Trắc nghiệm Tìm tham số m để hàm số đơn điệu trên đoạn có độ dài l cực hay
Với Trắc nghiệm Tìm tham số m để hàm số đơn điệu trên đoạn có độ dài l có lời giải chi tiết sẽ giúp học sinh ôn tập, biết cách làm Trắc nghiệm Tìm tham số m để hàm số đơn điệu trên đoạn có độ dài l.
Trắc nghiệm Tìm tham số m để hàm số đơn điệu trên đoạn có độ dài l cực hay
(199k) Học Toán 12 KNTTHọc Toán 12 CDHọc Toán 12 CTST
Bài giảng: Cách xét tính đơn điệu của hàm số - Cô Nguyễn Phương Anh (Giáo viên VietJack)
Câu 1: Với giá trị nào của m thì hàm số đồng biến trên đoạn có độ dài bằng 3 đơn vị.
A. m = -3/4 B. m > -3
C. m ≥ -3/4 D. m = ∅
Lời giải:
Đáp án : A
Giải thích :
Ta có f' (x) = -x2 + 4x + m - 1
Hàm số đồng biến trên khoảng có độ dài bằng 3 khi và chỉ khi f'(x) = 0 có hai nghiệm phân biệt x1,x2 (x1 < x2) thỏa mãn |x1 - x2 | = 3
+ f'(x) = 0 có hai nghiệm phân biệt x1, x2 ⇔ Δ' = 3 + m > 0 ⇔ m > -3
Theo Vi ét ta có
+ Với |x1-x2| = 3 ⇔ (x1 + x2 )2 - 41 x2 - 9 = 0 ⇔ 16-4(1-m)-9 = 0 ⇔ m = -3/4
Đối chiếu điều kiện ta được m = -3/4.
Câu 2: Với giá trị nào của m thì hàm số nghịch biến trên đoạn có độ dài không nhỏ hơn 2 đơn vị
A. m ≤ 1/2 B. m < 5/2
C. m = 2 D. m ≤ 2
Lời giải:
Đáp án : D
Giải thích :
Ta có f'(x) = x2 + 4x + 2m - 1
Hàm số đồng biến trên khoảng có độ dài không nhỏ hơn 2 đơn vị khi và chỉ khi f'(x)= 0 có hai nghiệm phân biệt x1,x2 (x1 < x2) thỏa mãn |x1 - x2 | ≥ 2
+ f'(x) = 0 có hai nghiệm phân biệt x1, x2 ⇔ Δ'= 5 - 2m > 0⇔ m < 5/2
Theo Vi ét ta có
+ Với |x1 - x2| ≥ 2 ⇔ (x1+x2 )2 - 4x1 x2 - 4 ≥ 0 ⇔ 16-8m ≥ 0 ⇔ m ≤ 2
Kết hợp điều kiện ta được m ≤ 2.
Câu 3: Xác định m để hàm số nghịch biến trên một khoảng có độ dài bằng 2√5
A. m = -2; m = 4 B. m = 1; m = 3
C. m = -1; m = 0 D. m = 2; m = -4
Lời giải:
Đáp án : D
Giải thích :
Ta có f'(x) = x2 + 2(m + 1)x + 4
Hàm số đồng biến trên khoảng có độ dài bằng 2√5 đơn vị khi và chỉ khi f'(x)= 0 có hai nghiệm phân biệt x1,x2 (x1 < x2) thỏa mãn |x1 - x2 | = 2√5
+ f'(x) = 0 có hai nghiệm phân biệt x1,x2 ⇔ Δ'= m2 + 2m - 3 > 0
Theo Vi ét ta có
+ Với
Kết hợp điều kiện ta được m = 2; m = -4.
Câu 4: Xác định m để hàm số y = -x3 + 3(m+1)x2 + 3(2 - m2 )x + 1 đồng biến trên một khoảng có độ dài bằng 4√6
A. m = 21/2 B. m = -3/2
C. m = -2 ± √46 D. Kết quả khác
Lời giải:
Đáp án : A
Giải thích :
Ta có f'(x)=-3x2 + 6(m+1)x + 3(2 - m2)
Hàm số đồng biến trên khoảng có độ dài bằng 4√6 đơn vị khi và chỉ khi f'(x)= 0 có hai nghiệm phân biệt x1,x2 (x1 < x2) thỏa mãn |x1 - x2 |= 4√6
+ f'(x)= 0 có hai nghiệm phân biệt x1,x2 ⇔ Δ' = 2m + 3 > 0 ⇔ m > -3/2
Theo Vi ét ta có
+ Với |x1 - x2| = 4√6 ⇔ (x1 + x2 )2 - 4x1 x2 - 96 = 0 ⇔ 8m - 84 ≥ 0 ⇔ m = 21/2
Đối chiếu điều kiện ta được m = 21/2.
