Phương pháp cô lập m trong khảo sát tính đơn điệu của hàm số (cực hay)
Bài viết Phương pháp cô lập m trong khảo sát tính đơn điệu của hàm số với phương pháp giải chi tiết giúp học sinh ôn tập, biết cách làm bài tập Phương pháp cô lập m trong khảo sát tính đơn điệu của hàm số.
Phương pháp cô lập m trong khảo sát tính đơn điệu của hàm số (cực hay)
(199k) Xem Khóa học Toán 12 KNTTXem Khóa học Toán 12 CDXem Khóa học Toán 12 CTST
Bài giảng: Cách xét tính đơn điệu của hàm số - Cô Nguyễn Phương Anh (Giáo viên VietJack)
A. Phương pháp giải & Ví dụ
Phương pháp giải
Bước 1: Tìm y'
Hàm số đồng biến trên khoảng K khi và chỉ khi y' ≥ 0 ∀ x ∈ K
Hàm số nghịch biến trên khoảng K khi và chỉ khi y' ≤ 0 ∀x ∈ K
Bước 2: Cô lập tham số m đưa về dạng m≥g(x) hoặc m ≤ g(x)
Bước 3: Vẽ bảng biến thiên của g(x)
Bước 4: Kết luận
m ≥ g(x) ∀ x ∈ K khi và chỉ khi m ≥
m ≤ g(x) ∀ x ∈ K khi và chỉ khi m ≤
Một số hàm số thường gặp
Hàm đa thức bậc ba: y = f(x) = ax3 + bx2 + cx + d (a ≠ 0)
⇒ f'(x) = 3ax2 + 2bx + c
Với a > 0 và f'(x) có hai nghiệm phân biệt x1 < x2
Hàm số đồng biến trên (α; β) khi và chỉ khi β ≤ xc hoặc α ≥ x2
Hàm số nghịch biến trên (α; β) khi và chỉ khi x1 ≤ α < β ≤ x2
Với a <0 và f'(x) có hai nghiệm phân biệt x1 < x2
Hàm số đồng biến trên (α; β) khi và chỉ khi x1 ≤ α < β ≤ x2
Hàm số nghịch biến trên (α; β) khi và chỉ khi β≤x1 hoặc α ≥ x2
Hàm phân thức bậc nhất: y = (ax + b)/(cx + d) ⇒ y'= (ad - bc)/(cx + d)2
Hàm số đồng biến trên khoảng K khi và chỉ khi ad-bc>0 và -d/c ∉ K
Hàm số nghịch biến trên khoảng K khi và chỉ khi ad - bc < 0 và -d/c ∉ K
Ví dụ minh họa
Ví dụ 1: Tìm m để hàm số y = x3/3 - mx2+(1 - 2m)x- 1 đồng biến trên (1; +∞)
Hướng dẫn
TXĐ: D = R
Ta có y' = x2 - 2mx + 1 - 2m
Hàm số đã cho đồng biến trên (1; +∞)⇔ ∀ x ∈(1; +∞),y' ≥ 0
⇔ ∀ x ∈ (1; +∞), x2 -2mx + 1 - 2m ≥ 0 ⇔ ∀ x ∈(1; +∞), x2 + 1 ≥ 2m(x + 1)
⇔ ∀ x ∈(1; +∞),2m ≤ (x2 + 1)/(x + 1) (do x + 1 > 0 khi x > 1)
Xét hàm số f(x) = (x2 + 1)/(x + 1), x ∈ (1; +∞)
f'(x) = (x2 + 2x - 1)/(x + 1)2 >0 với mọi x (1;+∞)
Ta có bảng biến thiên:
Dựa vào bảng biến thiên để 2m ≤ f(x),∀ x ∈(1; +∞) thì 2m ≤ 1 ⇔ m ≤ 1/2
Ví dụ 2: Tìm giá trị của tham số m để hàm số y = (2x - 1)/(x - m) nghịch biến trên khoảng (2; 3)
Hướng dẫn
TXĐ: D=R\{m}.
