Điểm đặc biệt thuộc đồ thị hàm số cực hay (điểm cố định, điểm có tọa độ nguyên, ...)
Bài viết Điểm đặc biệt thuộc đồ thị hàm số (điểm cố định, điểm có tọa độ nguyên, ...) với phương pháp giải chi tiết giúp học sinh ôn tập, biết cách làm bài tập Điểm đặc biệt thuộc đồ thị hàm số (điểm cố định, điểm có tọa độ nguyên, ...).
Điểm đặc biệt thuộc đồ thị hàm số cực hay (điểm cố định, điểm có tọa độ nguyên, ...)
(199k) Xem Khóa học Toán 12 KNTTXem Khóa học Toán 12 CDXem Khóa học Toán 12 CTST
A. Phương pháp giải & Ví dụ
1. Bài toán tìm điểm cố định của họ đường cong
Xét họ đường cong (Cm) có phương trình y = f(x, m), trong đó f là hàm đa thức theo biến x với m là tham số sao cho bậc của m không quá 2. Hãy tìm những điểm cố định thuộc họ đường cong khi m thay đổi?
Phương pháp giải:
Bước 1: Đưa phương trình y=f(x, m) về dạng phương trình theo ẩn m có dạng sau:
Am+B=0 hoặc Am2 +Bm+C=0.
Bước 2: Cho các hệ số bằng 0, ta thu được hệ phương trình và giải hệ phương trình:
Bước 3: Kết luận
Nếu hệ vô nghiệm thì họ đường cong (Cm) không có điểm cố định.
Nếu hệ có nghiệm thì nghiệm đó là điểm cố định của (Cm).
2. Bài toán tìm điểm có tọa độ nguyên:
Cho đường cong (C) có phương trình y = f(x) (hàm phân thức). Hãy tìm những điểm có tọa độ nguyên của đường cong?
Những điểm có tọa độ nguyên là những điểm sao cho cả hoành độ và tung độ của điểm đó đều là số nguyên.
Phương pháp giải:
Bước 1: Thực hiện phép chia đa thức chia tử số cho mẫu số.
Bước 2: Lí luận để giải bài toán.
3. Bài toán tìm điểm có tính chất đối xứng:
Cho đường cong (C) có phương trình y = f(x). Tìm những điểm đối xứng nhau qua một điểm, qua đường thẳng.
Bài toán 1: Cho đồ thị (C): y = Ax3 + Bx2 + Cx + D trên đồ thị (C) tìm những cặp điểm đối xứng nhau qua điểmI(xI, yI).
Phương pháp giải:
Gọi M(a; Aa3 + Ba2 + Ca + D), N(b; Ab3 + Bb2 + Cb + D) là hai điểm trên (C) đối xứng nhau qua điểm I.
Ta có:
Giải hệ phương trình tìm được a,b từ đó tìm được toạ độ M, N.
Trường hợp đặc biệt : Cho đồ thị (C):y = Ax3 + Bx2 + Cx + D. Trên đồ thị (C) tìm những cặp điểm đối xứng nhau qua gốc tọa độ.
Phương pháp giải:
Gọi M(a, Aa3 + Ba2 + Ca + D), N(b, Ab3 + Bb2 + Cb + D) là hai điểm trên (C) đối xứng nhau qua gốc tọa độ.
Ta có:
Giải hệ phương trình tìm đượca,b từ đó tìm được toạ độ M,N.
Bài toán 3: Cho đồ thị (C):y = Ax3 + Bx2 + Cx + D trên đồ thị (C) tìm những cặp điểm đối xứng nhau qua đường thẳng d:y=A1x + B1.
Phương pháp giải:
Gọi M(a; Aa3 + Ba2 + Ca + D),N(b; Ab3 + Bb2 + Cb + D) là hai điểm trên (C) đối xứng nhau qua đường thẳng d.
(với I là trung điểm của MN và u ⃗_d là vectơ chỉ phương của đường thẳng d).
Giải hệ phương trình tìm được M, N.
Bài toán tìm điểm đặc biệt khác:
Lí thuyết:
Cho hai điểm P(x1; y1); Q(x2; y2 ) ⇒ PQ=.
