Tính thể tích khối lăng trụ đứng biết góc giữa đường thẳng và mặt phẳng
Bài viết Tính thể tích khối lăng trụ đứng biết góc giữa đường thẳng và mặt phẳng với phương pháp giải chi tiết giúp học sinh ôn tập, biết cách làm bài tập Tính thể tích khối lăng trụ đứng biết góc giữa đường thẳng và mặt phẳng.
Tính thể tích khối lăng trụ đứng biết góc giữa đường thẳng và mặt phẳng
(199k) Xem Khóa học Toán 12 KNTTXem Khóa học Toán 12 CDXem Khóa học Toán 12 CTST
Bài giảng: Cách tính Thể tích hình chóp, hình lăng trụ - Cô Nguyễn Phương Anh (Giáo viên VietJack)
1. Phương pháp giải
+ Xác định góc giữa đường thẳng và mặt phẳng đề bài cho
+ Dựa vào các dữ kiện, tính độ dài các cạnh, chiều cao, diện tích đáy của hình lăng trụ
+ Tính thể tích của khối lăng trụ.
* Chú ý: Các công thức tính diện tích tam giác, hệ thức lượng trong tam giác vuông.
2. Ví dụ minh họa
Ví dụ 1: Cho lăng trụ đứng tam giác ABC.A'B'C' có đáy ABC là tam giác vuông cân tại B với BA = BC = a ,biết A'B hợp với đáy (ABC) một góc 60o. Tính thể tích lăng trụ.
Hướng dẫn giải
Ta có:
Lại có AB là hình chiếu của A'B trên mặt phẳng (ABC)
Suy ra, góc giữa đường thẳng A’B và mp(ABC) bằng góc
Xét tam giác vuông ABA’ có:
Diện tích tam giác ABC là:
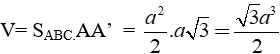
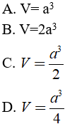
Vậy thể tích của lăng trụ đã cho là:
Chọn B.
Ví dụ 2. Cho lăng trụ đứng tam giác ABC.A'B'C' có đáy ABC là tam giác vuông tại A với AC = a, ; biết BC' hợp với (AA'C'C) một góc 30o. Tính thể tích lăng trụ.
Hướng dẫn giải
Xét tam giác ABC vuông tại A có AB= AC.tan60o=
Ta có:
nên AC' là hình chiếu của BC' trên (AA'C'C).
Vậy góc ( BC’; (AA’C’C))== 30o
Xét tam giác AC’B có
Diện tích tam giác ABC là:
Xét tam giác AA’C’ có:
Do đó, thể tích của khối lăng trụ đã cho là:
Ví dụ 3. Cho lăng trụ đứng ABCD.A'B'C'D' có đáy ABCD là hình vuông cạnh a và đường chéo BD' của lăng trụ hợp với đáy ABCD một góc 30o. Tính thể tích của lăng trụ .
Hướng dẫn giải
Ta có ABCD.A'B'C'D' là lăng trụ đứng nên ta có:
Do đó, BD là hình chiếu của BD' trên (ABCD).
Tam giác ABD vuông cân tại A có AB = AD= a nên
Xét tam giác vuông BDD’ có:
Diện tích hình vuông ABCD là SABCD = a2
Thể tích của hình lăng trụ đã cho là:
Chọn B
Ví dụ 4: Cho hình hộp đứng ABCD.A'B'C'D' có đáy ABCD là hình thoi cạnh a và , biết AB' hợp với đáy (ABCD) một góc 30o. Tính thể tích của hình hộp.
Hướng dẫn giải
Do ABCD là hình thoi nên AB= AD. Suy ra, tam giác ABD cân tại A.
Lại có: nên tam giác ABD là tam giác đều cạnh a.