Ta có y'= (-2m + 1)/(x - m)2 . Để hàm số nghịch biến trên khoảng (2; 3) thì hàm só phải xác định trên khoảng (2; 3) và y' < 0 ∀ x ∈ (2; 3).
Vậy giá trị của tham số m cần tìm là
Ví dụ 3: Tìm các giá trị m để hàm số y = mx3 - x2 + 3x + m - 2 đồng biến trên (-3 ; 0)
Hướng dẫn
TXĐ: D = R
Ta có y'= 3mx2 - 2x + 3. Hàm số đồng biến trên khoảng (-3; 0) khi và chỉ khi:
y' ≥ 0,∀ x ∈(-3; 0) (Dấu '' = '' xảy ra tại hữu hạn điểm trên (-3; 0))
⇔ 3mx2 - 2x + 3 ≥ 0, ∀ x ∈(-3; 0)
⇔ m ≥(2x-3)/(3x2 ) = g(x) ∀ x ∈(-3;0)
Ta có: g'(x) = (-2x + 6)/(3x3 ); g'(x) = 0 ⇔ x = 3
Bảng biến thiên
Vậy m ≥ = -1/3.
B. Bài tập vận dụng
Câu 1: Tìm tất cả giá trị của tham số m để hàm số y = mx2 - (m + 6)x nghịch biến trên khoảng (-1; +∞)
Lời giải:
Ta có:
y' = 2mx - (m + 6). Theo yêu cầu bài toán ta có y' ≤ 0,∀ x ∈(-1; +∞).
⇒ 2mx - (m + 6) ≤ 0 ⇔ m ≤ .
Xét hàm số g(x) = với x ∈ (-1;+∞).
Bảng biến thiên
Vậy -2 ≤ m ≤ 0.
Câu 2: Cho hàm số y = x3-3mx2+3(m2 - 1)x - 2m + 3. Tìm m để hàm số nghịch biến trên khoảng (1; 2).
Lời giải:
Tập xác định: D = R
Đạo hàm y'=3x2-6mx+3(m2-1)
Hàm số nghịch biến trên khoảng (1; 2)⇔ y' ≤ 0 ∀ x ∈(1; 2)
Ta có Δ'= 9m2-9(m2-1)= 9 > 0 ∀m
Suy ra y' luôn có hai nghiệm phân biệt x1 = m - 1; x2 = m + 1(x1<x2)
Do đó y' ≤ 0 ∀ x ∈(1;2) ⇔ x1 ≤ 1 < 2 < x2 ⇔
Vậy giá trị m cần tìm là 1 ≤ m ≤ 2
Câu 3: Tất cả các giá trị thực của tham số m sao cho hàm số y = -x4 + (2m - 3)x2 + m nghịch biến trên khoảng (1; 2) là (-∞; p/q], trong đó phân số p/q tối giản và q > 0. Tính tổng p+q
Lời giải:
Tập xác định D = R. Ta có y' = -4x3 + 2(2m - 3)x.
Hàm số nghịch biến trên (1;2) ⇔ y' ≤ 0,∀ x ∈(1; 2)⇔ m ≤ x2 + 3/2 = g(x),∀ x ∈(1; 2).
Lập bảng biến thiên của g(x)trên (1;2). g'(x) = 2x = 0 ⇔ x = 0
Bảng biến thiên
Dựa vào bảng biến thiên, kết luận: m ≤ ming(x) ⇔ m ≤ 5/2. Vậy p + q = 5 + 2 = 7.
Câu 4: Tìm tất cả các giá trị thực của tham số m sao cho hàm số đồng biến trên khoảng (2; +∞).
Lời giải:
TXĐ: D = R\{m}
Ta có: y'= .
