Tính chất của tích phân và cách giải bài tập (hay, chi tiết)
Với loạt Tính chất của tích phân và cách giải bài tập sẽ giúp học sinh nắm vững lý thuyết, biết cách làm bài tập từ đó có kế hoạch ôn tập hiệu quả để đạt kết quả cao trong các bài thi môn Toán 12.
Tính chất của tích phân và cách giải bài tập
(199k) Xem Khóa học Toán 12 KNTTXem Khóa học Toán 12 CDXem Khóa học Toán 12 CTST
A. LÝ THUYẾT.
1. Định nghĩa.
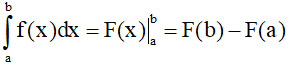
Cho f là hàm số liên tục trên đoạn [a;b] .Giả sử F là một nguyên hàm của f trên [a;b].Hiệu số F(b) - F(a) được gọi là tích phân từ a đến b (hay tích phân xác định trên đoạn [a;b] của hàm số f(x) kí hiệu là
Ta dùng kí hiệu
để chỉ hiệu số F(b) - F(a) .
Vậy
.
Ta gọi
là dấu tích phân, a là cận dưới, b là cận trên, f(x)dx là biểu thức dưới dấu tích phân và f(x) là hàm số dưới dấu tích phân.
Chú ý: Trong trường hợp a = b hoặc a > b, ta quy ước
;
Nhận xét: Tích phân của hàm số f từ a đến b có thể kí hiệu bởi
hay
.Tích phân đó chỉ phụ thuộc vào f và các cận a, b mà không phụ thuộc vào cách ghi biến số.
Ý nghĩa hình học của tích phân: Nếu hàm số f liên tục và không âm trên đoạn [a;b] thì tích phân
là diện tích S của hình thang cong giới hạn bởi đồ thị hàm số y = f(x) , trục Ox và hai đường thẳng x = a, x = b. Vậy
2. Tính chất của tích phân

Chú ý: Mở rộng của tính chất 3.

3. Định lý.
Tích phân của hàm lẻ và hàm chẵn trên R.
- Nếu f là một hàm số chẵn, khi đó
- Nếu f là một hàm số lẻ, khi đó
.
4. Các tính chất bổ sung.

Hệ quả: Nếu hai hàm số f(x) và g(x) liên tục và thỏa mãn

B. PHƯƠNG PHÁP GIẢI VÀ VÍ DỤ MINH HOẠ.
1. Phương pháp giải:
Cho hàm số y = f(x) liên tục trên K và a, b là hai số bất kì thuộc K. Nếu F là một nguyên hàm của f trên K thì:
.
Như vậy, để tính tích phân của 1 hàm số ta cần:
• Bước 1: Xác định F(x) là nguyên hàm của hàm số.
• Bước 2. Tính F(b) − F(a).
- Chú ý: Sử dụng tính chất cơ bản của tích phân đã nêu ở phần lý thuyết để phân tích bài toán, đưa các hàm số dưới dấu tích phân về dạng cơ bản để xác định được nguyên hàm của hàm số một cách dễ dàng.
2. Ví dụ minh họa
Ví dụ 1. Tính
ta thu được kết quả là:

Lời giải
Ta có :

Chọn B.
Ví dụ 2: Tính tích phân 
Lời giải
Nhận xét:
Do đó:

Vậy I = 5.
Ví dụ 3: Biết F(x) là một nguyên hàm của hàm số f(x) trên đoạn [a; b] và 3F(a) - 2 = 3F(b). Tính tích phân

Lời giải
Ta có:

Do đó
Chọn D
Ví dụ 4: Cho các tích phân
.Tính
A. I = 2 B. I = 6
C. I = - 2 D. I = - 6
Lời giải
Ta có:
(tích phân không phụ thuộc vào biến)
Lại có:

Chọn A.
Ví dụ 5: Cho
. Tính

Lời giải
Ta có:

Chọn A.
C. BÀI TẬP TỰ LUYỆN.
Câu 1.
bằng:

