cho φ(α) = a;φ(β) = b và a ≤ φ(t) ≤ b với mọi t ∈ [α;β]. Khi đó:

Từ định lý 1 ta rút ra các bước đổi biến số
1. Đặt x = φ(t), ta xác định đoạn [α;β] sao cho φ(α) = a;φ(β) = b và a ≤ φ(t) ≤ b, ∀t ∈ [α;β];
2. Biến đổi f(x)dx = f(φ(t))φ'(t)dt = g(t)dt
3. Tìm một nguyên hàm G(t) của g(t)
4. Tính 
5. Kết luận
Định lý 2
Cho hàm số f(x) liên tục trên đoạn [a;b]. Nếu hàm số có u = u(x) đạo hàm liên tục trên đoạn [a;b] và a ≤ u(x) ≤ b với mọi x ∈ [a;b] sao cho f(x) = g(u(x))u'(x) , g(u) liên tục trên đoạn [α;β] thì 
Từ định lý 2 ta rút ra các bước đổi biến số
1. Đặt u = u(x),
2. Biến đổi f(x)dx = g(u)du.
3. Tìm một nguyên hàm G(u) của g(u) .
4. Tính
.
5. Kết luận 
2. Phương pháp tích phân từng phần.
Tương tự tính nguyên hàm từng phần, ta có định lý sau:
Nếu u = u(x) và v = v(x) là hai hàm số có đạo hàm liên tục trên đoạn [a;b] thì
hay 
hay
.
Một số cách đặt tích phân từng phần thường gặp với
:

B. CÁC DẠNG TOÁN VÀ VÍ DỤ MINH HOẠ
1. Phương pháp đổi biến số
Dạng 1: Đổi biến số với các hàm vô tỉ quen thuộc
Phương pháp giải: Thực hiện theo các bước ở lý thuyết.
Chú ý:
- Trong biểu thức của f(x)dx có chứa căn thì đặt căn đó bằng t.
- Trong biểu thức của f(x)dx có chứa biểu thức lũy thừa bậc cao thì đặt biểu thức đó bằng t.
- Trong biểu thức của f(x)dx có chứa hàm mũ với biểu thức trên mũ là một hàm số thì đặt biểu thức trên mũ bằng t.
Ví dụ minh họa:
Ví dụ 1: Tính các tích phân sau bằng phương pháp đổi biến số:

Lời giải
Chú ý: Đổi biến nhớ phải đổi cận.
a) Đặt
Đổi cận 
Khi đó 
b) Đặt 
Đổi cận
khi đó 
Dạng 2: Tích phân đổi biến số với hàm ẩn
Phương pháp giải: Thực hiện theo các bước ở lý thuyết.
Chú ý tính chất:
(tích phân không phụ thuộc vào biến).
Ví dụ minh họa:
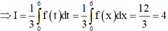
Ví dụ 2: Cho hàm số f(x) liên tục trên R thỏa mãn
Tính tích phân
A. I = 6 B. I = 36
C. I = 2 D. I = 4
Lời giải
Ta có: 
Đổi biến: Đặt t = 3x => dt = 3dx
Đổi cận: x = 0 thì t = 0; x = 2 thì t = 3.2 = 6
(tích phân không phụ thuộc vào biến)
Chọn D
Dạng 3: Tích phân đổi biến số với hàm số chẵn, hàm số lẻ
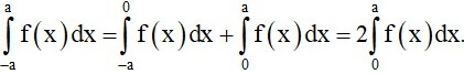
Bài toán tổng quát: Giả sử hàm số f(x) liên tục trên đoạn [-a; a]. Chứng minh rằng:
a)
nếu f(x) là hàm số chẵn.
b)
nếu f(x) là hàm số lẻ.
Phương pháp giải
a) Hàm số f(x) là hàm chẵn thì
Ta có:

Do đó
b) Hàm số f(x) là hàm lẻ thì f(-x) = f(x)
Ta có:

Do đó 
Ví dụ minh họa
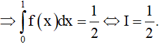
Ví dụ 3: Cho hàm số y = f(x) liên tục trên đoạn [0; 1] thỏa mãn f(x) + 2f(1 - x) = 3x, ∀x ∈ R
Tính tích phân 

