Cách tính thể tích khối lăng trụ xiên (cực hay)
Bài viết Cách tính thể tích khối lăng trụ xiên với phương pháp giải chi tiết giúp học sinh ôn tập, biết cách làm bài tập Cách tính thể tích khối lăng trụ xiên.
Cách tính thể tích khối lăng trụ xiên (cực hay)
(199k) Xem Khóa học Toán 12 KNTTXem Khóa học Toán 12 CDXem Khóa học Toán 12 CTST
Bài giảng: Cách tính Thể tích hình chóp, hình lăng trụ - Cô Nguyễn Phương Anh (Giáo viên VietJack)
A. Phương pháp giải & Ví dụ
Hình lăng trụ xiên là hình lăng trụ có cạnh bên không vuông góc với đáy.
Ví dụ minh họa
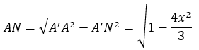
Bài 1: Cho hình lăng trụ ABC.A’B’C’, ∆ABC đều có cạnh bằng a, AA’ = a và đỉnh A’ cách đều A, B, C. Tính thể tích khối lăng trụ ABC.A’B’C’
Lời giải:
Gọi M là trung điểm của AB, O là tâm của tam giác đều ABC.
Do A’ cách đều các điểm A, B, C nên A'O ⊥ (ABC)
Tam giác ABC đều cạnh a nên:
Xét ∆A’AO vuông tại O có:
Bài 2: Cho hình lăng trụ ABC.A’B’C’ có đáy ABC là tam giác vuông tại B, AB = a, ∠(ACB) =300; M là trung điểm cạnh AC. Góc giữa cạnh bên và mặt đáy của lăng trụ bằng 600. Hình chiếu vuông góc của đỉnh A’ lên mặt phẳng (ABC) là trung điểm H của BM. Tính thể tích khối lăng trụ ABC.A’B’C’
Lời giải:
A'H ⊥ (ABC) nên A’H là đường cao của lăng trụ
AH là hình chiếu vuông góc của AA’ lên mặt (ABC) nên góc giữa AA’ và (ABC) là góc (A'AH)=600
∆ABC vuông tại B có AB = a, ∠(ACB)=300
BM là trung tuyến
⇒BM=AM=AC/2=a
⇒BM=AM=AB=a
Do đó ∆ABM đều cạnh a có AH ⊥ BM
⇒AH=(a√3)/2
Xét tam giác AA’H có:
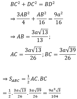
Bài 3: Cho hình lăng trụ ABC.A’B’C’, đáy ABC có AC = a√3, BC = 3a, ∠(ACB)=300. Cạnh bên hợp với mặt phẳng đáy góc 600 và mặt phẳng (A’BC) vuông góc với mặt phẳng (ABC). Điểm H trên cạnh BC sao cho HC = 3BH và mặt phẳng (A’AH) vuông góc với mặt phẳng (ABC). Tính thể tích khối lăng trụ ABC.A’B’C’
Lời giải:
⇒AH là hình chiếu vuông góc của AA’ lên (ABCD)
Khi đó góc giữa AA’ và (ABCD) là góc (A'AH) =600
Ta có: BC = 3a, HC = 3BH ⇒ HC=9a/4
Xét tam giác ACH có:
Xét tam giác AA’H có:
Bài 4: Cho lăng trụ ABCD.A’B’C’D’ có đáy ABCD là hình vuông cạnh a. Chân đường vuông góc kẻ từ A’ lên (ABCD) trùng với giao điểm của 2 đường chéo đáy, mặt (AA’B’B) hợp với đáy một góc 60°. Tính thể tích khối lăng trụ ABCD.A’B’C’D’.
Lời giải:
Kẻ OM ⊥ AB⇒ OM là đường trung bình của tam giác ABC
⇒ OM=AB/2=a/2
Xét tam giác A’MO có:
Bài 5: Cho lăng trụ ABC.A’B’C’ có độ dài tất cả các cạnh bằng a và hình chiếu của đỉnh C trên mặt phẳng (ABB’A’) là tâm của hình bình hành ABB’A’. Tính thể tích của khối lăng trụ.