Câu 2.
bằng:

Câu 3.
bằng:

Câu 4.
bằng:
A. 5 B. 4
C. 3 D. 2
Câu 5.
bằng:

Câu 6. Kết quả của tích phân

Câu 7. Tích phân
A. 0 B. 2
C. 8 D. 4
Câu 8. Tích phân
bằng

Câu 9. Tính
?
A. 2ln3 B. ln3
C. ln2 D. ln6
Câu 10. Nếu
bằng
A. -1. B. -11.
C. 1. D. 11.
Câu 11. Cho biết
. Giá trị của
là:
A. Chưa xác định được B. 12
C. 3 D. 6
Câu 12. Cho
. Tìm I?

Câu 13. Nếu
bằng:
A. 5 B. 29
C. - 5 D. 15
Câu 14. f và g là hai hàm số theo x. Biết rằng ∀x ∈ [a,b], f'(x) = g'(x)
Trong các mệnh đề:

Mệnh đề nào đúng?
A. I B. II
C. Không có D. III
Câu 15. Để
thì giá trị của là bao nhiêu ?
A. 1 B. 3
C. 2 D. 4
Câu 16. Nếu
bằng:
A. 3 B. 17
C. 170 D. - 3
Câu 17. Tìm a sao cho 
A. Đáp án khác B. a = - 3
C. a = 5 D. a = 3
Câu 18. Biết
khi đó b nhận giá trị bằng:
A. b = 1 hoặc b = 4
B. b = 0 hoặc b = 2
C. b = 1 hoặc b = 2
D. b = 0 hoặc b = 4
Câu 19. Cho
. Khi đó khẳng định nào sau đây là đúng
A. a = - b B. a < b
C. a > b D. a = b
Câu 20. Nếu
, với a < d < b thì
bằng:
A. - 2 B. 3
C. 8 D. 0
Câu 21. Cho tích phân
, trong các kết quả sau:

Kết quả nào đúng?
A. Chỉ II. B. Chỉ III.
C. Cả I, II, III. D. Chỉ I.
Câu 22. Cho hàm số y = f(x) liên tục và chỉ triệt tiêu khi x = c trên [a; b]. Các kết quả sau, câu nào đúng?

Câu 23. Khẳng định nào sau đây sai về kết quả 
A. a.b = 3(c + 1)
B. ac = b + 3
C. a + b + 2c = 10
D. ab = c + 1
Câu 24. Cho f(x) là hàm số chẵn và liên tục trên R thỏa mãn
. Khi đó giá trị tích phân
là:

Câu 25. Cho hàm số f liên tục trên đoạn [a; b] có một nguyên hàm là hàm F trên đoạn [a; b]. Trong các phát biểu sau, phát biểu nào sai ?

Câu 26. Cho hai hàm số f và g liên tục trên đoạn [a; b] sao cho g(x) ≠ 0 với mọi x ∈ [a;b]. Xét các khẳng định sau:

Trong các khẳng định trên, có bao nhiêu khẳng định sai?
A. 1. B. 2.
C. 3. D. 4.
Câu 27. Trong các mệnh đề sau, mệnh đề nào đúng?

Câu 28. Tích phân
(với k là hằng số ) có giá trị bằng:
A. k(e2 - 1)
B. e2 - 1
C. k(e2 - e)
D. e2 - e
Câu 29. Tích phân
có giá trị bằng

