Phương pháp đưa về cùng cơ số và phương pháp lôgarit hóa (cực hay)
Bài viết Phương pháp đưa về cùng cơ số và phương pháp lôgarit hóa với phương pháp giải chi tiết giúp học sinh ôn tập, biết cách làm bài tập Phương pháp đưa về cùng cơ số và phương pháp lôgarit hóa.
Phương pháp đưa về cùng cơ số và phương pháp lôgarit hóa (cực hay)
(199k) Xem Khóa học Toán 12 KNTTXem Khóa học Toán 12 CDXem Khóa học Toán 12 CTST
Bài giảng: Cách giải phương trình mũ - Cô Nguyễn Phương Anh (Giáo viên VietJack)
A. Phương pháp giải & Ví dụ
1. Phương trình mũ cơ bản.
Phương trình mũ cơ bản có dạng: ax = m (1).
Nếu m > 0 thì phương trình (1) có nghiệm duy nhất x = logam.
Nếu m ≤ 0 thì phương trình (1) vô nghiệm.
2. Phương pháp đưa về cùng cơ số.
Với a > 0 và a ≠ 1 ta có af(x) = ag(x) ⇔ f(x) = g(x).
3. Phương pháp lôgarit hoá.
af(x) = b ⇔ f(x) = logab
af(x) = bg(x) ⇔ f(x) = g(x)logab
logaf(x) = b ⇔ f(x) = ab
Ví dụ minh họa
Bài 1: Giải phương trình sau
Lời giải:
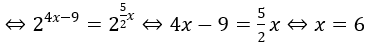
Bài 2: Giải phương trình sau
Lời giải:
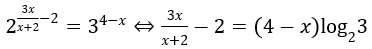
Bài 3: Giải phương trình sau
Lời giải:
B. Bài tập vận dụng
Bài 1: Giải phương trình
Lời giải:
Bài 2: Giải phương trình
Lời giải:
Bài 3: Giải phương trình
Lời giải:
Bài 4: Giải phương trình
Lời giải:
2x+2.5x+2=23x.53x ⇔ (2.5)x+2 = (2.5)3x ⇔ 10x+2 = 103x ⇔ x + 2 = 3x ⇔ x = 1
Bài 5: Giải phương trình
Lời giải:
Phương trình đã cho tương đương:
Bài 6: Giải phương trình
Lời giải:
Vậy nghiệm của phương trình đã cho là x = ±√5
Bài 7: Giải phương trình
Lời giải:
Vậy phương trình có nghiệm là x = 9
Bài 8: Giải phương trình
Lời giải:
Phương trình đã cho tương đương:
log22(x2-4) + log252-x = 0
⇔ x2 - 4 - (x-2)log25 = 0 ⇔ (x-2)(x+2-log25) = 0
Bài 9: Giải phương trình
Lời giải:
Ta có:
Bài 10: Giải phương trình
Lời giải:
Phương trình đã cho tương đương:
Bài 11: Giải phương trình
Lời giải:
Điều kiện x ≠ 2
Phương trình đã cho tương đương
Bài 12: Giải phương trình
Lời giải:
Phương trình đã cho tương đương
C. Bài tập tự luyện
Bài 1. Giải phương trình: .
Bài 2. Tìm số nghiệm của phương trình mũ: .
Bài 3. Tìm nghiệm của phương trình mũ .
Bài 4. Giải phương trình: .
Bài 5. Giải phương trình: 73x + 9.52x = 52x + 9.73x.
(199k) Xem Khóa học Toán 12 KNTTXem Khóa học Toán 12 CDXem Khóa học Toán 12 CTST
Xem thêm các dạng bài tập Toán lớp 12 ôn thi Tốt nghiệp có lời giải hay khác:
- Trắc nghiệm Phương pháp đưa về cùng cơ số và phương pháp lôgarit hóa
- Dạng 2: Phương pháp đặt ẩn phụ trong phương trình mũ
- Trắc nghiệm phương pháp đặt ẩn phụ trong phương trình mũ
- Dạng 3: Sử dụng tính đơn điệu để giải phương trình mũ
- Trắc nghiệm Sử dụng tính đơn điệu để giải phương trình mũ
Đã có app VietJack trên điện thoại, giải bài tập SGK, SBT Soạn văn, Văn mẫu, Thi online, Bài giảng....miễn phí. Tải ngay ứng dụng trên Android và iOS.
Theo dõi chúng tôi miễn phí trên mạng xã hội facebook và youtube:Nếu thấy hay, hãy động viên và chia sẻ nhé! Các bình luận không phù hợp với nội quy bình luận trang web sẽ bị cấm bình luận vĩnh viễn.
- Giải Tiếng Anh 12 Global Success
- Giải sgk Tiếng Anh 12 Smart World
- Giải sgk Tiếng Anh 12 Friends Global
- Lớp 12 Kết nối tri thức
- Soạn văn 12 (hay nhất) - KNTT
- Soạn văn 12 (ngắn nhất) - KNTT
- Giải sgk Toán 12 - KNTT
- Giải sgk Vật Lí 12 - KNTT
- Giải sgk Hóa học 12 - KNTT
- Giải sgk Sinh học 12 - KNTT
- Giải sgk Lịch Sử 12 - KNTT
- Giải sgk Địa Lí 12 - KNTT
- Giải sgk Giáo dục KTPL 12 - KNTT
- Giải sgk Tin học 12 - KNTT
- Giải sgk Công nghệ 12 - KNTT
- Giải sgk Hoạt động trải nghiệm 12 - KNTT
- Giải sgk Giáo dục quốc phòng 12 - KNTT
- Giải sgk Âm nhạc 12 - KNTT
- Giải sgk Mĩ thuật 12 - KNTT
- Lớp 12 Chân trời sáng tạo
- Soạn văn 12 (hay nhất) - CTST
- Soạn văn 12 (ngắn nhất) - CTST
- Giải sgk Toán 12 - CTST
- Giải sgk Vật Lí 12 - CTST
- Giải sgk Hóa học 12 - CTST
- Giải sgk Sinh học 12 - CTST
- Giải sgk Lịch Sử 12 - CTST
- Giải sgk Địa Lí 12 - CTST
- Giải sgk Giáo dục KTPL 12 - CTST
- Giải sgk Tin học 12 - CTST
- Giải sgk Hoạt động trải nghiệm 12 - CTST
- Giải sgk Âm nhạc 12 - CTST
- Lớp 12 Cánh diều
- Soạn văn 12 Cánh diều (hay nhất)
- Soạn văn 12 Cánh diều (ngắn nhất)
- Giải sgk Toán 12 Cánh diều
- Giải sgk Vật Lí 12 - Cánh diều
- Giải sgk Hóa học 12 - Cánh diều
- Giải sgk Sinh học 12 - Cánh diều
- Giải sgk Lịch Sử 12 - Cánh diều
- Giải sgk Địa Lí 12 - Cánh diều
- Giải sgk Giáo dục KTPL 12 - Cánh diều
- Giải sgk Tin học 12 - Cánh diều
- Giải sgk Công nghệ 12 - Cánh diều
- Giải sgk Hoạt động trải nghiệm 12 - Cánh diều
- Giải sgk Giáo dục quốc phòng 12 - Cánh diều
- Giải sgk Âm nhạc 12 - Cánh diều


Giải bài tập SGK & SBT
Tài liệu giáo viên
Sách
Khóa học
Thi online
Hỏi đáp

