Phương pháp tính thể tích khối lăng trụ đều (cực hay)
Bài viết Phương pháp tính thể tích khối lăng trụ đều với phương pháp giải chi tiết giúp học sinh ôn tập, biết cách làm bài tập Phương pháp tính thể tích khối lăng trụ đều.
Phương pháp tính thể tích khối lăng trụ đều (cực hay)
(199k) Xem Khóa học Toán 12 KNTTXem Khóa học Toán 12 CDXem Khóa học Toán 12 CTST
Bài giảng: Cách tính Thể tích hình chóp, hình lăng trụ - Cô Nguyễn Phương Anh (Giáo viên VietJack)
1. Phương pháp giải
+ Khối lăng trụ đều là khối lăng trụ có đáy là tam giác đều.
+ Tính diện tích đáy, chiều cao hình lăng trụ.
+ Tính thể tích khối lăng trụ.
+ Chú ý: Diện tích tam giác đều cạnh a là
Diện tích hình vuông cạnh a: S= a2.
2. Ví dụ minh họa
Ví dụ 1. Cho hình lăng trụ tam giác đều ABC. A’B’C’ có cạnh đáy bằng a và chiều cao bằng
.Thể tích khối tứ diện AC’A’B’ là
Hướng dẫn giải
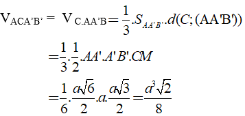
+ Gọi M là trung điểm của AB.
Vì tam giác ABC là tam giác đều nên CM⊥AB
=> CM = d( C, (AA’B’)
+ Thể tích khối tứ diện AC’A’B’ là:
Chọn A.
Ví dụ 2.Cho lăng trụ tứ giác đều ABCD.A’B’C’D’ có cạnh bên bằng 4a và đường chéo 5a. Tính thể tích khối lăng trụ này.
A. 8a3
B. 9a3
C. 18a3
D. 21a3
Hướng dẫn giải
Do ABCD.A’B’C’D’ là lăng trụ đứng nên DD'⊥BD
Xét tam giác vuông DD’B có:
Vì ABCD là hình vuông nên
Suy ra diện tích đáy là:
Vậy thể tích của khối lăng tụ đã cho là:
Chọn C.
Ví dụ 3. Cho lăng trụ tứ giác đều ABCD.A’B’C’D’ có cạnh đáy a và mặt phẳng ( BDC’) hợp với đáy (ABCD) một góc 60o. Tính thể tích khối hộp chữ nhật.
Hướng dẫn giải
Gọi O là giao điểm của AC và BD.
Ta có ABCD là hình vuông nên OC⊥BD
Lại có:CC'⊥(ABCD)
Suy ra:OC'⊥BD( định lí 3 đường vuông góc)
Do đó, góc giữa mp (BDC’) với đáy là góc
Tam giác ABC vuông tại B, AB=BC=a nên:
Xét tam giác OCC’ vuông tại C nên
Đáy ABCD là hình vuông cạnh a nên SABCD= a2
Thể tích của khối hộp chữ nhật đã cho là:
Chọn C.
Ví dụ 4. Cho hình lăng trụ tứ giác đều ABCD.A’B’C’D’ có chiều cao bằng h và góc của hai đường chéo của hai mặt bên kề nhau xuất phát từ một đỉnh là α . Tính thể tích của lăng trụ theo h và α là
Hướng dẫn giải
Gọi x là độ dài cạnh của đáy của hình lăng trụ
Ta có:
*Theo giả thiết, góc giữa hai đường chéo của hai mặt bên kề nhau xuất phát từ một đỉnh là α nên
* Áp dụng định lí co-sin vào tam giác AB’D’ ta có:
Diện tích của hình vuông ABCD là: SABCD= x2
Khi đó, thể tích của lăng trụ đã cho là:
Chọn C.
Ví dụ 5. Tính thể tích lăng trụ đều ABC. A’B’C’, biết (ABC’) hợp với đáy góc 60o và diện tích tam giác ABC’ bằng
Hướng dẫn giải
Gọi H là trung điểm AB
*Do tam giác ABC là tam giác đều nên CH⊥AB
Tương tự, tam giác C’AB là tam giác cân nên C'H⊥AB
* Mà 2 mặt phẳng ( ABC’) và ( ABC) cắt nhau theo giao tuyến AB nên góc giữa hai mặt phẳng ( ABC’) và (ABC) là góc
* Do diện tích tam giác ABC’ là nên:
*Xét tam giác HCC’ vuông tại C:
Vậy (2)
Từ (1) và (2) suy ra:
* Lại có:
Diện tích tam giác ABC là :
* Thể tích của khối lăng trụ đã cho là
Chọn C.
