Lý thuyết Tích phân lớp 12 (hay, chi tiết)
Bài viết Lý thuyết Tích phân lớp 12 hay, chi tiết giúp bạn nắm vững kiến thức trọng tâm Lý thuyết Tích phân.
Lý thuyết Tích phân
(199k) Xem Khóa học Toán 12 KNTTXem Khóa học Toán 12 CDXem Khóa học Toán 12 CTST
Bài giảng: Bài 2 : Tích phân - Thầy Trần Thế Mạnh (Giáo viên VietJack)
A. Tóm tắt lý thuyết
1. Định nghĩa
Cho f là hàm số liên tục trên đoạn [a; b] Giả sử F là một nguyên hàm của f trên [a; b] Hiệu số F(b) - F(a) được gọi là tích phân từ a đến b (hay tích phân xác định trên đoạn [a; b] của hàm số f(x) kí hiệu là
Ta dùng kí hiệu để chỉ hiệu số F(b) - F(a). Vậy
.
Nhận xét: Tích phân của hàm số f từ a đến b có thể kí hiệu bởi hay
. Tích phân đó chỉ phụ thuộc vào f và các cận a, b mà không phụ thuộc vào cách ghi biến số.
Ý nghĩa hình học của tích phân: Nếu hàm số f liên tục và không âm trên đoạn [a; b] thì tích phân là diện tích S của hình thang cong giới hạn bởi đồ thị hàm số y = f(x) , trục Ox và hai đường thẳng x = a, x = b. Vậy S =
2. Tính chất của tích phân
B. Kĩ năng giải bài tập
1. Một số phương pháp tính tích phân
I. Dạng 1: Tính tích phân theo công thức
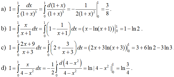
Ví dụ 1: Tính các tính phân sau:
Lời giải:
II. Dạng 2: Dùng tính chất cận trung gian để tính tích phân
Sử dụng tính chất để bỏ dấu giá trị tuyệt đối.
Ví dụ 2: Tính tích phân .
Lời giải:
Nhận xét: . Do đó
III. Dạng 3: Phương pháp đổi biến số
1) Đổi biến số dạng 1
Cho hàm số f liên tục trên đoạn [a; b]. Giả sử hàm số u = u(x) có đạo hàm liên tục trên đoạn [a; b] và α ≤ u(x) ≤ β. Giả sử có thể viết f(x) = g(u(x))u'(x), x ∈ [a; b] với g liên tục trên đoạn [α; β]. Khi đó, ta có
Ví dụ 3: Tính tích phân .
Lời giải:
Đặt u = sinx. Ta có du = cosxdx. Đổi cận: x = 0 ⇒ u(0) = 0; x = π/2 ⇒ u(π/2) = 1
Khi đó
Dấu hiệu nhận biết và cách tính tính phân
2) Đổi biến số dạng 2
Cho hàm số f liên tục và có đạo hàm trên đoạn [a; b]. Giả sử hàm số x = φ(t) có đạo hàm và liên tục trên đoạn [α; β](*) sao cho φ(α) = a,φ(β) = b và a ≤ φ(t) ≤ b với mọi t ∈ [α; β]. Khi đó:
Một số phương pháp đổi biến: Nếu biểu thức dưới dấu tích phân có dạng
Lưu ý: Chỉ nên sử dụng phép đặt này khi các dấu hiệu 1, 2, 3 đi với x mũ chẵn. Ví dụ, để tính tích phân thì phải đổi biến dạng 2 còn với tích phân
thì nên đổi biến dạng 1.
Ví dụ 4: Tính các tích phân sau:
a) Đặt x = sint ta có dx = costdt. Đổi cận: x = 0 ⇒ t = 0; x = 1 ⇒ t = π/2.
Vậy
b) Đặt x = tant, ta có dx = (1 + tan2t)dt. Đổi cận: .
Vậy
IV. Dạng 4: Phương pháp tính tích phân từng phần.
Định lí : Nếu u = u(x) và v = v(x) là hai hàm số có đạo hàm và liên tục trên đoạn [a; b] thì
hay viết gọn là . Các dạng cơ bản: Giả sử cần tính
| Dạng hàm |
P(x): Đa thức Q(x): sin(kx) hay cos(kx) |
P(x): Đa thức Q(x): ekx |
P(x): Đa thức Q(x): ln(ax + b) |
P(x): Đa thức Q(x): 1/sin2x hay 1/cos2x |
| Cách đặt |
* u = P(x) * dv là Phần còn lại của biểu thức dưới dấu tích phân |
* u = P(x) * dv là Phần còn lại của biểu thức dưới dấu tích phân |
* u = ln(ax + b) * dv = P(x)dx |
* u = P(x) * dv là Phần còn lại của biểu thức dưới dấu tích phân |
Thông thường nên chú ý: “Nhất log, nhì đa, tam lượng, tứ mũ”.