Câu 30. Giá trị của a để đẳng thức
là đẳng thức đúng
A. 4. B. 3.
C. 5. D. 6.
Đáp án
1 |
2 |
3 |
4 |
5 |
6 |
7 |
8 |
9 |
10 |
11 |
12 |
13 |
14 |
15 |
A |
B |
C |
D |
D |
C |
D |
C |
D |
D |
B |
C |
A |
C |
D |
16 |
17 |
18 |
19 |
20 |
21 |
22 |
23 |
24 |
25 |
26 |
27 |
28 |
29 |
30 |
A |
A |
D |
D |
B |
A |
B |
D |
B |
C |
B |
A |
A |
B |
B |
(199k) Xem Khóa học Toán 12 KNTTXem Khóa học Toán 12 CDXem Khóa học Toán 12 CTST
Xem thêm phương pháp giải các dạng bài tập Toán lớp 12 hay, chi tiết khác:
- Các phương pháp tính tích phân và cách giải
- Tích phân của hàm lượng giác và phân thức và cách giải
- Ứng dụng tích phân trong tính diện tích hình phẳng và cách giải
- Ứng dụng tích phân tính thể tích khối tròn xoay và cách giải
- Ứng dụng tích phân trong các bài toán thực tế và cách giải
Đã có app VietJack trên điện thoại, giải bài tập SGK, SBT Soạn văn, Văn mẫu, Thi online, Bài giảng....miễn phí. Tải ngay ứng dụng trên Android và iOS.
Theo dõi chúng tôi miễn phí trên mạng xã hội facebook và youtube:Nếu thấy hay, hãy động viên và chia sẻ nhé! Các bình luận không phù hợp với nội quy bình luận trang web sẽ bị cấm bình luận vĩnh viễn.
- Giải Tiếng Anh 12 Global Success
- Giải sgk Tiếng Anh 12 Smart World
- Giải sgk Tiếng Anh 12 Friends Global
- Lớp 12 Kết nối tri thức
- Soạn văn 12 (hay nhất) - KNTT
- Soạn văn 12 (ngắn nhất) - KNTT
- Giải sgk Toán 12 - KNTT
- Giải sgk Vật Lí 12 - KNTT
- Giải sgk Hóa học 12 - KNTT
- Giải sgk Sinh học 12 - KNTT
- Giải sgk Lịch Sử 12 - KNTT
- Giải sgk Địa Lí 12 - KNTT
- Giải sgk Giáo dục KTPL 12 - KNTT
- Giải sgk Tin học 12 - KNTT
- Giải sgk Công nghệ 12 - KNTT
- Giải sgk Hoạt động trải nghiệm 12 - KNTT
- Giải sgk Giáo dục quốc phòng 12 - KNTT
- Giải sgk Âm nhạc 12 - KNTT
- Giải sgk Mĩ thuật 12 - KNTT
- Lớp 12 Chân trời sáng tạo
- Soạn văn 12 (hay nhất) - CTST
- Soạn văn 12 (ngắn nhất) - CTST
- Giải sgk Toán 12 - CTST
- Giải sgk Vật Lí 12 - CTST
- Giải sgk Hóa học 12 - CTST
- Giải sgk Sinh học 12 - CTST
- Giải sgk Lịch Sử 12 - CTST
- Giải sgk Địa Lí 12 - CTST
- Giải sgk Giáo dục KTPL 12 - CTST
- Giải sgk Tin học 12 - CTST
- Giải sgk Hoạt động trải nghiệm 12 - CTST
- Giải sgk Âm nhạc 12 - CTST
- Lớp 12 Cánh diều
- Soạn văn 12 Cánh diều (hay nhất)
- Soạn văn 12 Cánh diều (ngắn nhất)
- Giải sgk Toán 12 Cánh diều
- Giải sgk Vật Lí 12 - Cánh diều
- Giải sgk Hóa học 12 - Cánh diều
- Giải sgk Sinh học 12 - Cánh diều
- Giải sgk Lịch Sử 12 - Cánh diều
- Giải sgk Địa Lí 12 - Cánh diều
- Giải sgk Giáo dục KTPL 12 - Cánh diều
- Giải sgk Tin học 12 - Cánh diều
- Giải sgk Công nghệ 12 - Cánh diều
- Giải sgk Hoạt động trải nghiệm 12 - Cánh diều
- Giải sgk Giáo dục quốc phòng 12 - Cánh diều
- Giải sgk Âm nhạc 12 - Cánh diều


Giải bài tập SGK & SBT
Tài liệu giáo viên
Sách
Khóa học
Thi online
Hỏi đáp