Lời giải
Cách 1: Ta có f(x) + 2f(1 - x) = 3x

Đặt t = 1 - x => dt = - dx => 

Suy ra 

Chọn C.
Cách 2: Ta có f(x) + 2f(1 - x) = 3x
=> f(1 - x) +2f(x) = 3(1 - x) = 3 - 3x
Khi đó 
Lấy 2.(2) - (1) ta được 3f(x) = 2(3 - 3x) - 3x <=> f(x) = 2 - 3x
Vậy 
Chọn C.
Dạng 4. Tích phân hàm phân thức hữu tỉ
Phương pháp giải: Thực hiện theo các bước ở lý thuyết.
Chú ý: Cách phân tích hàm phân thức hữu tỉ (giống phần nguyên hàm): Sử dụng phương pháp đồng nhất hệ số để phân tích.
Ví dụ minh họa
Ví dụ 4. Tính tích phân 

Lời giải
Đặt 1 + x = u => dx = du
Đổi cận x = 0; u = 1; x = 3 => u = 4;
Khi đó

Chọn D.
2. Phương pháp tích phân từng phần
Phương pháp giải: Sử dụng công thức tích phân từng phần

Chú ý: Cách chọn u, v (theo bảng đã cho ở phần lý thuyết)
Ví dụ minh họa
Ví dụ 1: Cho tích phân
K.hẳng định nào sau đây đúng?

Lời giải
Ta có 
Theo công thức tích phân từng phần:
Chọn D.
Ví dụ 2: Cho tích phân
.Khẳng định nào dưới đây là khẳng định đúng?
A. a = 3b.
B. a = – 3b.
C. a + b = 40.
D. a – b = 20.
Lời giải
Đặt 
Theo công thức tích phân từng phần

Chọn B.
Ví dụ 3. Cho với
Lúc này S = a + b + c có giá trị bằng

Lời giải
Ta có
Đặt
Đặt 
Theo công thức tích phân từng phần ta có
Từ (1); (2) ta có

Chọn D.
C. BÀI TẬP TỰ LUYỆN.
Câu 1. Cho hàm số f liên tục trên R và hai số thực a < b. Nếu
thì tích phân
có giá trị bằng

Câu 2. Bài toán tính tích phân
được một học sinh giải theo ba bước sau:

Học sinh này giải đúng hay sai? Nếu sai thì sai từ bước nào?
A. Bài giải đúng.
B. Sai từ Bước II.
C. Sai từ Bước I.
D. Sai ở Bước III.
Câu 3. Bài toán tính tích phân
được một học sinh giải theo ba bước sau:

Học sinh này giải đúng hay sai? Nếu sai thì sai từ bước nào?
A. Sai từ Bước I.
B. Sai ở Bước III.
C. Sai từ Bước II.
D. Bài giải đúng.
Câu 4. Cho tích phân:
.Đặt
.Khi đó I bằng

Câu 5. Tích phân
bằng

Câu 6. Tích phân
bằng

Câu 7. Tìm m để
?
A. 0. B. 9.
C. 7. D. 2.
Câu 8. Tích phân
có giá trị là

Câu 9. Giá trị của tích phân
là
A. ln2. B. ln3.
C. 2ln2. D. 2ln3.
Câu 10. Giá trị của tích phân
là

Câu 11. Giá trị của tích phân
là

Câu 12. Giá trị của tích phân
là

Câu 13. Giá trị của tích phân
là
A. 2ln3. B. ln3.
C. ln2. D. 2ln2.
Câu 14. Giá trị của tích phân
là

Câu 15. Biết
. Giá trị của là
A. 2. B. ln2.
C. π. D. 3.
Câu 16. Kết quả phép tính tích phân
có dạng I = aln3 + bln5 (a,b ∈ Z). Khi đó a2 + ab + 3b2 có giá trị là
A. 1. B. 5.
C. 0. D. 4.
Câu 17. Biết rằng
và
. Khi đó biểu thức b2 + a3 + 3a2 + 2a có giá trị bằng
A. 5. B. 4.
C. 7. D. 3.
Câu 18. Giả sử
Tính a + b.

