Ứng dụng tích phân tính thể tích khối tròn xoay và cách giải (hay, chi tiết)
Với loạt Ứng dụng tích phân tính thể tích khối tròn xoay và cách giải sẽ giúp học sinh nắm vững lý thuyết, biết cách làm bài tập từ đó có kế hoạch ôn tập hiệu quả để đạt kết quả cao trong các bài thi môn Toán 12.
Ứng dụng tích phân tính thể tích khối tròn xoay và cách giải
(199k) Xem Khóa học Toán 12 KNTTXem Khóa học Toán 12 CDXem Khóa học Toán 12 CTST
A. LÝ THUYẾT VÀ PHƯƠNG PHÁP GIẢI
1. Tính thể tích của vật thể.
Cho H là một vật thể nằm giới hạn giữa hai mặt phẳng (P) và (Q) vuông góc với trục Ox lần lượt tại x = a và x = b (a < b). Gọi S(x) là diện tích thiết diện của vật thể bị cắt bởi mặt phẳng vuông góc với trục hoành tại điểm có hoành độ x (a ≤ x ≤ b). Giả sử S(x) là một hàm liên tục trên [a; b].
Khi đó thể tích V của H là
. (hình dưới)
2. Tính thể tích khối tròn xoay.
Bài toán 1. Thể tích khối tròn xoay quay quanh trục Ox
Tính thể tích vật thể tròn xoay khi quay miền D được giới hạn bởi các đường y = f(x); y = 0; x = a; x = b quanh trục Ox được tính theo công thức

Chú ý: Nếu hình phẳng D được giới hạn bởi các đường y = f(x); y = g(x) và hai đường x = a; x = b (với f(x).g(x) ≥ 0, ∀x ∈ [a;b]) thì thể tích khối tròn xoay sinh bởi khi quay D quanh trục Ox được tính bởi công thức:

Bài toán 2. Thể tích khối tròn xoay quay quanh trục Oy
Tính thể tích khối tròn xoay sinh ra khi quay hình phẳng D giới hạn bởi các đường x = g(y) , trục tung và hai đường y = a; y = b quanh trục Oy được tính theo công thức
- Cho hàm số y = f(x) liên tục, không âm trên đoạn . Hình phẳng giới hạn bởi đồ thị hàm số y = f(x), trục hoành và hai đường thẳng x = a; x = b quay quanh trục tung tạo nên một khối xoay. Thể tích V của khối tròn xoay đó là
Chú ý: Khi bài toán không cho hai đường thẳng giới hạn x = a và x = b thì ta giải phương trình f(x) = g(x) để tìm cận của tích phân, trong đó x = a là nghiệm nhỏ nhất và x = b là nghiệm lớn nhất của phương trình.
B. VÍ DỤ MINH HOẠ.
Ví dụ 1. Thể tích của khối tròn xoay thu được khi quay hình phẳng được giới hạn bởi đường cong y = sinx, trục hoành và hai đường thẳng x = 0;x = π (hình vẽ) quanh trục Ox là

Lời giải
Áp dụng công thức ở định lý trên ta có

Chọn B.
Ví dụ 2. Tính thể tích khối tròn xoay thu được khi quay hình phẳng được giới hạn bởi đường cong
và trục hoành quanh trục hoành.
Lời giải
Ta thấy
Do
với mọi x, do vậy đây là phương trình nửa đường tròn tâm O, bán kính R = A nằm phía trên trục Ox. Khi quay quanh trục Ox thì hình phẳng sẽ tạo nên một khối cầu tâm O, bán kính R = A (hình vẽ). Do vậy ta có luôn
Vậy với bài toán dạng này, ta không cần viết công thức tích phân mà kết luận luôn theo công thức tính thể tích khối cầu.
Ví dụ 3. Cho hình phẳng (H) giới hạn bởi các đường y = x2; x = 0; x = 2. Tính thể tích V của khối tròn xoay thu được khi quay (H) quanh trục Ox.

Lời giải
Thể tích cần tính là
Chọn D.
Ví dụ 4. Tính thể tích hình khối do hình phẳng giới hạn bởi các đường x = -y2 + 5; x = 3 - y quay quanh Oy.