Hàm số đồng biến trên khoảng (2;+∞)
⇔ >0,∀ x ∈(2;+∞)
Vậy giá trị của tham số m cần tìm là -3 < m ≤2
Câu 5: Tìm giá trị của m để hàm số đồng biến trên khoảng (4; +∞)
Lời giải:
Trường hợp 1: Khi m = -1, hàm số trở thành với mọi x
Do đó hàm số đồng biến trên mỗi khoảng xác định
⇒ m = -1 thỏa mãn yêu cầu bài toán
Trường hợp 2: Khi m ≠ -1, ta có
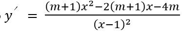
Đặt g(x)=(m + 1) x2 - 2(m + 1)x - 4m và ta có y' cùng dấu với g(x)
Khi đó hàm số đồng biến trên khoảng (4; +∞).
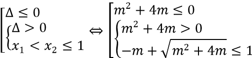
⇔ ∀ x ∈(4; +∞), g(x) ≥ 0 ⇔ ∀ x ∈ (4; +∞), ≤ m.
(do x2 - 2x - 4 > 0 ∀ x ∈(4; +∞))
Xét hàm > 0 ∀ x ∈(4;+∞).
Bảng biến thiên:
Dựa vào bảng biến thiên của h(x) suy ra,∀ x ∈(4; +∞),h(x) ≤ m m ≥-1.
Câu 6: Tìm tất cả các giá trị thực của tham số m để hàm số đồng biến trên khoảng (π/4; π/2).
Lời giải:
Ta có: .
Hàm số đồng biến trên khoảng (π/4; π/2) khi và chỉ khi:
Vậy giá trị của tham số m cần tìm là m ≤ 0
Câu 7: Tìm m để hàm số đồng biến trên [1; +∞).
Lời giải:
Ta có:
có tập xác định là D = R\{-m} và
.
Hàm số đã cho đồng biến trên [1; +∞) ⇔
x2 + 2mx - 4m ≥ 0,∀ x ∈[1; +∞)⇔
Kết hợp với đk m > -1 ta được -1 < m ≤ 1/2.
Câu 8: Với giá trị nào của m thì hàm số y=√(x2+2mx+m2+1) đồng biến trên khoảng (1; +∞).
Lời giải:
Đặt f(x) = x2 + 2mx + m2 + 1;
ta có Δ(f(x))'=m2-m2-1 = -1 < 0;a = 1 > 0 nên f(x)> 0 ∀ x ∈R.
Ta có
Hàm số đồng biến trên khoảng (1; +∞) khi và chỉ khi y ' ≥ 0 ∀ x > 1
⇔ x + m ≥ 0 ⇔ m ≥ -x
Xét g(x) = -x ; g'(x)= - 1 < 0 ∀x1
Bảng biến thiên
Dựa vào bảng biến thiên ta có m ≥ -1.
C. Bài tập tự luyện
Bài 1. Tìm m để hàm số y = 2x3 + 3x2 + 6mx – 1 nghịch biến trên khoảng (0; 2).
Bài 2. Tìm tất cả các giá trị của tham số m sao cho hàm số đồng biến trên khoảng (3; +∞).
Bài 3. Tìm tất cả các giá trị thực của tham số m sao cho hàm số y = x3 - 6x2 + mx + 1 đồng biến trên khoảng (0; +∞).
Bài 4. Tìm tất cả các giá trị thực của tham số m sao cho hàm số y = x4 - 2(m - 1)x2 + m - 2 đồng biến trên khoảng (1; 3).
Bài 5. Cho hàm số y = x3 - 3(m2 + 3m + 3) x2 + 3(m2 + 1)2 x + m + 2. Gọi S là tập hợp các giá trị của tham số m sao cho hàm số đồng biến trên (1; +∞). Tìm S.
