Phương trình đường thẳng và cách giải bài tập (hay, chi tiết)
Với loạt Phương trình đường thẳng và cách giải bài tập sẽ giúp học sinh nắm vững lý thuyết, biết cách làm bài tập từ đó có kế hoạch ôn tập hiệu quả để đạt kết quả cao trong các bài thi môn Toán 12.
Phương trình đường thẳng và cách giải bài tập
(199k) Xem Khóa học Toán 12 KNTTXem Khóa học Toán 12 CDXem Khóa học Toán 12 CTST
I. LÝ THUYẾT
1. Vectơ chỉ phương của đường thẳng
- Vectơ
khác vectơ – không được gọi là vectơ chỉ phương của đường thẳng d nếu giá của vectơ
song song hoặc trùng với đường thẳng d.
- Nếu
là vectơ chỉ phương của đường thẳng d thì vectơ
với k ≠ 0 cũng là vectơ chỉ phương của đường thẳng d => đường thẳng d có vô số vectơ chỉ phương và các vectơ chỉ phương này cùng phương.
- Một đường thẳng d trong không gian hoàn toàn xác định nếu biết một điểm A thuộc d và một vectơ chỉ phương
của nó.
2. Phương trình tham số – Phương trình chính tắc của đường thẳng
- Phương trình tham số của đường thẳng d đi qua điểm M0(x0;y0;z0) và có vectơ chỉ phương
là phương trình có dạng
trong đó t là tham số.
- Nếu
thì ta có thể viết phương trình đường thẳng d dưới dạng chính tắc như sau:
II. PHƯƠNG PHÁP GIẢI VÀ VÍ DỤ MINH HỌA
Dạng 1: Xác định vectơ chỉ phương (VTCP) của đường thẳng
Phương pháp giải:
Đường thẳng
, hoặc
thì d đi qua M0(x0;y0;z0) và có 1 VTCP
.
là 1 VTCP của d thì cũng là 1 VTCP của d.
Một số dạng thường gặp:
+) d qua hai điểm A, B thì
là 1 VTCP của d.
+) (d) ⊥ (P): Ax + By + Cz + D = 0 thì (A; B; C) là 1 VTCP của d.
+) (d) || (Δ) mà (Δ) có VTCP
thì
cũng là 1 VTCP của d.
+) (d) = (P) ∩ (Q) thì
là 1 VTCP của d.
+) (d) ⊥ (d1) và (d) ⊥ (d2) thì
là 1 VTCP của d.
+) (d) || (P) và (d) ⊥ (Δ) thì
là 1 VTCP của d.
Ví dụ 1: Trong không gian cho A (1; 1; 0) và B (0; 1; 2). Vectơ nào sau đây là một VTCP của đường thẳng AB?

Hướng dẫn giải:
Một vectơ chỉ phương của đường thẳng AB là
Chọn B.
Ví dụ 2: Cho (P): 3x – y + 2z – 7 = 0 và (Q): x + 3y – 2z + 3 = 0. Biết d là giao tuyến của (P) và (Q), một VTCP của d là:

Hướng dẫn giải:
(P) có vectơ pháp tuyến là
(Q) có vectơ pháp tuyến là
Vì d là là giao tuyến của (P) và (Q) nên ta có
Ta chọn VTCP là
Chọn A.
Dạng 2: Viết phương trình đường thẳng đi qua 1 điểm và biết vectơ chỉ phương.
Phương pháp giải:
a) Loại 1: Viết phương trình đường thẳng Δ đi qua điểm M0(x0;y0;z0) và có vectơ chỉ phương
.
+) Phương trình tham số của đường thẳng Δ là:
+) Phương trình chính tắc của đường thẳng Δ là:
b) Loại 2: Viết phương trình đường thẳng Δ đi qua hai điểm A, B.
+) Xác định vectơ chỉ phương của Δ là
+) Viết phương trình đường thẳng Δ qua điểm A và có VTCP là
c) Loại 3: Viết phương trình đường thẳng Δ đi qua điểm M và song song với đường thẳng d.
+) Xác định vectơ chỉ phương của đường thẳng Δ là
+) Viết phương trình đường thẳng Δ qua điểm M và có VTCP là
Chú ý: Các trường hợp đặc biệt.
Nếu đường thẳng Δ song song với trục Ox thì có VTCP là
Nếu đường thẳng Δ song song với trục Oy thì có VTCP là
Nếu đường thẳng Δ song song với trục Oz thì có VTCP là
d) Loại 4: Viết phương trình đường thẳng Δ đi qua điểm M và vuông góc với mặt phẳng (α).
+) Xác định vectơ chỉ phương của đường thẳng Δ là
+) Viết phương trình đường thẳng Δ qua điểm M và có VTCP là
Chú ý: Các trường hợp đặc biệt.
Nếu Δ vuông góc với mặt phẳng (Oxy) thì có VTCP là
Nếu Δ vuông góc với mặt phẳng (Oxz) thì có VTCP là
Nếu Δ vuông góc với mặt phẳng (Oyz) thì có VTCP là
Ví dụ 3: Viết phương trình đường thẳng Δ đi qua điểm M (1; 2; -3) và có vectơ chỉ phương