Ví dụ 5: Tính các tích phân sau :
Lời giải:
a) Đặt
Do đó
b) Đặt
(199k) Xem Khóa học Toán 12 KNTTXem Khóa học Toán 12 CDXem Khóa học Toán 12 CTST
Xem thêm các dạng bài tập Toán lớp 12 ôn thi Tốt nghiệp có lời giải hay khác:
- Lý thuyết Nguyên hàm
- Lý thuyết Tích phân
- Lý thuyết Ứng dụng của tích phân trong hình học
- Lý thuyết Ôn tập chương 3
Đã có app VietJack trên điện thoại, giải bài tập SGK, SBT Soạn văn, Văn mẫu, Thi online, Bài giảng....miễn phí. Tải ngay ứng dụng trên Android và iOS.
Theo dõi chúng tôi miễn phí trên mạng xã hội facebook và youtube:Nếu thấy hay, hãy động viên và chia sẻ nhé! Các bình luận không phù hợp với nội quy bình luận trang web sẽ bị cấm bình luận vĩnh viễn.
- Giải Tiếng Anh 12 Global Success
- Giải sgk Tiếng Anh 12 Smart World
- Giải sgk Tiếng Anh 12 Friends Global
- Lớp 12 Kết nối tri thức
- Soạn văn 12 (hay nhất) - KNTT
- Soạn văn 12 (ngắn nhất) - KNTT
- Giải sgk Toán 12 - KNTT
- Giải sgk Vật Lí 12 - KNTT
- Giải sgk Hóa học 12 - KNTT
- Giải sgk Sinh học 12 - KNTT
- Giải sgk Lịch Sử 12 - KNTT
- Giải sgk Địa Lí 12 - KNTT
- Giải sgk Giáo dục KTPL 12 - KNTT
- Giải sgk Tin học 12 - KNTT
- Giải sgk Công nghệ 12 - KNTT
- Giải sgk Hoạt động trải nghiệm 12 - KNTT
- Giải sgk Giáo dục quốc phòng 12 - KNTT
- Giải sgk Âm nhạc 12 - KNTT
- Giải sgk Mĩ thuật 12 - KNTT
- Lớp 12 Chân trời sáng tạo
- Soạn văn 12 (hay nhất) - CTST
- Soạn văn 12 (ngắn nhất) - CTST
- Giải sgk Toán 12 - CTST
- Giải sgk Vật Lí 12 - CTST
- Giải sgk Hóa học 12 - CTST
- Giải sgk Sinh học 12 - CTST
- Giải sgk Lịch Sử 12 - CTST
- Giải sgk Địa Lí 12 - CTST
- Giải sgk Giáo dục KTPL 12 - CTST
- Giải sgk Tin học 12 - CTST
- Giải sgk Hoạt động trải nghiệm 12 - CTST
- Giải sgk Âm nhạc 12 - CTST
- Lớp 12 Cánh diều
- Soạn văn 12 Cánh diều (hay nhất)
- Soạn văn 12 Cánh diều (ngắn nhất)
- Giải sgk Toán 12 Cánh diều
- Giải sgk Vật Lí 12 - Cánh diều
- Giải sgk Hóa học 12 - Cánh diều
- Giải sgk Sinh học 12 - Cánh diều
- Giải sgk Lịch Sử 12 - Cánh diều
- Giải sgk Địa Lí 12 - Cánh diều
- Giải sgk Giáo dục KTPL 12 - Cánh diều
- Giải sgk Tin học 12 - Cánh diều
- Giải sgk Công nghệ 12 - Cánh diều
- Giải sgk Hoạt động trải nghiệm 12 - Cánh diều
- Giải sgk Giáo dục quốc phòng 12 - Cánh diều
- Giải sgk Âm nhạc 12 - Cánh diều


Giải bài tập SGK & SBT
Tài liệu giáo viên
Sách
Khóa học
Thi online
Hỏi đáp

