Nguyên hàm của hàm phân thức hữu tỉ và cách giải (hay, chi tiết)
Với loạt Nguyên hàm của hàm phân thức hữu tỉ và cách giải sẽ giúp học sinh nắm vững lý thuyết, biết cách làm bài tập từ đó có kế hoạch ôn tập hiệu quả để đạt kết quả cao trong các bài thi môn Toán 12.
Nguyên hàm của hàm phân thức hữu tỉ và cách giải
(199k) Xem Khóa học Toán 12 KNTTXem Khóa học Toán 12 CDXem Khóa học Toán 12 CTST
A. LÝ THUYẾT VÀ PHƯƠNG PHÁP GIẢI.
Cho hàm số y = f(x) có dạng
trong đó P và Q là các đa thức, và P không chia hết cho Q.
- Hàm f(x) được gọi là hàm phân thức hữu tỉ thực sự nếu bậc của P < bậc của Q.
- Trong các bài toán tìm nguyên hàm và tích phân của hàm phân thức hữu tỉ, nếu f(x) chưa phải là hàm phân thức hữu tỉ thực sự thì ta thực hiện chia tử thức cho mẫu thức để được
Khi đó,h(x) sẽ là hàm phân thức hữu tỉ thực sự.
Ta có: Một phân thức thực sự luôn phân tích được thành tổng các phân thức đơn giản hơn. Đó là các biểu thức có dạng
là các hàm số có thể tìm nguyên hàm một cách dễ dàng. Để tách được phân thức ta dùng phương pháp hệ số bất định.
1. Trường hợp phương trình Q(x) = 0 có nghiệm thực và các nghiệm đều là nghiệm đơn.
Q(x) = (a1x +b1)(a2x +b2)...(akx +bk)
(Số nhân tử chính bằng bậc của đa thức Q(x)).
Trong trường hợp này, g(x) có thể biểu diễn dưới dạng:

Sau khi biểu diễn được g(x) về dạng này, bài toán trở thành bài toán cơ bản.
Ví dụ về cách phân tích:

Khi đó (A + B)x - 2A - B = 4x - 3, đồng nhất hệ số thì ta được

Khi đó ta được:
2. Trường hợp Q(x) = 0 có nghiệm thực là nghiệm bội.
- Nếu phương trình Q(x) = 0 có các nghiệm thực a1;a2;...;an trong đó a1 là nghiệm bội k thì ta phân tích
về dạng

Ví dụ về cách phân tích:

Từ đây, đồng nhất hệ số ta có 
Khi đó:
TỔNG QUÁT: Việc tính nguyên hàm của hàm phân thức hữu tỉ thực sự sau khi phân tích được đưa về các dạng nguyên hàm sau:

3. Mở rộng: Nguyên hàm hàm phân thức chứa căn ở mẫu thức
3.1. Dạng 1:
Phương pháp chung
Ta có

3.2. Dạng 2:
Phương pháp chung
Ta có

3.3. Dạng 3:
Phương pháp chung
Đặt :

4. Nguyên hàm của một số nguyên hàm liên quan trong dạng bài này.

B. VÍ DỤ MINH HOẠ.
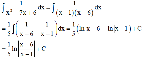
Ví dụ 1. Nguyên hàm
là:

Lời giải

Đáp án đúng là B.
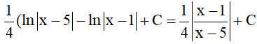
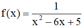
Ví dụ 2. Nguyên hàm
là:

Lời giải
Ta có:

Đáp án đúng là D.
C. BÀI TẬP TỰ LUYỆN.
Câu 1. Tìm nguyên hàm của hàm số
với F(0) = 8 là:

Câu 2.
bằng:

Câu 3.
bằng:
A. 3ln|x-2| - 2ln|x-1| + C
B. 3ln|x-2| + 2ln|x-1| + C
C. 2ln|x-2| - 3ln|x-1| + C
D. 2ln|x-2| + 3ln|x-1| + C
Câu 4.
bằng:

Câu 5. Tìm nguyên hàm:
.

Câu 6.
bằng:

Câu 7. Cho hàm
.Khi đó:

Câu 8. Họ nguyên hàm F(x) của hàm số
là

Câu 9. Gọi F(x) là nguyên hàm của hàm số
thỏa mãn
. Khi đó F(3) bằng:
A. 2ln2 B. ln2
C. -2ln2 D. –ln2
Câu 10. Tìm nguyên hàm của hàm số f(x) biết

Câu 11. Tính

Câu 12. Họ nguyên hàm của
là:

Câu 13. Nếu là một nguyên hàm của hàm
thì hằng số C bằng

Câu 14. Nguyên hàm của hàm số:
là:

Câu 15. Nguyên hàm của hàm số:
là:

Câu 16. Để tìm họ nguyên hàm của hàm số:
.Một học sinh trình bày như sau:
(I) 
(II) Nguyên hàm của các hàm số
theo thứ tự là:
(III) Họ nguyên hàm của hàm số f(x) là:
Nếu sai, thì sai ở phần nào?
A. I B. I, II
C. II, III D. III
Câu 17. Tính:

Câu 18. Hàm số nào dưới đây là một nguyên hàm của hàm số:

Câu 19. Tính nguyên hàm
?