Hướng dẫn giải:
Phương trình tham số của đường thẳng Δ là:
Chọn A
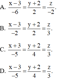
Ví dụ 4: Trong không gian với hệ tọa độ Oxyz cho A (2; 3; -1), B (1; 2; 4), phương trình đường thẳng d đi qua hai điểm A, B là

Hướng dẫn giải:
Đường thẳng d đi qua điểm A và nhận
làm vectơ chỉ phương.
Nên phương trình đường thẳng d là:
Chọn C.
Ví dụ 5: Trong không gian với hệ tọa độ Oxyz hãy viết phương trình đường thẳng Δ đi qua điểm M (4; -2; 2) và song song với đường thẳng

Hướng dẫn giải:
Đường thẳng d có vectơ chỉ phương là
Vì đường thẳng Δ song song với đường thẳng d nên
Vì Δ đi qua điểm M nên ta có phương trình đường thẳng Δ là:
Chọn A.
Ví dụ 6: Trong không gian với hệ trục tọa độ Oxyz, viết phương trình đường thẳng Δ đi qua điểm A (-2; 4; 3) và vuông góc với mặt phẳng (α): 2x – 3y + 6z + 19 = 0.

Hướng dẫn giải:
Mặt phẳng (α) có vectơ pháp tuyến là 
Vì đường thẳng Δ vuông góc với mặt phẳng (α) nên
Vì Δ đi qua điểm A (-2; 4; 3) nên phương trình đường thẳng Δ là:
Chọn C.
Dạng 3: Viết phương trình đường thẳng đi qua 1 điểm, cắt d1 và thỏa mãn điều kiện khác
a) Loại 1: Viết phương trình đường thẳng Δ đi qua điểm M0(x0;y0;z0) , vuông góc và cắt đường thẳng d.
Phương pháp giải:
Gọi H = (Δ) ∩ d
Tìm tọa độ điểm H từ điều kiện
Δ là đường thẳng đi qua 2 điểm M và H.
Ví dụ 7: Trong không gian với hệ tọa độ Oxyz cho điểm M (2; 3; -1) và đường thẳng
Gọi Δ là đưởng thẳng qua M, vuông góc và cắt d. Viết phương trình của Δ

Hướng dẫn giải:
Đường thẳng d có vectơ chỉ phương là
Gọi N là giao điểm của Δ và d. Vì N ∈ d => N (2t; 4t; 3 + t).
Suy ra
Vì

Khi đó:
Suy ra Δ có một vectơ chỉ phương là
. Mà Δ đi qua M nên phương trình đường thẳng
Chọn C
b) Loại 2: Viết phương trình đường thẳng Δ đi qua điểm A vuông góc với đường thẳng d1 và cắt đường thẳng d2
Phương pháp giải:
Gọi B = Δ ∩ d2.
Tìm tọa độ điểm B từ điều kiện
Δ là đường thẳng đi qua 2 điểm A, B.
Ví dụ 8: Trong không gian với hệ tọa độ Oxyz, cho điểm A (1; -1; 3) và hai đường thẳng: 
Viết phương trình đường thẳng d đi qua điểm A vuông góc với đường thẳng d1 và cắt đường thẳng d2

Hướng dẫn giải:
Gọi: 
Đường thẳng d nhận
là một VTCP.
Đường thẳng d1 có vectơ chỉ phương là
Ta có:

