Lý thuyết tổng hợp chương Nguyên hàm, Tích phân và ứng dụng lớp 12 (hay, chi tiết)
Bài viết Lý thuyết tổng hợp chương Nguyên hàm, Tích phân và ứng dụng lớp 12 hay, chi tiết giúp bạn nắm vững kiến thức trọng tâm Lý thuyết tổng hợp chương Nguyên hàm, Tích phân và ứng dụng.
Lý thuyết tổng hợp chương Nguyên hàm, Tích phân và ứng dụng
(199k) Xem Khóa học Toán 12 KNTTXem Khóa học Toán 12 CDXem Khóa học Toán 12 CTST
A. Tóm tắt lý thuyết
** NGUYÊN HÀM
1. Bảng nguyên hàm của một số hàm số sơ cấp
2. PHƯƠNG PHÁP TÍNH NGUYÊN HÀM
* Phương pháp đổi biến số
Định lí 1: Nếu ∫f(u)du = F(u) + C và u = u(x) là hàm số có đạo hàm liên tục thì
∫f(u(x))u'(x)dx = F(u(x)) + C
Hệ quả: Nếu u = ax + b (a ≠ 0) thì ta có ∫f(ax + b)dx = (1/a)F(ax + b) + C
* Phương pháp nguyên hàm từng phần
Định lí 2: Nếu hai hàm số u = u(x) và y = y(x) có đạo hàm liên tục trên K thì
∫u(x)v'(x)dx = u(x)v(x) - ∫u'(x)v(x)dx
Hay ∫udv = uv - ∫vdu
** TÍCH PHÂN
1. Tính chất của tích phân
2. Một số phương pháp tính tích phân
Dạng 1: Tính tích phân theo công thức
Dạng 2: Dùng tính chất cận trung gian để tính tích phân
Sử dụng tính chất để bỏ dấu giá trị tuyệt đối.
Dạng 3: Phương pháp đổi biến số
* Đổi biến số dạng 1
Cho hàm số f liên tục trên đoạn [a; b]. Giả sử hàm số u = u(x) có đạo hàm liên tục trên đoạn [a; b] và α ≤ u(x) ≤ β. Giả sử có thể viết f(x) = g(u(x))u'(x), x ∈ [a; b] với g liên tục trên đoạn [α; β]. Khi đó, ta có
Dấu hiệu nhận biết và cách tính tính phân
* Đổi biến số dạng 2
Cho hàm số f liên tục và có đạo hàm trên đoạn [a; b]. Giả sử hàm số x = φ(t) có đạo hàm và liên tục trên đoạn [α; β](*) sao cho φ(α) = a,φ(β) = b và a ≤ φ(t) ≤ b với mọi t ∈ [α; β]. Khi đó:
Một số phương pháp đổi biến: Nếu biểu thức dưới dấu tích phân có dạng
Dạng 4: Phương pháp tính tích phân từng phần.
Định lí : Nếu u = u(x) và v = v(x) là hai hàm số có đạo hàm và liên tục trên đoạn [a; b] thì
hay viết gọn là . Các dạng cơ bản: Giả sử cần tính
| Dạng hàm |
P(x): Đa thức Q(x): sin(kx) hay cos(kx) |
P(x): Đa thức Q(x): ekx |
P(x): Đa thức Q(x): ln(ax + b) |
P(x): Đa thức Q(x): 1/sin2x hay 1/cos2x |
| Cách đặt |
* u = P(x) * dv là Phần còn lại của biểu thức dưới dấu tích phân |
* u = P(x) * dv là Phần còn lại của biểu thức dưới dấu tích phân |
* u = ln(ax + b) * dv = P(x)dx |
* u = P(x) * dv là Phần còn lại của biểu thức dưới dấu tích phân |
Thông thường nên chú ý: “Nhất log, nhì đa, tam lượng, tứ mũ”.
** ỨNG DỤNG CỦA TÍCH PHÂN TRONG HÌNH HỌC
1. Diện tích hình phẳng
a) Diện tích hình phẳng giới hạn bởi đồ thị hàm số y = f(x) liên tục trên đoạn [a; b], trục hoành và hai đường thẳng x = a, x = b được xác định:
b) Diện tích hình phẳng giới hạn bởi đồ thị hàm số y = f(x), y = g(x) liên tục trên đoạn [a; b] và hai đường thẳng x = a, x = b được xác định: :
Chú ý:
- Nếu trên đoạn [a; b], hàm số f(x) không đổi dấu thì:
- Nắm vững cách tính tích phân của hàm số có chứa giá trị tuyệt đối
- Diện tích của hình phẳng giới hạn bởi các đường x = g(y), x = h(y) và hai đường thẳng y = c, y = d được xác định:
2. Thể tích vật thể và thể tích khối tròn xoay
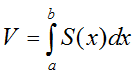
a) Thể tích vật thể:
Gọi B là phần vật thể giới hạn bởi hai mặt phẳng vuông góc với trục Ox tại các điểm a và b; S(x) là diện tích thiết diện của vật thể bị cắt bởi mặt phẳng vuông góc với trục Ox tại điểm x, (a ≤ x ≤ b). Giả sử S(x) là hàm số liên tục trên đoạn [a; b].