Diện tích tam giác ABD là:
Suy ra, diện tích hình thoi ABCD là:
Do ABCD.A’B’C’D’ là hình hộp đứng nên BB'⊥AB
Xét tam giác ABB’ ta có:
Thể tích hình hộp đã cho là:
Chọn C
(199k) Xem Khóa học Toán 12 KNTTXem Khóa học Toán 12 CDXem Khóa học Toán 12 CTST
Xem thêm các dạng bài tập Toán lớp 12 ôn thi Tốt nghiệp có lời giải hay khác:
- Tính thể tích khối lăng trụ đứng biết chiều cao và độ dài cạnh đáy
- Tính thể tích khối lăng trụ đứng biết góc giữa hai mặt phẳng
- Phương pháp tính thể tích khối lăng trụ đều (cực hay)
- Phương pháp tính thể tích khối lăng trụ xiên (cực hay)
Đã có app VietJack trên điện thoại, giải bài tập SGK, SBT Soạn văn, Văn mẫu, Thi online, Bài giảng....miễn phí. Tải ngay ứng dụng trên Android và iOS.
Theo dõi chúng tôi miễn phí trên mạng xã hội facebook và youtube:Nếu thấy hay, hãy động viên và chia sẻ nhé! Các bình luận không phù hợp với nội quy bình luận trang web sẽ bị cấm bình luận vĩnh viễn.
- Giải Tiếng Anh 12 Global Success
- Giải sgk Tiếng Anh 12 Smart World
- Giải sgk Tiếng Anh 12 Friends Global
- Lớp 12 Kết nối tri thức
- Soạn văn 12 (hay nhất) - KNTT
- Soạn văn 12 (ngắn nhất) - KNTT
- Giải sgk Toán 12 - KNTT
- Giải sgk Vật Lí 12 - KNTT
- Giải sgk Hóa học 12 - KNTT
- Giải sgk Sinh học 12 - KNTT
- Giải sgk Lịch Sử 12 - KNTT
- Giải sgk Địa Lí 12 - KNTT
- Giải sgk Giáo dục KTPL 12 - KNTT
- Giải sgk Tin học 12 - KNTT
- Giải sgk Công nghệ 12 - KNTT
- Giải sgk Hoạt động trải nghiệm 12 - KNTT
- Giải sgk Giáo dục quốc phòng 12 - KNTT
- Giải sgk Âm nhạc 12 - KNTT
- Giải sgk Mĩ thuật 12 - KNTT
- Lớp 12 Chân trời sáng tạo
- Soạn văn 12 (hay nhất) - CTST
- Soạn văn 12 (ngắn nhất) - CTST
- Giải sgk Toán 12 - CTST
- Giải sgk Vật Lí 12 - CTST
- Giải sgk Hóa học 12 - CTST
- Giải sgk Sinh học 12 - CTST
- Giải sgk Lịch Sử 12 - CTST
- Giải sgk Địa Lí 12 - CTST
- Giải sgk Giáo dục KTPL 12 - CTST
- Giải sgk Tin học 12 - CTST
- Giải sgk Hoạt động trải nghiệm 12 - CTST
- Giải sgk Âm nhạc 12 - CTST
- Lớp 12 Cánh diều
- Soạn văn 12 Cánh diều (hay nhất)
- Soạn văn 12 Cánh diều (ngắn nhất)
- Giải sgk Toán 12 Cánh diều
- Giải sgk Vật Lí 12 - Cánh diều
- Giải sgk Hóa học 12 - Cánh diều
- Giải sgk Sinh học 12 - Cánh diều
- Giải sgk Lịch Sử 12 - Cánh diều
- Giải sgk Địa Lí 12 - Cánh diều
- Giải sgk Giáo dục KTPL 12 - Cánh diều
- Giải sgk Tin học 12 - Cánh diều
- Giải sgk Công nghệ 12 - Cánh diều
- Giải sgk Hoạt động trải nghiệm 12 - Cánh diều
- Giải sgk Giáo dục quốc phòng 12 - Cánh diều
- Giải sgk Âm nhạc 12 - Cánh diều


Giải bài tập SGK & SBT
Tài liệu giáo viên
Sách
Khóa học
Thi online
Hỏi đáp