Đường thẳng d qua A (1; -1; 3) và nhận
là một VTCP nên phương trình đường thẳng d là
Chọn C
Loại 3: Viết phương trình đường thẳng Δ đi qua điểm M và cắt hai đường thẳng d1 và d2
Phương pháp giải:
Gọi A, B lần lượt là giao điểm của d và d1, d và d2.
Đường thẳng d đi qua M nên A, B, M thẳng hàng
cùng phương
.Từ đó tìm ra A và B.
Ví dụ 9: Trong không gian với hệ tọa độ Oxyz, cho điểm M (2; -1; -6) và hai đường thẳng
Đường thẳng đi qua điểm M và cắt cả hai đường thẳng d1 ;d2 tại hai điểm A, B. Độ dài đoạn thẳng AB bằng

Hướng dẫn giải
Vì A thuộc
nên A (1 + 2t; 1 – t; -1 + t).
Vì B thuộc
nên B (-2 + 3t’; -1 + t’; 2 + 2t’).
Suy ra
Ta có A, B, M thẳng hàng khi và chỉ khi

Với t = 1, t’ = 2 ta được A (3; 0; 0), B (4; 1; 6), suy ra
Chọn A.
III. BÀI TẬP ÁP DỤNG
Câu 1: Trong không gian cho đường thẳng
Một vectơ chỉ phương của d là:

Câu 2: Trong không gian cho M (1; 2; 3). Gọi M1;M2 lần lượt là hình chiếu của M lên Ox, Oy. Vectơ nào sau đây là VTCP của M1,M2 ?

Câu 3: Trong không gian cho điểm A (0; 1; 2) và mặt phẳng (P): 2x – y + z – 4 = 0. Đường thẳng Δ qua A, cắt
và song song với (P) có một VTCP là:

Câu 4: Trong không gian cho đường thẳng d có phương trình
. Một vectơ chỉ phương của d là

Câu 5: Trong không gian với hệ tọa độ Oxyz cho A (3; -2; 0), B (1; 1; 4), C (-5; 3; 2), viết phương trình đường thẳng AM với M là trung điểm của đoạn thẳng BC

Câu 6: Trong không gian với hệ tọa độ Oxyz hãy viết phương trình đường thẳng d đi qua điểm M (5; -1; 3) và vuông góc với mặt phẳng (Oxy).

Câu 7: Trong không gian với hệ tọa độ Oxyz, cho hai điểm A (1; 2; 4), B (-1; 5; 1), C (3; 2; 1) và mặt phẳng (α): - x + 4y – 2z + 6 = 0. Phương trình nào dưới đây là phương trình của đường thẳng đi qua trọng tâm của tam giác ABC và vuông góc với (α).

Câu 8: Trong không gian với hệ trục tọa độ Oxyz cho
điểm A (3; 2; 1). Viết phương trình đường thẳng Δ qua A, cắt đồng thời vuông góc với đường thẳng d.

Câu 9: Trong không gian với hệ tọa độ Oxyz, viết phương trình tham số của đường thẳng Δ đi qua điểm M (-1; 2; -3) và song song với đường thẳng 

Câu 10: Viết phương trình chính tắc của đường thẳng Δ đi qua điểm A (3; -1; -4) cắt trục Oy và song song với mặt phẳng (P): 2x + y = 0.