(199k) Xem Khóa học Toán 12 KNTTXem Khóa học Toán 12 CDXem Khóa học Toán 12 CTST
Xem thêm các dạng bài tập Toán lớp 12 ôn thi Tốt nghiệp có lời giải hay khác:
- Tính thể tích khối lăng trụ đứng biết chiều cao và độ dài cạnh đáy
- Tính thể tích khối lăng trụ đứng biết góc giữa đường thẳng và mặt phẳng
- Tính thể tích khối lăng trụ đứng biết góc giữa hai mặt phẳng
- Phương pháp tính thể tích khối lăng trụ xiên (cực hay)
Đã có app VietJack trên điện thoại, giải bài tập SGK, SBT Soạn văn, Văn mẫu, Thi online, Bài giảng....miễn phí. Tải ngay ứng dụng trên Android và iOS.
Theo dõi chúng tôi miễn phí trên mạng xã hội facebook và youtube:Nếu thấy hay, hãy động viên và chia sẻ nhé! Các bình luận không phù hợp với nội quy bình luận trang web sẽ bị cấm bình luận vĩnh viễn.
- Giải Tiếng Anh 12 Global Success
- Giải sgk Tiếng Anh 12 Smart World
- Giải sgk Tiếng Anh 12 Friends Global
- Lớp 12 Kết nối tri thức
- Soạn văn 12 (hay nhất) - KNTT
- Soạn văn 12 (ngắn nhất) - KNTT
- Giải sgk Toán 12 - KNTT
- Giải sgk Vật Lí 12 - KNTT
- Giải sgk Hóa học 12 - KNTT
- Giải sgk Sinh học 12 - KNTT
- Giải sgk Lịch Sử 12 - KNTT
- Giải sgk Địa Lí 12 - KNTT
- Giải sgk Giáo dục KTPL 12 - KNTT
- Giải sgk Tin học 12 - KNTT
- Giải sgk Công nghệ 12 - KNTT
- Giải sgk Hoạt động trải nghiệm 12 - KNTT
- Giải sgk Giáo dục quốc phòng 12 - KNTT
- Giải sgk Âm nhạc 12 - KNTT
- Giải sgk Mĩ thuật 12 - KNTT
- Lớp 12 Chân trời sáng tạo
- Soạn văn 12 (hay nhất) - CTST
- Soạn văn 12 (ngắn nhất) - CTST
- Giải sgk Toán 12 - CTST
- Giải sgk Vật Lí 12 - CTST
- Giải sgk Hóa học 12 - CTST
- Giải sgk Sinh học 12 - CTST
- Giải sgk Lịch Sử 12 - CTST
- Giải sgk Địa Lí 12 - CTST
- Giải sgk Giáo dục KTPL 12 - CTST
- Giải sgk Tin học 12 - CTST
- Giải sgk Hoạt động trải nghiệm 12 - CTST
- Giải sgk Âm nhạc 12 - CTST
- Lớp 12 Cánh diều
- Soạn văn 12 Cánh diều (hay nhất)
- Soạn văn 12 Cánh diều (ngắn nhất)
- Giải sgk Toán 12 Cánh diều
- Giải sgk Vật Lí 12 - Cánh diều
- Giải sgk Hóa học 12 - Cánh diều
- Giải sgk Sinh học 12 - Cánh diều
- Giải sgk Lịch Sử 12 - Cánh diều
- Giải sgk Địa Lí 12 - Cánh diều
- Giải sgk Giáo dục KTPL 12 - Cánh diều
- Giải sgk Tin học 12 - Cánh diều
- Giải sgk Công nghệ 12 - Cánh diều
- Giải sgk Hoạt động trải nghiệm 12 - Cánh diều
- Giải sgk Giáo dục quốc phòng 12 - Cánh diều
- Giải sgk Âm nhạc 12 - Cánh diều


Giải bài tập SGK & SBT
Tài liệu giáo viên
Sách
Khóa học
Thi online
Hỏi đáp