Khi đó, thể tích của vật thể B được xác định:
b) Thể tích khối tròn xoay:
Thể tích khối tròn xoay được sinh ra khi quay hình phẳng giới hạn bởi các đường y = f(x) , trục hoành và hai đường thẳng x = a, x = b quanh trục Ox:
Chú ý:
- Thể tích khối tròn xoay được sinh ra khi quay hình phẳng giới hạn bởi các đường x = g(y), trục hoành và hai đường thẳng y = c, y = d quanh trục Oy:
- Thể tích khối tròn xoay được sinh ra khi quay hình phẳng giới hạn bởi các đường y = f(x), y = g(x) và hai đường thẳng x = a, x = b quanh trục Ox:
(199k) Xem Khóa học Toán 12 KNTTXem Khóa học Toán 12 CDXem Khóa học Toán 12 CTST
Xem thêm các dạng bài tập Toán lớp 12 ôn thi Tốt nghiệp có lời giải hay khác:
- Lý thuyết Nguyên hàm
- Lý thuyết Tích phân
- Lý thuyết Ứng dụng của tích phân trong hình học
- Lý thuyết Ôn tập chương 3
Đã có app VietJack trên điện thoại, giải bài tập SGK, SBT Soạn văn, Văn mẫu, Thi online, Bài giảng....miễn phí. Tải ngay ứng dụng trên Android và iOS.
Theo dõi chúng tôi miễn phí trên mạng xã hội facebook và youtube:Nếu thấy hay, hãy động viên và chia sẻ nhé! Các bình luận không phù hợp với nội quy bình luận trang web sẽ bị cấm bình luận vĩnh viễn.
- Giải Tiếng Anh 12 Global Success
- Giải sgk Tiếng Anh 12 Smart World
- Giải sgk Tiếng Anh 12 Friends Global
- Lớp 12 Kết nối tri thức
- Soạn văn 12 (hay nhất) - KNTT
- Soạn văn 12 (ngắn nhất) - KNTT
- Giải sgk Toán 12 - KNTT
- Giải sgk Vật Lí 12 - KNTT
- Giải sgk Hóa học 12 - KNTT
- Giải sgk Sinh học 12 - KNTT
- Giải sgk Lịch Sử 12 - KNTT
- Giải sgk Địa Lí 12 - KNTT
- Giải sgk Giáo dục KTPL 12 - KNTT
- Giải sgk Tin học 12 - KNTT
- Giải sgk Công nghệ 12 - KNTT
- Giải sgk Hoạt động trải nghiệm 12 - KNTT
- Giải sgk Giáo dục quốc phòng 12 - KNTT
- Giải sgk Âm nhạc 12 - KNTT
- Giải sgk Mĩ thuật 12 - KNTT
- Lớp 12 Chân trời sáng tạo
- Soạn văn 12 (hay nhất) - CTST
- Soạn văn 12 (ngắn nhất) - CTST
- Giải sgk Toán 12 - CTST
- Giải sgk Vật Lí 12 - CTST
- Giải sgk Hóa học 12 - CTST
- Giải sgk Sinh học 12 - CTST
- Giải sgk Lịch Sử 12 - CTST
- Giải sgk Địa Lí 12 - CTST
- Giải sgk Giáo dục KTPL 12 - CTST
- Giải sgk Tin học 12 - CTST
- Giải sgk Hoạt động trải nghiệm 12 - CTST
- Giải sgk Âm nhạc 12 - CTST
- Lớp 12 Cánh diều
- Soạn văn 12 Cánh diều (hay nhất)
- Soạn văn 12 Cánh diều (ngắn nhất)
- Giải sgk Toán 12 Cánh diều
- Giải sgk Vật Lí 12 - Cánh diều
- Giải sgk Hóa học 12 - Cánh diều
- Giải sgk Sinh học 12 - Cánh diều
- Giải sgk Lịch Sử 12 - Cánh diều
- Giải sgk Địa Lí 12 - Cánh diều
- Giải sgk Giáo dục KTPL 12 - Cánh diều
- Giải sgk Tin học 12 - Cánh diều
- Giải sgk Công nghệ 12 - Cánh diều
- Giải sgk Hoạt động trải nghiệm 12 - Cánh diều
- Giải sgk Giáo dục quốc phòng 12 - Cánh diều
- Giải sgk Âm nhạc 12 - Cánh diều


Giải bài tập SGK & SBT
Tài liệu giáo viên
Sách
Khóa học
Thi online
Hỏi đáp