Câu 5: Xác định m để hàm só y = -x4 - (m+1)x2 + 3 có khoảng nghịch biến (x1;x2) và độ dài khoảng này bằng 3.
A. m = -5 B. m = 11
C. m = -12 D. m = 17
Lời giải:
Đáp án : D
Giải thích :
Ta có
Để hàm số có khoảng nghịch biến (x1; x2) thì phương trình -2x2 + m + 1 = 0 phải có hai nghiệm phân biệt ⇔ Δ > 0⇔ 2(m+1) > 0 ⇔ m > -1
Giả sử x1 < 0 < x2, khi đó hàm số sẽ nghịch biến trên khoảng (x1;0) và (x2;+∞)
Vì độ dài khoảng nghịch biến bằng 1 nên khoảng (x1;0) có độ dài bằng 3 hay x1 = -3
Vì -2x2 + m + 1 = 0 có một nghiệm là -3 nên -18 + m + 1 = 0 ⇔ m = 17 (thỏa mãn)
Vậy giá trị của tham số m cần tìm là m = 17.
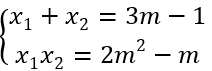
Câu 6: Cho hàm số y = 2x3 - 3(3m-1)x2 + 6(2m2 - m)x + 3. Tìm m để hàm số nghịch biến trên đoạn có độ dài bằng 4:
A. m = 5 hoặc m = 3 C. m = -5 hoặc m = 3
B. m = 5 hoặc m = -3 D. m = 5 hoặc m = 3
Lời giải:
Đáp án : B
Giải thích :
Ta có f'(x) = 6x2 - 6(3m - 1)x + 6(2m2 - m)
Hàm số đồng biến trên khoảng có độ dài bằng 4 đơn vị khi và chỉ khi f'(x)= 0 có hai nghiệm phân biệt x1,x2 (x1 < x2) thỏa mãn |x1 - x2 |= 4
+ f'(x)= 0 có hai nghiệm phân biệt x1,x2 ⇔ Δ' = m2 - 2m + 1 > 0 ⇔ m ≠ 1
Theo Vi ét ta có
Với
Đối chiếu điều kiện ta được
Câu 7: Tìm m để hàm số y = x3 - 3m2 x nghịch biến trên khoảng có độ dài bằng 2
A. -1 ≤ m ≤ 1 B. m = ±1 C. -2 ≤ m ≤ 2 D. m = ±2
Lời giải:
Đáp án : B
Giải thích :
Ta có f'(x) = 3x2 - 3m2
Hàm số đồng biến trên khoảng có độ dài bằng 2 đơn vị khi và chỉ khi f'(x)= 0 có hai nghiệm phân biệt x1,x2 (x1 < x2) thỏa mãn |x1 - x2 |= 2
+ f'(x)= 0 có hai nghiệm phân biệt x1,x2 ⇔ Δ' = m2 < 0 ⇔ m ≠ 0
Theo Vi ét ta có
+ Với
Đối chiếu điều kiện ta được .
Câu 8: Cho hàm số y = x3 + 3x2 + mx + m. Tìm tất cả các giá trị thực của tham số m để hàm số nghịch biến trên một đoạn có độ dài bằng 2
A. m = 0 B. m < 2
C. m = 2 D. m > 2
Lời giải:
Đáp án : A
Giải thích :
Ta có y' = (x3 + 3x2 + mx + m)' = 3x2 + 6x + m.
Hàm số nghịch biến trên một đoạn có độ dài bằng 2, khi đó PT y' = 0 có hai nghiệm x1, x2 phân biệt thỏa mãn |x1 - x2| = 2.
Suy ra :
v
Câu 9: Tìm m để hàm số y = 2x3 + 3(m-1)x2 + 6(m-2)x + 3 nghịch biến trên một khoảng có độ dài lớn hơn 3.
A. m > 6 B. m ∈(0;6) C. m < 0 D.
Lời giải:
Đáp án : D
Giải thích :
Tập xác định: D = R. Ta có: y' = 6x2 + 6(m - 1)x + 6(m - 2)
y' = 0 ⇔ . Hàm số nghịch biến trên một khoảng có độ dài lớn hơn 3
⇔ y' = 0 có hai nghiệm phân biệt x1, x2 sao cho |x1 - x2| > 3 (1)
Câu 10: Tìm tất cả các giá trị thực của tham số m sao cho hàm số nghịch biến trên một đoạn có độ dài là 3?