(199k) Xem Khóa học Toán 12 KNTTXem Khóa học Toán 12 CDXem Khóa học Toán 12 CTST
Xem thêm các dạng bài tập Toán lớp 12 ôn thi Tốt nghiệp có lời giải hay khác:
- Dạng 1: Xét tính đơn điệu của hàm số
- Trắc nghiệm Xét tính đơn điệu của hàm số
- Dạng 2: Tìm tham số m để hàm số đơn điệu
- Trắc nghiệm Tìm tham số m để hàm số đơn điệu
- Trắc nghiệm Phương pháp cô lập m trong khảo sát tính đơn điệu của hàm số
- Dạng 4: Tìm tham số m để hàm số đơn điệu trên đoạn có độ dài l
- Trắc nghiệm Tìm tham số m để hàm số đơn điệu trên đoạn có độ dài l
Đã có app VietJack trên điện thoại, giải bài tập SGK, SBT Soạn văn, Văn mẫu, Thi online, Bài giảng....miễn phí. Tải ngay ứng dụng trên Android và iOS.
Theo dõi chúng tôi miễn phí trên mạng xã hội facebook và youtube:Nếu thấy hay, hãy động viên và chia sẻ nhé! Các bình luận không phù hợp với nội quy bình luận trang web sẽ bị cấm bình luận vĩnh viễn.
- Giải Tiếng Anh 12 Global Success
- Giải sgk Tiếng Anh 12 Smart World
- Giải sgk Tiếng Anh 12 Friends Global
- Lớp 12 Kết nối tri thức
- Soạn văn 12 (hay nhất) - KNTT
- Soạn văn 12 (ngắn nhất) - KNTT
- Giải sgk Toán 12 - KNTT
- Giải sgk Vật Lí 12 - KNTT
- Giải sgk Hóa học 12 - KNTT
- Giải sgk Sinh học 12 - KNTT
- Giải sgk Lịch Sử 12 - KNTT
- Giải sgk Địa Lí 12 - KNTT
- Giải sgk Giáo dục KTPL 12 - KNTT
- Giải sgk Tin học 12 - KNTT
- Giải sgk Công nghệ 12 - KNTT
- Giải sgk Hoạt động trải nghiệm 12 - KNTT
- Giải sgk Giáo dục quốc phòng 12 - KNTT
- Giải sgk Âm nhạc 12 - KNTT
- Giải sgk Mĩ thuật 12 - KNTT
- Lớp 12 Chân trời sáng tạo
- Soạn văn 12 (hay nhất) - CTST
- Soạn văn 12 (ngắn nhất) - CTST
- Giải sgk Toán 12 - CTST
- Giải sgk Vật Lí 12 - CTST
- Giải sgk Hóa học 12 - CTST
- Giải sgk Sinh học 12 - CTST
- Giải sgk Lịch Sử 12 - CTST
- Giải sgk Địa Lí 12 - CTST
- Giải sgk Giáo dục KTPL 12 - CTST
- Giải sgk Tin học 12 - CTST
- Giải sgk Hoạt động trải nghiệm 12 - CTST
- Giải sgk Âm nhạc 12 - CTST
- Lớp 12 Cánh diều
- Soạn văn 12 Cánh diều (hay nhất)
- Soạn văn 12 Cánh diều (ngắn nhất)
- Giải sgk Toán 12 Cánh diều
- Giải sgk Vật Lí 12 - Cánh diều
- Giải sgk Hóa học 12 - Cánh diều
- Giải sgk Sinh học 12 - Cánh diều
- Giải sgk Lịch Sử 12 - Cánh diều
- Giải sgk Địa Lí 12 - Cánh diều
- Giải sgk Giáo dục KTPL 12 - Cánh diều
- Giải sgk Tin học 12 - Cánh diều
- Giải sgk Công nghệ 12 - Cánh diều
- Giải sgk Hoạt động trải nghiệm 12 - Cánh diều
- Giải sgk Giáo dục quốc phòng 12 - Cánh diều
- Giải sgk Âm nhạc 12 - Cánh diều


Giải bài tập SGK & SBT
Tài liệu giáo viên
Sách
Khóa học
Thi online
Hỏi đáp