Câu 19. Biết rằng
. Trong đó a, b, c là các số nguyên. Khi đó S = a + b – c bằng bao nhiêu.
A. S = 4. B. S = 3.
C. S = 5. D. S = 2.
Câu 20. Cho hàm số y = f(x) là hàm lẻ và liên tục trên [-4;4], biết
và
. Tính 
A. -10. B. -6.
C. 6. D. 10.
Đáp án
1 |
2 |
3 |
4 |
5 |
6 |
7 |
8 |
9 |
10 |
A |
D |
C |
B |
A |
C |
A |
B |
D |
C |
11 |
12 |
13 |
14 |
15 |
16 |
17 |
18 |
19 |
20 |
A |
B |
C |
A |
A |
B |
C |
D |
B |
B |
(199k) Xem Khóa học Toán 12 KNTTXem Khóa học Toán 12 CDXem Khóa học Toán 12 CTST
Xem thêm phương pháp giải các dạng bài tập Toán lớp 12 hay, chi tiết khác:
- Tích phân của hàm lượng giác và phân thức và cách giải
- Ứng dụng tích phân trong tính diện tích hình phẳng và cách giải
- Ứng dụng tích phân tính thể tích khối tròn xoay và cách giải
- Ứng dụng tích phân trong các bài toán thực tế và cách giải
- Tính chất của nguyên hàm và cách giải bài tập
Đã có app VietJack trên điện thoại, giải bài tập SGK, SBT Soạn văn, Văn mẫu, Thi online, Bài giảng....miễn phí. Tải ngay ứng dụng trên Android và iOS.
Theo dõi chúng tôi miễn phí trên mạng xã hội facebook và youtube:Nếu thấy hay, hãy động viên và chia sẻ nhé! Các bình luận không phù hợp với nội quy bình luận trang web sẽ bị cấm bình luận vĩnh viễn.
- Giải Tiếng Anh 12 Global Success
- Giải sgk Tiếng Anh 12 Smart World
- Giải sgk Tiếng Anh 12 Friends Global
- Lớp 12 Kết nối tri thức
- Soạn văn 12 (hay nhất) - KNTT
- Soạn văn 12 (ngắn nhất) - KNTT
- Giải sgk Toán 12 - KNTT
- Giải sgk Vật Lí 12 - KNTT
- Giải sgk Hóa học 12 - KNTT
- Giải sgk Sinh học 12 - KNTT
- Giải sgk Lịch Sử 12 - KNTT
- Giải sgk Địa Lí 12 - KNTT
- Giải sgk Giáo dục KTPL 12 - KNTT
- Giải sgk Tin học 12 - KNTT
- Giải sgk Công nghệ 12 - KNTT
- Giải sgk Hoạt động trải nghiệm 12 - KNTT
- Giải sgk Giáo dục quốc phòng 12 - KNTT
- Giải sgk Âm nhạc 12 - KNTT
- Giải sgk Mĩ thuật 12 - KNTT
- Lớp 12 Chân trời sáng tạo
- Soạn văn 12 (hay nhất) - CTST
- Soạn văn 12 (ngắn nhất) - CTST
- Giải sgk Toán 12 - CTST
- Giải sgk Vật Lí 12 - CTST
- Giải sgk Hóa học 12 - CTST
- Giải sgk Sinh học 12 - CTST
- Giải sgk Lịch Sử 12 - CTST
- Giải sgk Địa Lí 12 - CTST
- Giải sgk Giáo dục KTPL 12 - CTST
- Giải sgk Tin học 12 - CTST
- Giải sgk Hoạt động trải nghiệm 12 - CTST
- Giải sgk Âm nhạc 12 - CTST
- Lớp 12 Cánh diều
- Soạn văn 12 Cánh diều (hay nhất)
- Soạn văn 12 Cánh diều (ngắn nhất)
- Giải sgk Toán 12 Cánh diều
- Giải sgk Vật Lí 12 - Cánh diều
- Giải sgk Hóa học 12 - Cánh diều
- Giải sgk Sinh học 12 - Cánh diều
- Giải sgk Lịch Sử 12 - Cánh diều
- Giải sgk Địa Lí 12 - Cánh diều
- Giải sgk Giáo dục KTPL 12 - Cánh diều
- Giải sgk Tin học 12 - Cánh diều
- Giải sgk Công nghệ 12 - Cánh diều
- Giải sgk Hoạt động trải nghiệm 12 - Cánh diều
- Giải sgk Giáo dục quốc phòng 12 - Cánh diều
- Giải sgk Âm nhạc 12 - Cánh diều


Giải bài tập SGK & SBT
Tài liệu giáo viên
Sách
Khóa học
Thi online
Hỏi đáp