A. m = -1;m = 9 B. m = -1
C. m = 9 D. m = 1;m = -9
Lời giải:
Đáp án : A
Giải thích :
Tập xác định: D = R. Ta có y' = x2 - mx + 2m
Ta không xét trường hợp y' ≤ 0,∀ x ∈ R vì a = 1 > 0
Hàm số nghịch biến trên một đoạn có độ dài là 3 ⇔ y'= 0 có 2 nghiệm x1,x2 thỏa mãn
(199k) Học Toán 12 KNTTHọc Toán 12 CDHọc Toán 12 CTST
Xem thêm các dạng bài tập Toán lớp 12 có trong đề thi Tốt nghiệp THPT khác:
- Dạng 1: Xét tính đơn điệu của hàm số
- Trắc nghiệm Xét tính đơn điệu của hàm số
- Dạng 2: Tìm tham số m để hàm số đơn điệu
- Trắc nghiệm Tìm tham số m để hàm số đơn điệu
- Dạng 3: Phương pháp cô lập m trong khảo sát tính đơn điệu của hàm số
- Trắc nghiệm Phương pháp cô lập m trong khảo sát tính đơn điệu của hàm số
- Dạng 4: Tìm tham số m để hàm số đơn điệu trên đoạn có độ dài l
Đã có app VietJack trên điện thoại, giải bài tập SGK, SBT Soạn văn, Văn mẫu, Thi online, Bài giảng....miễn phí. Tải ngay ứng dụng trên Android và iOS.
Theo dõi chúng tôi miễn phí trên mạng xã hội facebook và youtube:Nếu thấy hay, hãy động viên và chia sẻ nhé! Các bình luận không phù hợp với nội quy bình luận trang web sẽ bị cấm bình luận vĩnh viễn.
- Giải Tiếng Anh 12 Global Success
- Giải sgk Tiếng Anh 12 Smart World
- Giải sgk Tiếng Anh 12 Friends Global
- Lớp 12 Kết nối tri thức
- Soạn văn 12 (hay nhất) - KNTT
- Soạn văn 12 (ngắn nhất) - KNTT
- Giải sgk Toán 12 - KNTT
- Giải sgk Vật Lí 12 - KNTT
- Giải sgk Hóa học 12 - KNTT
- Giải sgk Sinh học 12 - KNTT
- Giải sgk Lịch Sử 12 - KNTT
- Giải sgk Địa Lí 12 - KNTT
- Giải sgk Giáo dục KTPL 12 - KNTT
- Giải sgk Tin học 12 - KNTT
- Giải sgk Công nghệ 12 - KNTT
- Giải sgk Hoạt động trải nghiệm 12 - KNTT
- Giải sgk Giáo dục quốc phòng 12 - KNTT
- Giải sgk Âm nhạc 12 - KNTT
- Giải sgk Mĩ thuật 12 - KNTT
- Lớp 12 Chân trời sáng tạo
- Soạn văn 12 (hay nhất) - CTST
- Soạn văn 12 (ngắn nhất) - CTST
- Giải sgk Toán 12 - CTST
- Giải sgk Vật Lí 12 - CTST
- Giải sgk Hóa học 12 - CTST
- Giải sgk Sinh học 12 - CTST
- Giải sgk Lịch Sử 12 - CTST
- Giải sgk Địa Lí 12 - CTST
- Giải sgk Giáo dục KTPL 12 - CTST
- Giải sgk Tin học 12 - CTST
- Giải sgk Hoạt động trải nghiệm 12 - CTST
- Giải sgk Âm nhạc 12 - CTST
- Lớp 12 Cánh diều
- Soạn văn 12 Cánh diều (hay nhất)
- Soạn văn 12 Cánh diều (ngắn nhất)
- Giải sgk Toán 12 Cánh diều
- Giải sgk Vật Lí 12 - Cánh diều
- Giải sgk Hóa học 12 - Cánh diều
- Giải sgk Sinh học 12 - Cánh diều
- Giải sgk Lịch Sử 12 - Cánh diều
- Giải sgk Địa Lí 12 - Cánh diều
- Giải sgk Giáo dục KTPL 12 - Cánh diều
- Giải sgk Tin học 12 - Cánh diều
- Giải sgk Công nghệ 12 - Cánh diều
- Giải sgk Hoạt động trải nghiệm 12 - Cánh diều
- Giải sgk Giáo dục quốc phòng 12 - Cánh diều
- Giải sgk Âm nhạc 12 - Cánh diều


Giải bài tập SGK & SBT
Tài liệu giáo viên
Sách
Khóa học
Thi online
Hỏi đáp