Câu 20. Nguyên hàm của hàm số

Đáp án
1 |
2 |
3 |
4 |
5 |
6 |
7 |
8 |
9 |
10 |
A |
B |
A |
C |
D |
A |
D |
A |
D |
D |
11 |
12 |
13 |
14 |
15 |
16 |
17 |
18 |
19 |
20 |
D |
B |
D |
B |
A |
D |
B |
D |
D |
B |
(199k) Xem Khóa học Toán 12 KNTTXem Khóa học Toán 12 CDXem Khóa học Toán 12 CTST
Xem thêm phương pháp giải các dạng bài tập Toán lớp 12 hay, chi tiết khác:
- Nguyên hàm của hàm số lượng giác và cách giải
- Tính chất của tích phân và cách giải bài tập
- Các phương pháp tính tích phân và cách giải
- Tích phân của hàm lượng giác và phân thức và cách giải
- Ứng dụng tích phân trong tính diện tích hình phẳng và cách giải
Đã có app VietJack trên điện thoại, giải bài tập SGK, SBT Soạn văn, Văn mẫu, Thi online, Bài giảng....miễn phí. Tải ngay ứng dụng trên Android và iOS.
Theo dõi chúng tôi miễn phí trên mạng xã hội facebook và youtube:Nếu thấy hay, hãy động viên và chia sẻ nhé! Các bình luận không phù hợp với nội quy bình luận trang web sẽ bị cấm bình luận vĩnh viễn.
- Giải Tiếng Anh 12 Global Success
- Giải sgk Tiếng Anh 12 Smart World
- Giải sgk Tiếng Anh 12 Friends Global
- Lớp 12 Kết nối tri thức
- Soạn văn 12 (hay nhất) - KNTT
- Soạn văn 12 (ngắn nhất) - KNTT
- Giải sgk Toán 12 - KNTT
- Giải sgk Vật Lí 12 - KNTT
- Giải sgk Hóa học 12 - KNTT
- Giải sgk Sinh học 12 - KNTT
- Giải sgk Lịch Sử 12 - KNTT
- Giải sgk Địa Lí 12 - KNTT
- Giải sgk Giáo dục KTPL 12 - KNTT
- Giải sgk Tin học 12 - KNTT
- Giải sgk Công nghệ 12 - KNTT
- Giải sgk Hoạt động trải nghiệm 12 - KNTT
- Giải sgk Giáo dục quốc phòng 12 - KNTT
- Giải sgk Âm nhạc 12 - KNTT
- Giải sgk Mĩ thuật 12 - KNTT
- Lớp 12 Chân trời sáng tạo
- Soạn văn 12 (hay nhất) - CTST
- Soạn văn 12 (ngắn nhất) - CTST
- Giải sgk Toán 12 - CTST
- Giải sgk Vật Lí 12 - CTST
- Giải sgk Hóa học 12 - CTST
- Giải sgk Sinh học 12 - CTST
- Giải sgk Lịch Sử 12 - CTST
- Giải sgk Địa Lí 12 - CTST
- Giải sgk Giáo dục KTPL 12 - CTST
- Giải sgk Tin học 12 - CTST
- Giải sgk Hoạt động trải nghiệm 12 - CTST
- Giải sgk Âm nhạc 12 - CTST
- Lớp 12 Cánh diều
- Soạn văn 12 Cánh diều (hay nhất)
- Soạn văn 12 Cánh diều (ngắn nhất)
- Giải sgk Toán 12 Cánh diều
- Giải sgk Vật Lí 12 - Cánh diều
- Giải sgk Hóa học 12 - Cánh diều
- Giải sgk Sinh học 12 - Cánh diều
- Giải sgk Lịch Sử 12 - Cánh diều
- Giải sgk Địa Lí 12 - Cánh diều
- Giải sgk Giáo dục KTPL 12 - Cánh diều
- Giải sgk Tin học 12 - Cánh diều
- Giải sgk Công nghệ 12 - Cánh diều
- Giải sgk Hoạt động trải nghiệm 12 - Cánh diều
- Giải sgk Giáo dục quốc phòng 12 - Cánh diều
- Giải sgk Âm nhạc 12 - Cánh diều


Giải bài tập SGK & SBT
Tài liệu giáo viên
Sách
Khóa học
Thi online
Hỏi đáp