Cho điểm M(xo; yo ) và đường thẳng d: Ax + By + C = 0, thì khoảng cách từ M đến d là h(M;d)=.
Khoảng cách từ M(xo; yo ) đến tiệm cận đứng x = a là h = |xo - a|.
Khoảng cách từ M(xo; yo )đến tiệm cận ngang y = b là h = |yo - b|.
Chú ý: Những điểm cần tìm thường là hai điểm cực đại, cực tiểu hoặc là giao của một đường thẳng với một đường cong (C) nào đó. Vì vậy trước khi áp dụng công thức, ta cần phải tìm tìm điều kiện tồn tại rồi tìm tọa độ của chúng.
Các bài toán thường gặp:
Bài toán 1: Cho hàm số y = (ax + b)/(cx + d) (c ≠ 0,ad - bc ≠ 0) có đồ thị (C). Hãy tìm trên (C) hai điểm A và B thuộc hai nhánh đồ thị hàm số sao cho khoảng cách AB ngắn nhất.
Phương pháp giải:
(C) có tiệm cận đứng x = -d/c do tính chất của hàm phân thức, đồ thị nằm về hai phía của tiệm cận đứng. Nên gọi hai số α,β là hai số dương.
Nếu A thuộc nhánh trái thì xA < -d/c ⇒ xA = -d/c - α < -d/c; yA = f(xA).
Nếu B thuộc nhánh phải thì xB > -d/c ⇒ xB = -d/c + β > - d/c; yB = f(xB).
Sau đó tính AB2 =(xB - xA )2 + (yB - yA)2 =[(a + β) - (a - α)]2 +(yB - yA)2 .
Áp dụng bất đẳng thức Côsi (Cauchy), ta sẽ tìm ra kết quả.
Bài toán 2: Cho đồ thị hàm số (C) có phương trình y = f(x). Tìm tọa độ điểm M thuộc (C) để tổng khoảng cách từ M đến hai trục tọa độ nhỏ nhất.
Phương pháp giải:
Gọi M(x;y)và tổng khoảng cách từ Mđến hai trục tọa độ là d thì d = |x| + |y|.
Xét các khoảng cách từ Mđến hai trục tọa độ khi M nằm ở các vị trí đặc biệt: Trên trục hoành, trên trục tung.
Sau đó xét tổng quát, những điểm Mcó hoành độ, hoặc tung độ lớn hơn hoành độ hoặc tung độ của M khi nằm trên hai trục thì loại đi không xét đến.
Những điểm còn lại ta đưa về tìm giá trị nhỏ nhất của đồ thi hàm số dựa vào đạo hàm rồi tìm được giá trị nhỏ nhất của d.
Bài toán 3: Cho đồ thị (C) có phương trình y = f(x). Tìm điểm Mtrên (C) sao cho khoảng cách từ M đến Ox bằng klần khoảng cách từ M đến trụcOy.
Phương pháp giải:
Theo đầu bài ta có |y| = k|x| ⇔
Bài toán 4: Cho đồ thị hàm số (C) có phương trình y = f(x) = (ax + b)/(cx + d) (c ≠ 0, ad - bc ≠ 0). Tìm tọa độ điểm M trên (C) sao cho độ dài MIngắn nhất (với I là giao điểm hai tiệm cận).
Phương pháp giải:
Tiệm cận đứng x = (-d)/c; tiệm cận ngang y = a/c.
Ta tìm được tọa độ giao điểm I((-d)/c;a/c)của hai tiệm cận.
Gọi M(xM; yM) là điểm cần tìm. Khi đó:
Sử dụng phương pháp tìm GTLN - GTNN cho hàm số g để thu được kết quả.
Bài toán 5: Cho đồ thị hàm số (C) có phương trình y = f(x) và đường thẳng d:Ax+By+C=0. Tìm điểm I trên (C) sao cho khoảng cách từ I đến d là ngắn nhất.
Phương pháp giải
Gọi I thuộc (C) ⇒ I(xo; yo ); yo = f(xo).
