Cách tính tích phân của hàm trị tuyệt đối (cực hay)
Bài viết Cách tính tích phân của hàm trị tuyệt đối với phương pháp giải chi tiết giúp học sinh ôn tập, biết cách làm bài tập tích phân của hàm trị tuyệt đối.
Cách tính tích phân của hàm trị tuyệt đối (cực hay)
(199k) Xem Khóa học Toán 12 KNTTXem Khóa học Toán 12 CDXem Khóa học Toán 12 CTST
Bài giảng: Ứng dụng của tích phân tính diện tích, tính thể tích - Cô Nguyễn Phương Anh (Giáo viên VietJack)
A. Phương pháp giải
Muốn tính tích phân của hàm có chứa dấu giá trị tuyệt đối, ta cần lập bảng xét dấu của biểu thức trong dấu giá trị tuyệt đối. Từ đó, phá dấu giá trị tuyệt đối.
B. Ví dụ minh họa
Ví dụ 1. Tính tích phân
A. 3. B. 4. C. 2. D. 5.
Lời giải
Ví dụ 2. Tính
A. 6. B. 4. C. 10. D. 8.
Lời giải
Ví dụ 3. Tính
Lời giải
Ví dụ 4. Tính
Lời giải
Ví dụ 5. Tính
Lời giải
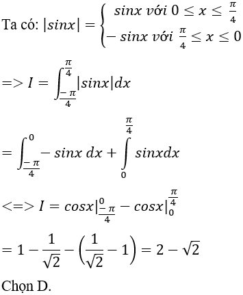
Ví dụ 6. Tính
A. 2 - 2√2. B. 4 - √2. C. 2 + √2. D. 2 - √2.
Lời giải
Ví dụ 7. Tính
Lời giải
Ví dụ 8. Tính
A. 2. B. 3. C. 4. D. 5.
Lời giải
C. Bài tập vận dụng
Câu 1: Tính
A. 2√2 - 4. B. 2√2 - 2. C. 2√2 + 2. D. √2 - 2.
Lời giải:
Câu 2: Tính tích phân
A. 13. B. 14. C. 12. D. 17.
Lời giải:
Câu 3: Tính
A. 6. B. 14. C. 13. D. 8.
Lời giải:
Câu 4: Tính
A. 8. B. 12. C. 16. D. 10.
Lời giải:
Câu 5: Tính
Lời giải:
Câu 6: Tính
Lời giải:
Câu 7: Tính
Lời giải:
Câu 8: Tính
Lời giải:
(199k) Xem Khóa học Toán 12 KNTTXem Khóa học Toán 12 CDXem Khóa học Toán 12 CTST
Xem thêm các dạng bài tập Toán lớp 12 ôn thi Tốt nghiệp có lời giải hay khác:
- Bài tập tính tích phân nâng cao
- Tính tích phân hàm lượng giác bằng phương pháp tích phân từng phần
- Tính tích phân hàm số mũ, logarit bằng phương pháp tích phân từng phần
- Tính tích phân của hàm số chẵn, hàm số lẻ
- Hàm số dưới dấu tích phân là thương của hàm chẵn và hàm mũ
- Bài tập tích phân nâng cao
- Ứng dụng tích phân: Tính diện tích hình phẳng
- Ứng dụng tích phân: Tính thể tích vật thể và khối tròn xoay
Đã có app VietJack trên điện thoại, giải bài tập SGK, SBT Soạn văn, Văn mẫu, Thi online, Bài giảng....miễn phí. Tải ngay ứng dụng trên Android và iOS.
Theo dõi chúng tôi miễn phí trên mạng xã hội facebook và youtube:Nếu thấy hay, hãy động viên và chia sẻ nhé! Các bình luận không phù hợp với nội quy bình luận trang web sẽ bị cấm bình luận vĩnh viễn.
- Giải Tiếng Anh 12 Global Success
- Giải sgk Tiếng Anh 12 Smart World
- Giải sgk Tiếng Anh 12 Friends Global
- Lớp 12 Kết nối tri thức
- Soạn văn 12 (hay nhất) - KNTT
- Soạn văn 12 (ngắn nhất) - KNTT
- Giải sgk Toán 12 - KNTT
- Giải sgk Vật Lí 12 - KNTT
- Giải sgk Hóa học 12 - KNTT
- Giải sgk Sinh học 12 - KNTT
- Giải sgk Lịch Sử 12 - KNTT
- Giải sgk Địa Lí 12 - KNTT
- Giải sgk Giáo dục KTPL 12 - KNTT
- Giải sgk Tin học 12 - KNTT
- Giải sgk Công nghệ 12 - KNTT
- Giải sgk Hoạt động trải nghiệm 12 - KNTT
- Giải sgk Giáo dục quốc phòng 12 - KNTT
- Giải sgk Âm nhạc 12 - KNTT
- Giải sgk Mĩ thuật 12 - KNTT
- Lớp 12 Chân trời sáng tạo
- Soạn văn 12 (hay nhất) - CTST
- Soạn văn 12 (ngắn nhất) - CTST
- Giải sgk Toán 12 - CTST
- Giải sgk Vật Lí 12 - CTST
- Giải sgk Hóa học 12 - CTST
- Giải sgk Sinh học 12 - CTST
- Giải sgk Lịch Sử 12 - CTST
- Giải sgk Địa Lí 12 - CTST
- Giải sgk Giáo dục KTPL 12 - CTST
- Giải sgk Tin học 12 - CTST
- Giải sgk Hoạt động trải nghiệm 12 - CTST
- Giải sgk Âm nhạc 12 - CTST
- Lớp 12 Cánh diều
- Soạn văn 12 Cánh diều (hay nhất)
- Soạn văn 12 Cánh diều (ngắn nhất)
- Giải sgk Toán 12 Cánh diều
- Giải sgk Vật Lí 12 - Cánh diều
- Giải sgk Hóa học 12 - Cánh diều
- Giải sgk Sinh học 12 - Cánh diều
- Giải sgk Lịch Sử 12 - Cánh diều
- Giải sgk Địa Lí 12 - Cánh diều
- Giải sgk Giáo dục KTPL 12 - Cánh diều
- Giải sgk Tin học 12 - Cánh diều
- Giải sgk Công nghệ 12 - Cánh diều
- Giải sgk Hoạt động trải nghiệm 12 - Cánh diều
- Giải sgk Giáo dục quốc phòng 12 - Cánh diều
- Giải sgk Âm nhạc 12 - Cánh diều


Giải bài tập SGK & SBT
Tài liệu giáo viên
Sách
Khóa học
Thi online
Hỏi đáp