Lời giải:
Phương trình tung độ giao điểm là: 

Vậy 
Chọn D.
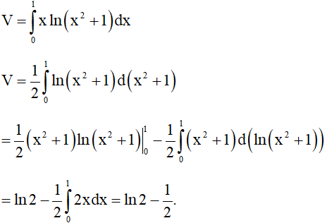
Ví dụ 5. Tính thể tích của vật thể nằm giữa hai mặt phẳng x = 0 và x = 1, biết thiết diện của vật thể cắt bởi mặt phẳng (P) vuông góc với trục Ox tại điểm có hoành độ x (0 ≤ x ≤ 1) là một hình chữ nhật có độ dài hai cạnh là x và ln(x2 + 1).

Lời giải:
Do thiết diện là hình chữ nhật nên diện tích thiết diện là: S(x) = xln(x2 + 1)
Ta có thể tích cần tính là

Chọn C.
C. BÀI TẬP TỰ LUYỆN.
Câu 1. Viết công thức tính thể tích V của khối tròn xoay được tạo ra khi quay hình thang cong, giới hạn bởi đồ thị hàm số y = f(x) trục Ox và hai đường thẳng x = a, x = b (a < b) xung quanh trục Ox.

Câu 2. Viết công thức tính thể tích V của phần vật thể giới hạn bởi hai mặt phẳng vuông góc với trục Ox tại các điểm x = a, x = b (a < b), có thiết diện bị cắt bởi mặt phẳng vuông góc với trục Ox tại điểm có hoành độ x (a ≤ x ≤ b) là S(x).

Câu 3. Cho hình phẳng D giới hạn bởi đường cong
, trục hoành và các đường thẳng
. Khối tròn xoay tạo thành khi quay D quanh trục hoành có thể tích V bằng bao nhiêu ?
A. V = π - 1
B. V = (π - 1)π
C. V = (π + 1)π
D. V = π + 1
Câu 4. Hình phẳng C giới hạn bởi các đường y = x2 + 1 , trục tung và tiếp tuyến của đồ thị hàm số y = x2 + 1 tại điểm (1; 2), khi quay quanh trục Ox tạo thành khối tròn xoay có thể tích bằng:

Câu 5. Cho hình phẳng D giới hạn bởi đường cong y = ex, trục hoành và các đường thẳng x = 0; x = 1. Khối tròn xoay tạo thành khi quay D quanh trục hoành có thể tích V bằng bao nhiêu ?

Câu 6. Hình phẳng giới hạn bởi đồ thị hai hàm số y = 2x - x2 và y = x khi quay quanh trục Ox tạo thành khối tròn xoay có thể tích bằng:

Câu 7. Thể tích vật thể tròn xoay sinh ra khi hình phẳng giới hạn bởi các parabol y = 4 - x2 và y = 2 + x2 quay quanh trục Ox là kết quả nào sau đây?
A. V = 10π
B. V = 12π
C. V= 14π
D. V = 16π
Câu 8. Thể tích vật thể tròn xoay sinh ra khi hình phẳng giới hạn bởi các đường 4y = x2 ,y = x qua quanh trục hoành bằng bao nhiêu?

Câu 9. Cho hình phẳng (H) giới hạn bởi các đường
. Tính thể tích của khối tròn xoay tạo thành khi quay hình (H) quanh trục hoành nhận giá trị nào sau đây:

Câu 10. Thể tích của khối tròn xoay tạo nên khi quay quanh trục Ox hình phẳng giới hạn bởi (C): y = lnx, trục Ox và đường thẳng x = e là:
A. V = π(e - 2)
B. V = π(e - 1)
C. V = πe
D. V = π(e + 1)
Câu 11. Thể tích vật thể tròn xoay sinh ra khi hình phẳng giới hạn bởi các đường
quay quanh trục Oy, có giá trị là kết quả nào sau đây?

Câu 12. Tính thể tích V của khối tròn xoay khi quay hình phẳng (H) giới hạn bởi đồ thị hàm số y = x4 - 1 và trục Ox quanh trục Ox.

Câu 13. Tính thể tích V của khối tròn xoay khi quay hình phẳng (H) giới hạn bởi đồ thị hàm số
,đường thẳng x =1 và trục Ox quanh trục Ox.