Khoảng cách từ I đến d là g(xo) = h(I;d) =
Khảo sát hàm số y = g(x) để tìm ra điểm I thỏa mãn yêu cầu.
Ví dụ minh họa
Ví dụ 1: Đồ thị của hàm số y = (m - 1)x + 3 - m (m là tham số) luôn đi qua một điểm Mcố định.
Tìm điểm M cố định đó.
Lời giải:
Gọi M(xo; yo) là điểm cố định cần tìm.
Ta có yo=(m - 1)xo + 3 - m,∀m
⇔(xo - 1)m - xo - yo + 3 = 0,∀m⇔ ⇒ M(1; 2).
Vậy điểm cố định cần tìm là M(1;2)
Ví dụ 2: Trên đồ thị (C) của hàm số y=2/(x + 2) có bao nhiêu điểm có tọa độ nguyên?. Tìm các điểm có tọa độ nguyên đó.
Lời giải:
Gọi M(xo; yo) với xo∈Z\{-2},yo∈Z
⇒xo + 2 ∈ {-2; -1; 1; 2}⇒xo ∈ {-4; -3; -1; 0}
Khi đó trên đồ thị (C) có bốn điểm có tọa độ nguyên là M1(-4; -1),M2(-3; -2),M3(-1; 2),M4(0; 1)
Ví dụ 3: Xác định tọa độ điểm M thuộc đồ thị (C) của hàm số y = (x+2)/(2x-1) sao cho M cách đều hai điểm A(2,0) và B(0,2).
Lời giải:
Phương trình đường trung trực đoạn AB là y=x.
Những điểm thuộc đồ thị cách đều A và B có hoành độ là nghiệm của phương trình :
(x + 2)/(2x - 1) = x ⇔ x2 - x - 1 = 0⇔
Hai điểm trên đồ thị thỏa yêu cầu bài toán là ((1 - √5)/2 ,(1 - √5)/2) ; ((1 + √5)/2 ,(1 + √5)/2).
B. Bài tập vận dụng
Bài 1: Đồ thị hàm số y = x3 - 3x2 + mx + m (m là tham số) luôn đi qua một điểm M. Tìm điểm cố định đó.
Lời giải:
Gọi M(xo;yo) là điểm cố định cần tìm.
Ta có yo = xo3 - 3xo2 + mxo+m, ∀m
⇔(xo + 1)m + xo3 - 3xo2 - yo=0, ∀m
Bài 2: Khi m thay đổi đồ thị (Cm) của hàm số y =(1-2m)x4 + 3mx2 - m - 1 đi qua bao nhiêu điểm cố định?
Lời giải:
Gọi M(xo;yo) là điểm cố định cần tìm.
Ta có yo=(1 - 2m)xo4 + 3mxo2 - m - 1,∀m
⇔(2xo4 - 3xo2 + 1)m + yo - xo4 + 1 = 0,∀m
Vậy đồ thị hàm số đã cho đi qua bốn điểm cố định.
Bài 3: Trên đồ thị (C) của hàm số y = (x + 10)/(x + 1) có bao nhiêu điểm có tọa độ nguyên?
Lời giải:
Gọi M(xo; yo) với xo ∈ Z, yo ∈ Z.
⇒ xo + 1 ∈ {-9; -3; -1; 1; 3; 9}⇒xo∈{-10; -4; -2; 0; 2; 8}
⇒ M1(-10;0),M2(-4;-2),M3(-2;-8),M4(0;10),M5(2;4) và M6(8; 2).
Vậy trên đồ thị (C) có sáu điểm có tọa độ là các số nguyên.
Bài 4: Có bao nhiêu cặp điểm thuộc đồ thị (C) của hàm số y = x3 + 3x2 - 2 đối xứng với nhau qua điểm I(2; 18).
Lời giải:
Gọi M(x;y) là điểm trên đồ thị (C), gọi N là điểm đối xứng với Mqua I, ta có N(4 - x; 36 - y). Vì N thuộc (C), ta có
⇒ x3 + 3x2 - 2 = -(4 - x)3 - 3(4 - x)2 + 38
⇔ x = 2
Vậy có tất cả một cặp điểm thuộc đồ thị (C) thỏa mãn yêu cầu đề bài.