Lời giải:
Gọi O là tâm hình bình hành ABB’A’.
Ta có CO ⊥ (ABB' A')
Vì CA = CB nên , suy ra hình thoi ABB’A’ là hình vuông
Do đó:
OA=AB/√2=a/√2
Xét tam giác COA vuông tại O có:
B. Bài tập vận dụng
Bài 1: Cho hình lăng trụ ABC.A’B’C’có AB = 2a, AC = a, AA'=(a√10)/2; ∠(BAC) =120º . Hình chiếu vuông góc của C’ lên mặt phẳng (ABC) là trung điểm của cạnh BC. Tính thể tích khối lăng trụ ABC.A’B’C’ theo a
Lời giải:
Đáp án : B
Giải thích :
Gọi H là trung điểm BC. Từ giả thiết suy ra C'H ⊥ (ABC).
Trong ∆ABC ta có:
Bài 2: Cho hình lăng trụ ABCD.A’B’C’D’có đáy ABCD là hình vuông cạnh bằng a. Hình chiếu vuông góc của điểm A’ trên mặt phẳng ABCD là trung điểm I của cạnh AB. Biết A’C tạo với mặt phẳng đáy một góc α với tanα=2/√5 . Thể tích khối chóp A’.ICD là
Lời giải:
Đáp án : D
Giải thích :
Từ giả thiết ta có A' I ⊥ (ABCD)
Theo bài ta có IC là hình chiếu vuông góc của A’C trên mặt phẳng (ABCD).
Khi đó góc giữa đường thẳng A’C và (ABCD) là góc giữa A’C và IC
Xét tam giác vuông A’IC có:
Bài 3: Cho hình lăng trụ tam giác ABC.A’B’C’có BB’ = a góc giữa đường thẳng BB’ và mặt phẳng (ABC) bằng 60º, tam giác ABC vuông tại C và ∠(BAC) =60º. Hình chiếu vuông góc của điểm B’ lên mặt phẳng (ABC) trùng với trọng tâm của tam giác ABC. Thể tích khối tứ diện A’ABC là
Lời giải:
Đáp án : B
Giải thích :
Gọi D là trung điểm AC, G là trọng tâm tam giác ABC
⇒ B'G ⊥ (ABC)
Ta có BG là hình chiếu vuông góc của BB’ trên (ABC)
⇒ Góc giữa BB’ và (ABC) là góc giữa BB’ và BG
⇒ ∠(B'BG)=60º
Xét tam giác B’BG vuông tại G có:
Trong tam giác ABC có:
Xét tam giác BCD vuông tại C có:
Thể tích khối tứ diện A’ABC là :
Bài 4: Cho lăng trụ ABC.A’B’C’ có đáy là tam giác đều cạnh a. Hình chiếu vuông góc của A’ lên mặt phẳng (ABC) trùng với tâm O của đường tròn ngoại tiếp tam giác ABC. Cho ∠(BAA' ) =45º .Thể tích khối lăng trụ đã cho là
Lời giải:
Đáp án : B
Giải thích :
Gọi E là trung điểm của AB, ta có :
Tam giác vuông A’EA có A = 45º nên là tam giác vuông cân tại E.
Tam giác ABC đều cạnh a có:
Tam giác vuông A’OE ( vuông tại O) có:
Thể tích của khối lăng trụ ABC.A’B’C’:
Bài 5: Cho hình hộp ABCD.A’B’C’D’ có đáy là hình chữ nhật với AB=√3; AD=√7. Hai mặt bên (ABB’A’) và (ADD’A’) lần lượt tạo với đáy những góc 45º và 60º. Tính thể tích khối hộp nếu biết cạnh bên bằng 1.