Câu 14. Tính thể tích V của khối tròn xoay khi quay hình phẳng (H) giới hạn bởi đồ thị hàm số
,đường thẳng x =2 và trục Ox quanh trục Ox.
A. π B. 2π
C. 3π D. 4π
Câu 15. Tính thể tích V của khối tròn xoay khi quay hình phẳng (H) giới hạn bởi đồ thị hàm số
, đường thẳng x = 1, đường thẳng x = 3 và trục Ox quanh trục Ox.

Câu 16. Tính thể tích V của khối tròn xoay khi quay hình phẳng (H) giới hạn bởi đồ thị hàm số y = x2 + 1, đường thẳng x = 0, đường thẳng x = 3 và trục Ox quanh trục Ox.

Câu 17. Tính thể tích V của khối tròn xoay khi quay hình phẳng (H) giới hạn bởi đồ thị hàm số y = x3 + 2,đường thẳng x = -1, đường thẳng x = 1 và trục Ox quanh trục Ox.

Câu 18. Tính thể tích V của khối tròn xoay khi quay hình phẳng (H) giới hạn bởi đồ thị hàm số y = (x + 1)2, trục hoành và trục tung quanh trục Ox.

Câu 19. Tính thể tích V của khối tròn xoay khi quay hình phẳng (H) giới hạn bởi
và trục Ox quanh trục Ox .

Câu 20. Tính thể tích khối tròn xoay khi quay hình phẳng (H) giới hạn bởi (C):y = -x2 + 2x và trục Ox quanh trục Ox.

Câu 21. Thể tích khối tròn xoay khi quay hình phẳng (H) giới hạn bởi đường
, trục hoành và quay quanh trục Ox là:

Câu 22. Tinh thể tích của khối tròn xoay tạo thành khi quay hình phẳng D giới hạn bởi các đường y = tanx hai trục tọa độ và đường thẳng
quanh trục Ox.

Câu 23. Thể tích của khối tròn xoay tạo nên do quay quanh trục hình phẳng giới hạn bởi các đường y = (1 - x2), y = 0,x = 0 và x = 2 bằng:

Câu 24. Cho (H) là hình phẳng giới hạn bởi (P)y = x2 - 4x + 4, y = 0, x = 0, x = 3 .Thể tích V khi quay (H) quanh trục Ox là:

Câu 25. Thể tích vật thể tròn xoay khi quay hình phẳng giới hạn bởi các đường
quanh trục Ox là:
A. π(e2 + e)
B. π(e2 - e)
C. πe2
D. πe
Câu 26. Cho hình chữ nhật ABCD có AB = 4, AD = 8 (như hình vẽ).
Gọi M, N , E, F lần lượt là trung điểm của BC, AD, BN và NC. Tính thể tích V của vật thể tròn xoay khi quay hình tứ giác BEFC quanh trục AB.
A. 100π. B. 96π.
C. 84π. D. 90π
Câu 27. Gọi V là thể tích khối tròn xoay tạo thành khi quay hình phẳng giới hạn bởi các đường
quay quanh trục Ox. Đường thẳng x = a (0 < a < 4) cắt đồ thị hàm số
tại M (hình vẽ bên). Gọi V1 là thể tích khối tròn xoay tạo thành khi quay tam giác OMH quanh trục Ox. Biết rằng V = 2V1. Giá trị của a thỏa mãn là?
A. [3; 4). B. [2; 3).
C. [1; 2). D. (0; 1).
Câu 28. Gọi D là hình phẳng giới hạn bởi đồ thị hàm số
, cung tròn có phương trình
và trục hoành (phần tô đậm trong hình vẽ bên). Tính thể tích V của vật thể tròn xoay sinh bởi khi quay hình phẳng D quanh trục Ox.