Bài 5: Xác định các giá trị thực của tham số m để đồ thị (Cm) của hàm số y = x3 - 3x2 + m có hai điểm phân biệt đối xứng nhau qua gốc tọa độ.
Lời giải:
Đồ thị hàm số (C_m) có hai điểm phân biệt đối xứng nhau qua gốc tọa độ khi và chỉ khi tồn tại xo ≠ 0 sao cho y(xo) = -y(-xo) ⇔ tồn tại xo ≠ 0 sao cho xo3 - 3xo2 + m = -[(-xo )3 - 3(-xo )2 + m] ⇔ tồn tại xo ≠ 0 sao cho 3xo2 = m ⇔ m > 0.
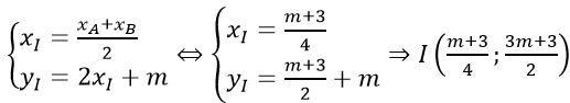
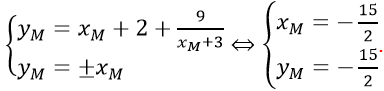
Bài 6: Tìm điểm thuộc đồ thị (C) của hàm số y = (x2 + 5x + 15)/(x+3)sao cho điểm đó cách đều hai trục tọa độ.
Lời giải:
Gọi M(x_M,y_M ),(x_M≠-3) thỏa yêu cầu bài toán. Ta có:
Vậy điểm cần tìm là M(-15/2;-15/2)
Bài 7: Gọi A, B là hai điểm thuộc hai nhánh khác nhau trên đồ thị (C) của hàm số y = (x + 3)/(x - 3). Tìm độ dài ngắn nhất của đoạn thẳng AB.
Lời giải:
Gọi A là điểm thuộc thuộc nhánh trái của đồ thị hàm số, nghĩa là xA < 3 ⇒ với số α > 0, đặt xA = 3 - α, suy ra yA = 1 + 6/(xA - 3)=1 + 6/(3 - α - 3) = 1 - 6/α (1).
Tương tự gọi B là điểm thuộc nhánh phải, nghĩa là xB > 3 ⇒ với số β > 0, đặt xB = 3 + β, suy ra yB = 1 + 6/(xB - 3)=1 + 6/(3 + β - 3) = 1 + 6/β (2).
Vậy AB2 = (xB - xA )2 + (yB - yA )2 = [(3 + β) - (3 - α)]2 + [(1 + 6/β) - (1 - 6/α)]2
Dùng bất đẳng thức Cauchy, ta có
g(α; β) ≥ (2αβ + 2αβ)(1 + 36/(α2β2 )) = 4αβ + 144/αβ ≥ 2√4.144 = 48.
Vậy AB≥√48=4√3. Dấu đẳng thức xảy ra khi vả chỉ khi
Vậy độ dài AB ngắn nhất là 4√3.
Bài 8: Xác định tọa độ cặp điểm thuộc đồ thị (C) của hàm số y = (x + 4)/(x - 2) đối xứng nhau qua đường thẳng d: x - 2y - 6 = 0
Lời giải:
Gọi đường thẳng Δ vuông góc với đường thẳng d:y = (1/2)x - 3 suy ra Δ: y = -2x + m.
Giả sử Δ cắt (C) tại hai điểm phân biệt A,B. Khi đó hoành độ của A,B là nghiệm của phương trình
(x + 4)/(x - 2) = -2x + m
Điều kiện cần:
Để Δ cắt (C) tại hai điểm phân biệt thì phương trình h(x) = 0 có hai nghiệm phân biệt khác 2, tức là
Điều kiện đủ:
Gọi I là trung điểm của AB, ta có:
Để hai điểm A,B đối xứng nhau qua d: x - 2y - 6 = 0 khi I ∈ d ⇔ (m+3)/4 - 2.(3m+3)/2 - 6 = 0 ⇔ m = -3(thỏa điều kiện (*)).