A. 3 B. 2 C. 4 D. 8
Lời giải:
Đáp án : A
Giải thích :
Kẻ A' H ⊥ (ABCD); HM ⊥ AB; HN ⊥ AD
Ta có: A' H ⊥ AB; HM ⊥ AB ⇒ (A' MH) ⊥ AB
⇒ A'M ⊥ AB
Khi đó, góc giữa mặt phẳng (ABB’A’) và (ABCD) là góc giữa A’M và MH
⇒ ∠(A'MH)=45º
Tương tự, ta có: góc giữa mặt phẳng (ABD’A’) và (ABCD) là góc giữa A’N và NH
⇒ ∠(A'NH)=60º
Đặt A’H = x .Khi đó :
Xét tam giác ANA’vuông tại N có :
Xét tam giác A’HM vuông tại H có : HM=A' H.tan∠(A'MH) =x.tan45º =x
Mà AN = HM (ANHM là hình chữ nhật)
Bài 6: Cho hình lăng trụ ABC.A’B’C’ có đáy ABC là tam giác đều cạnh bằng a. Hình chiếu vuông góc của A’ xuống mặt phẳng (ABC) là trung điểm của AB. Mặt bên (AA’C’C) tạo với đáy một góc 45°. Tính thể tích khối lăng trụ.
Lời giải:
Đáp án : D
Giải thích :
Gọi I là trung điểm của AB ⇒ A' I ⊥ (ABC)
Kẻ IM ⊥ AC
Xét tam giác AMI vuông tại M có :
Xét tam giác A’IM vuông tại I có :
Bài 7: Cho lăng trụ xiên tam giác ABC.A’B’C’ có đáy ABC là tam giác đều cạnh a, biết cạnh bên là a√3 và hợp với đáy ABC một góc 60°. Tính thể tích lăng trụ.
Lời giải:
Đáp án : A
Giải thích :
Gọi H là hình chiếu vuông góc của A’ lên (ABC).
Ta có: AH là hình chiếu vuông góc của AA’ lên (ABC)
⇒ Góc giữa AA’ và (ABC) là góc giữa AH và AA’
⇒ ∠(A'AH)=60º
Xét tam giác AA’H vuông tại H có:
Bài 8: Cho hình lăng trụ tam giác ABC.A’B’C’ có thể tích là V. Gọi I, J lần lượt là trung điểm cạnh AA’ và BB’. Khi đó thể tích của khối đa diện ABCIJC’ bằng:
Lời giải:
Đáp án : D
Giải thích :
Gọi K là trung điểm của CC’ .
Bài 9: Cho hình hộp ABCD.A’B’C’D’, O là giao điểm của AC và BD. Tỷ số thể tích của khối chóp O.A’B’C’D’ và khối hộp ABCD.A’B’C’D’ là:
Lời giải:
Đáp án : C
Giải thích :
Ta có:
Bài 10: Cho lăng trụ A BC.A’B’C’ có đáy là tam giác đều cạnh a, hình chiếu của A’ lên (ABC) trùng với trung điểm của BC. Thể tích của khối lăng trụ là (a3√3)/8, độ dài cạnh bên của khối lăng trụ là:
Lời giải:
Đáp án : A
Giải thích :
Gọi H trung điểm của BC ⇒ A'H ⊥ (ABC)
Ta có: VABC.A'B'C' = A' H.SABC
Lại có AH là đường trung tuyến của tam giác đều cạnh a
⇒ AH=(a√3)/2
Xét tam giác A’AH vuông tại H có:
Vậy cạnh bên bằng a.