ĐÁP ÁN
Câu |
1 |
2 |
3 |
4 |
5 |
6 |
7 |
8 |
9 |
10 |
Đáp án |
D |
D |
B |
C |
D |
B |
D |
D |
A |
C |
IV. BÀI TẬP TỰ LUYỆN
Bài 1. Viết phương trình tham số của đường thẳng Δ đi qua điểm S(1; 2; -3) và có vectơ chỉ phương .
Bài 2. Trong không gian với hệ tọa độ Oxyz cho M(0; 3; -1), N(1; 2; 4). Viết phương trình đường thẳng d đi qua hai điểm M, N đã cho.
Bài 3. Trong không gian với hệ tọa độ Oxyz, hãy viết phương trình đường thẳng Δ đi qua điểm M (4; -2; 2) và song song với đường thẳng d: .
Bài 4. Trong không gian với hệ trục tọa độ Oxyz, viết phương trình đường thẳng Δ đi qua điểm P(-2; 0; 3) và vuông góc với mặt phẳng (α): x – 2y + 3z + 5 = 0.
Bài 5. Trong không gian với hệ tọa độ Oxyz, cho điểm M (2; -1; -6) và hai đường thẳng d1: ; d2: Đường thẳng đi qua điểm M và cắt cả hai đường thẳng d1 ;d2 tại hai điểm E, F. Tính độ dài đoạn thẳng EF.
(199k) Xem Khóa học Toán 12 KNTTXem Khóa học Toán 12 CDXem Khóa học Toán 12 CTST
Xem thêm phương pháp giải các dạng bài tập Toán lớp 12 hay, chi tiết khác:
- Phương trình mặt cầu và cách giải
- Các bài toán về Vị trí tương đối trong không gian và cách giải
- Các bài toán về Góc trong không gian và cách giải
- Các bài toán về Khoảng cách trong không gian và cách giải
- Bài toán Cực trị trong hình học không gian và cách giải
Đã có app VietJack trên điện thoại, giải bài tập SGK, SBT Soạn văn, Văn mẫu, Thi online, Bài giảng....miễn phí. Tải ngay ứng dụng trên Android và iOS.
Theo dõi chúng tôi miễn phí trên mạng xã hội facebook và youtube:Nếu thấy hay, hãy động viên và chia sẻ nhé! Các bình luận không phù hợp với nội quy bình luận trang web sẽ bị cấm bình luận vĩnh viễn.
- Giải Tiếng Anh 12 Global Success
- Giải sgk Tiếng Anh 12 Smart World
- Giải sgk Tiếng Anh 12 Friends Global
- Lớp 12 Kết nối tri thức
- Soạn văn 12 (hay nhất) - KNTT
- Soạn văn 12 (ngắn nhất) - KNTT
- Giải sgk Toán 12 - KNTT
- Giải sgk Vật Lí 12 - KNTT
- Giải sgk Hóa học 12 - KNTT
- Giải sgk Sinh học 12 - KNTT
- Giải sgk Lịch Sử 12 - KNTT
- Giải sgk Địa Lí 12 - KNTT
- Giải sgk Giáo dục KTPL 12 - KNTT
- Giải sgk Tin học 12 - KNTT
- Giải sgk Công nghệ 12 - KNTT
- Giải sgk Hoạt động trải nghiệm 12 - KNTT
- Giải sgk Giáo dục quốc phòng 12 - KNTT
- Giải sgk Âm nhạc 12 - KNTT
- Giải sgk Mĩ thuật 12 - KNTT
- Lớp 12 Chân trời sáng tạo
- Soạn văn 12 (hay nhất) - CTST
- Soạn văn 12 (ngắn nhất) - CTST
- Giải sgk Toán 12 - CTST
- Giải sgk Vật Lí 12 - CTST
- Giải sgk Hóa học 12 - CTST
- Giải sgk Sinh học 12 - CTST
- Giải sgk Lịch Sử 12 - CTST
- Giải sgk Địa Lí 12 - CTST
- Giải sgk Giáo dục KTPL 12 - CTST
- Giải sgk Tin học 12 - CTST
- Giải sgk Hoạt động trải nghiệm 12 - CTST
- Giải sgk Âm nhạc 12 - CTST
- Lớp 12 Cánh diều
- Soạn văn 12 Cánh diều (hay nhất)
- Soạn văn 12 Cánh diều (ngắn nhất)
- Giải sgk Toán 12 Cánh diều
- Giải sgk Vật Lí 12 - Cánh diều
- Giải sgk Hóa học 12 - Cánh diều
- Giải sgk Sinh học 12 - Cánh diều
- Giải sgk Lịch Sử 12 - Cánh diều
- Giải sgk Địa Lí 12 - Cánh diều
- Giải sgk Giáo dục KTPL 12 - Cánh diều
- Giải sgk Tin học 12 - Cánh diều
- Giải sgk Công nghệ 12 - Cánh diều
- Giải sgk Hoạt động trải nghiệm 12 - Cánh diều
- Giải sgk Giáo dục quốc phòng 12 - Cánh diều
- Giải sgk Âm nhạc 12 - Cánh diều


Giải bài tập SGK & SBT
Tài liệu giáo viên
Sách
Khóa học
Thi online
Hỏi đáp