Với m = -3 phương trình h(x) = 0 ⇔ 2x2 - 2 = 0
Vậy tọa hai điểm cần tìm là (1; -5) và (-1; -1).
(199k) Xem Khóa học Toán 12 KNTTXem Khóa học Toán 12 CDXem Khóa học Toán 12 CTST
Xem thêm các dạng bài tập Toán lớp 12 ôn thi Tốt nghiệp có lời giải hay khác:
- Trắc nghiệm Điểm đặc biệt thuộc đồ thị hàm số
- Dạng 1: Cách nhận dạng đồ thị hàm số bậc 3
- Dạng 2: Cách nhận dạng đồ thị hàm số bậc 4 trùng phương
- Dạng 3: Cách nhận dạng đồ thị hàm số phân thức
Đã có app VietJack trên điện thoại, giải bài tập SGK, SBT Soạn văn, Văn mẫu, Thi online, Bài giảng....miễn phí. Tải ngay ứng dụng trên Android và iOS.
Theo dõi chúng tôi miễn phí trên mạng xã hội facebook và youtube:Nếu thấy hay, hãy động viên và chia sẻ nhé! Các bình luận không phù hợp với nội quy bình luận trang web sẽ bị cấm bình luận vĩnh viễn.
- Giải Tiếng Anh 12 Global Success
- Giải sgk Tiếng Anh 12 Smart World
- Giải sgk Tiếng Anh 12 Friends Global
- Lớp 12 Kết nối tri thức
- Soạn văn 12 (hay nhất) - KNTT
- Soạn văn 12 (ngắn nhất) - KNTT
- Giải sgk Toán 12 - KNTT
- Giải sgk Vật Lí 12 - KNTT
- Giải sgk Hóa học 12 - KNTT
- Giải sgk Sinh học 12 - KNTT
- Giải sgk Lịch Sử 12 - KNTT
- Giải sgk Địa Lí 12 - KNTT
- Giải sgk Giáo dục KTPL 12 - KNTT
- Giải sgk Tin học 12 - KNTT
- Giải sgk Công nghệ 12 - KNTT
- Giải sgk Hoạt động trải nghiệm 12 - KNTT
- Giải sgk Giáo dục quốc phòng 12 - KNTT
- Giải sgk Âm nhạc 12 - KNTT
- Giải sgk Mĩ thuật 12 - KNTT
- Lớp 12 Chân trời sáng tạo
- Soạn văn 12 (hay nhất) - CTST
- Soạn văn 12 (ngắn nhất) - CTST
- Giải sgk Toán 12 - CTST
- Giải sgk Vật Lí 12 - CTST
- Giải sgk Hóa học 12 - CTST
- Giải sgk Sinh học 12 - CTST
- Giải sgk Lịch Sử 12 - CTST
- Giải sgk Địa Lí 12 - CTST
- Giải sgk Giáo dục KTPL 12 - CTST
- Giải sgk Tin học 12 - CTST
- Giải sgk Hoạt động trải nghiệm 12 - CTST
- Giải sgk Âm nhạc 12 - CTST
- Lớp 12 Cánh diều
- Soạn văn 12 Cánh diều (hay nhất)
- Soạn văn 12 Cánh diều (ngắn nhất)
- Giải sgk Toán 12 Cánh diều
- Giải sgk Vật Lí 12 - Cánh diều
- Giải sgk Hóa học 12 - Cánh diều
- Giải sgk Sinh học 12 - Cánh diều
- Giải sgk Lịch Sử 12 - Cánh diều
- Giải sgk Địa Lí 12 - Cánh diều
- Giải sgk Giáo dục KTPL 12 - Cánh diều
- Giải sgk Tin học 12 - Cánh diều
- Giải sgk Công nghệ 12 - Cánh diều
- Giải sgk Hoạt động trải nghiệm 12 - Cánh diều
- Giải sgk Giáo dục quốc phòng 12 - Cánh diều
- Giải sgk Âm nhạc 12 - Cánh diều


Giải bài tập SGK & SBT
Tài liệu giáo viên
Sách
Khóa học
Thi online
Hỏi đáp