(199k) Xem Khóa học Toán 12 KNTTXem Khóa học Toán 12 CDXem Khóa học Toán 12 CTST
Xem thêm các dạng bài tập Toán lớp 12 ôn thi Tốt nghiệp có lời giải hay khác:
- Lý thuyết Công thức tính diện tích tam giác và tứ giác
- Lý thuyết Phương pháp xác định góc giữa hai mặt phẳng, giữa đường thẳng và mặt phẳng
- Lý thuyết Công thức tính thể tích đa diện
- Dạng 1: Tính thể tích khối chóp có cạnh bên vuông góc với đáy
- Dạng 2: Tính thể tích khối chóp có hình chiếu vuông góc của đỉnh lên mặt đáy
- Dạng 3: Tính thể tích khối chóp có mặt bên vuông góc với đáy
- Dạng 4: Tính tỉ số thể tích hai khối chóp
- Lý thuyết Thể tích khối lăng trụ
- Dạng 1: Tính thể tích khối lăng trụ đứng, lăng trụ đều
Đã có app VietJack trên điện thoại, giải bài tập SGK, SBT Soạn văn, Văn mẫu, Thi online, Bài giảng....miễn phí. Tải ngay ứng dụng trên Android và iOS.
Theo dõi chúng tôi miễn phí trên mạng xã hội facebook và youtube:Nếu thấy hay, hãy động viên và chia sẻ nhé! Các bình luận không phù hợp với nội quy bình luận trang web sẽ bị cấm bình luận vĩnh viễn.
- Giải Tiếng Anh 12 Global Success
- Giải sgk Tiếng Anh 12 Smart World
- Giải sgk Tiếng Anh 12 Friends Global
- Lớp 12 Kết nối tri thức
- Soạn văn 12 (hay nhất) - KNTT
- Soạn văn 12 (ngắn nhất) - KNTT
- Giải sgk Toán 12 - KNTT
- Giải sgk Vật Lí 12 - KNTT
- Giải sgk Hóa học 12 - KNTT
- Giải sgk Sinh học 12 - KNTT
- Giải sgk Lịch Sử 12 - KNTT
- Giải sgk Địa Lí 12 - KNTT
- Giải sgk Giáo dục KTPL 12 - KNTT
- Giải sgk Tin học 12 - KNTT
- Giải sgk Công nghệ 12 - KNTT
- Giải sgk Hoạt động trải nghiệm 12 - KNTT
- Giải sgk Giáo dục quốc phòng 12 - KNTT
- Giải sgk Âm nhạc 12 - KNTT
- Giải sgk Mĩ thuật 12 - KNTT
- Lớp 12 Chân trời sáng tạo
- Soạn văn 12 (hay nhất) - CTST
- Soạn văn 12 (ngắn nhất) - CTST
- Giải sgk Toán 12 - CTST
- Giải sgk Vật Lí 12 - CTST
- Giải sgk Hóa học 12 - CTST
- Giải sgk Sinh học 12 - CTST
- Giải sgk Lịch Sử 12 - CTST
- Giải sgk Địa Lí 12 - CTST
- Giải sgk Giáo dục KTPL 12 - CTST
- Giải sgk Tin học 12 - CTST
- Giải sgk Hoạt động trải nghiệm 12 - CTST
- Giải sgk Âm nhạc 12 - CTST
- Lớp 12 Cánh diều
- Soạn văn 12 Cánh diều (hay nhất)
- Soạn văn 12 Cánh diều (ngắn nhất)
- Giải sgk Toán 12 Cánh diều
- Giải sgk Vật Lí 12 - Cánh diều
- Giải sgk Hóa học 12 - Cánh diều
- Giải sgk Sinh học 12 - Cánh diều
- Giải sgk Lịch Sử 12 - Cánh diều
- Giải sgk Địa Lí 12 - Cánh diều
- Giải sgk Giáo dục KTPL 12 - Cánh diều
- Giải sgk Tin học 12 - Cánh diều
- Giải sgk Công nghệ 12 - Cánh diều
- Giải sgk Hoạt động trải nghiệm 12 - Cánh diều
- Giải sgk Giáo dục quốc phòng 12 - Cánh diều
- Giải sgk Âm nhạc 12 - Cánh diều


Giải bài tập SGK & SBT
Tài liệu giáo viên
Sách
Khóa học
Thi online
Hỏi đáp