Câu 29. Cho hình phẳng giới hạn bởi các đường
, trục hoành và hai đường thẳng x = 0; x = 4 quay xung quanh trục Ox. Thể tích của khối tròn xoay tạo thành bằng:

Câu 30. Thể tích của khối tròn xoay do hình phẳng (H) giới hạn bởi các đường y = sinx; y = 0; x = 0; x = π khi quay xung quanh Ox là:

Đáp án
1 |
2 |
3 |
4 |
5 |
6 |
7 |
8 |
9 |
10 |
11 |
12 |
13 |
14 |
15 |
A |
C |
C |
C |
D |
C |
D |
C |
A |
A |
C |
C |
D |
B |
D |
16 |
17 |
18 |
19 |
20 |
21 |
22 |
23 |
24 |
25 |
26 |
27 |
28 |
29 |
30 |
A |
B |
D |
A |
C |
B |
D |
C |
C |
C |
B |
A |
D |
B |
B |
(199k) Xem Khóa học Toán 12 KNTTXem Khóa học Toán 12 CDXem Khóa học Toán 12 CTST
Xem thêm phương pháp giải các dạng bài tập Toán lớp 12 hay, chi tiết khác:
- Ứng dụng tích phân trong các bài toán thực tế và cách giải
- Tính chất của nguyên hàm và cách giải bài tập
- Các phương pháp tìm nguyên hàm và cách giải
- Nguyên hàm của hàm phân thức hữu tỉ và cách giải
- Nguyên hàm của hàm số lượng giác và cách giải
Đã có app VietJack trên điện thoại, giải bài tập SGK, SBT Soạn văn, Văn mẫu, Thi online, Bài giảng....miễn phí. Tải ngay ứng dụng trên Android và iOS.
Theo dõi chúng tôi miễn phí trên mạng xã hội facebook và youtube:Nếu thấy hay, hãy động viên và chia sẻ nhé! Các bình luận không phù hợp với nội quy bình luận trang web sẽ bị cấm bình luận vĩnh viễn.
- Giải Tiếng Anh 12 Global Success
- Giải sgk Tiếng Anh 12 Smart World
- Giải sgk Tiếng Anh 12 Friends Global
- Lớp 12 Kết nối tri thức
- Soạn văn 12 (hay nhất) - KNTT
- Soạn văn 12 (ngắn nhất) - KNTT
- Giải sgk Toán 12 - KNTT
- Giải sgk Vật Lí 12 - KNTT
- Giải sgk Hóa học 12 - KNTT
- Giải sgk Sinh học 12 - KNTT
- Giải sgk Lịch Sử 12 - KNTT
- Giải sgk Địa Lí 12 - KNTT
- Giải sgk Giáo dục KTPL 12 - KNTT
- Giải sgk Tin học 12 - KNTT
- Giải sgk Công nghệ 12 - KNTT
- Giải sgk Hoạt động trải nghiệm 12 - KNTT
- Giải sgk Giáo dục quốc phòng 12 - KNTT
- Giải sgk Âm nhạc 12 - KNTT
- Giải sgk Mĩ thuật 12 - KNTT
- Lớp 12 Chân trời sáng tạo
- Soạn văn 12 (hay nhất) - CTST
- Soạn văn 12 (ngắn nhất) - CTST
- Giải sgk Toán 12 - CTST
- Giải sgk Vật Lí 12 - CTST
- Giải sgk Hóa học 12 - CTST
- Giải sgk Sinh học 12 - CTST
- Giải sgk Lịch Sử 12 - CTST
- Giải sgk Địa Lí 12 - CTST
- Giải sgk Giáo dục KTPL 12 - CTST
- Giải sgk Tin học 12 - CTST
- Giải sgk Hoạt động trải nghiệm 12 - CTST
- Giải sgk Âm nhạc 12 - CTST
- Lớp 12 Cánh diều
- Soạn văn 12 Cánh diều (hay nhất)
- Soạn văn 12 Cánh diều (ngắn nhất)
- Giải sgk Toán 12 Cánh diều
- Giải sgk Vật Lí 12 - Cánh diều
- Giải sgk Hóa học 12 - Cánh diều
- Giải sgk Sinh học 12 - Cánh diều
- Giải sgk Lịch Sử 12 - Cánh diều
- Giải sgk Địa Lí 12 - Cánh diều
- Giải sgk Giáo dục KTPL 12 - Cánh diều
- Giải sgk Tin học 12 - Cánh diều
- Giải sgk Công nghệ 12 - Cánh diều
- Giải sgk Hoạt động trải nghiệm 12 - Cánh diều
- Giải sgk Giáo dục quốc phòng 12 - Cánh diều
- Giải sgk Âm nhạc 12 - Cánh diều


Giải bài tập SGK & SBT
Tài liệu giáo viên
Sách
Khóa học
Thi online
Hỏi đáp

