Cách tính thể tích khối lăng trụ đứng, lăng trụ đều (cực hay)
Bài viết Cách tính thể tích khối lăng trụ đứng, lăng trụ đều với phương pháp giải chi tiết giúp học sinh ôn tập, biết cách làm bài tập Cách tính thể tích khối lăng trụ đứng, lăng trụ đều.
Cách tính thể tích khối lăng trụ đứng, lăng trụ đều (cực hay)
(199k) Xem Khóa học Toán 12 KNTTXem Khóa học Toán 12 CDXem Khóa học Toán 12 CTST
Bài giảng: Cách tính Thể tích hình chóp, hình lăng trụ - Cô Nguyễn Phương Anh (Giáo viên VietJack)
A. Phương pháp giải & Ví dụ
1. Khối lăng trụ đứng
Định nghĩa: Hình lăng trụ đứng là hình lăng trụ có cạnh bên vuông góc với mặt đáy.
Tính chất:
+ Các mặt bên hình lăng trụ đứng là hình chữ nhật
+ Các mặt bên hình lăng trụ đứng vuông góc với mặt đáy
+ Chiều cao là cạnh bên
2. Khối lăng trụ đều
Định nghĩa: Hình lăng trụ đều là hình lăng trụ đứng có đáy là đa giác đều
Tính chất:
+ Các mặt bên của hình lăng trụ đều là các hình chữ nhật bằng nhau
+ Chiều cao là cạnh bên.
Ví dụ minh họa
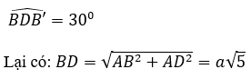
Bài 1: Cho hình hộp đứng có các cạnh AB = 3a, AD = 2a, AA’= 2a. Tính thể tích của khối A’.ACD’
Lời giải:
Do mặt bên ADD’A’ là hình chữ nhật nên ta có:
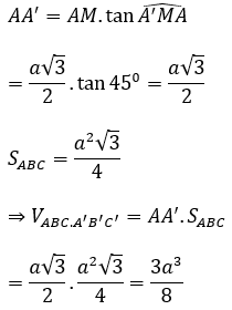
Bài 2: Cho hình lăng trụ đứng ABC.A’B’C’ có đáy là tam giác đều cạnh a√3, góc giữa và đáy là 60º. Gọi M là trung điểm của . Thể tích của khối chóp M.A’B’C’ là:
Lời giải:
Bài 3: Cho khối lăng trụ đứng ABC.A1 B1 C1 có đáy ABC là tam giác vuông cân tại B có BA = BC = 2a, biết A1 M=3a với M là trung điểm của BC. Tính thể tích khối lăng trụ ABC.A1 B1 C1
Lời giải:
Ta có:
Bài 4: Cho khối lăng trụ đứng có đáy ABC.A’B’C’ với AB= a; AC = 2a và ∠(BAC)=120º, mặt phẳng (A'BC) hợp với đáy một góc 60º. Tính thể tích khối lăng trụ ABC.A’B’C’ là:
Lời giải:
Dựng A'M ⊥ BC, ta có:
Ta có:
Do AM ⊥ BC nên
Xét tam giác AAM vuông tại A có:
Bài 5: Cho lăng trụ tứ giác đều ABCD.A’B’C’D’ có cạnh đáy bằng a và mặt (DBC’) với đáy ABCD một góc 60º. Thể tích khối lăng trụ ABCD.A’B’C’D là:
Lời giải:
Ta có:AC ⊥ BD tại tâm O của hình vuông ABCD.
Mặt khác CC' ⊥ BD do đó BD ⊥ (COC')
Suy ra ((C'BD),(ABCD)) = ∠(C'OD) = 60º
Lại có:
B. Bài tập vận dụng
Bài 1: Cho khối lăng trụ đứng ABC.A’B’C’ có đáy ABC là tam giác vuông cân tại B, biết BA = BC = 2a, và (A’BC) hợp với đáy một góc 30°. Tính thể tích khối lăng trụ ABC.A’B’C’ là:
Lời giải:
Đáp án : D
Giải thích :
Khi đó:
Bài 2: Tính thể tích V của khối lập phương ABCD.A’B’C’D’, biết AC'=a√3
Lời giải:
Đáp án : A
Giải thích :
Gọi x là độ dài cạnh của hình lập phương
Xét tam giác AA’C vuông tại A có:
Do đó, thể tích của khối lập phương là V=a^3.
Bài 3: Cho hình lăng trụ tam giác đều ABC.A’B’C’ có góc giữa hai mặt phẳng (A’BC) và (ABC) bằng 60°, cạnh AB = a. Thể tích khối đa diện ABCC’ là:
Lời giải:
Đáp án : D
Giải thích :
Hình lăng trụ tam giác đều ABC.A’B’C’ ⇒ AA' ⊥ (ABC) và ∆ABC đều.
Gọi M là trung điểm của BC, do ∆ABC đều cạnh a nên:
Xét tam giác A’AM vuông tại A có:
Bài 4: Cho lăng trụ đứng ABCD.A’B’C’D’ có đáy ABCD là hình chữ nhật với AB = 2a, AD = a và đường chéo B’D của lăng trụ hợp với đáy (ABCD) một góc 30°. Thể tích khối lăng trụ ABCD.A’B’C’D’ là:
Lời giải:
Đáp án : B
Giải thích :
BB' ⊥ (ABCD) nên BD là hình chiếu của B’D lên (ABCD)
Do B’D hợp với đáy ABCD một góc 30º nên ta có:
Xét tam giác B’BD vuông tại B có:
Bài 5: Cho khối lăng trụ đều ABC.A’B’C’ có cạnh đáy bằng a, mặt phẳng (A’BC) hợp với đáy một góc 45°. Tính thể tích khối lăng trụ ABC.A’B’C’ là:
Lời giải:
Đáp án : A
Giải thích :
do ABC.A’B’C’ là lăng trụ đều nên A'A ⊥ (ABC), ∆ABC đều cạnh
Gọi M là trung điểm của BC, khi đó AM ⊥ BC
Mặt khác A'A ⊥ BC nên BC ⊥ (A' AM) ⇒ AM ⊥ BC
Xét tam giác A’AM vuông tại A có:
Bài 6: Cho khối lăng trụ đứng ABC.A’B’C’ có đáy ABC là tam giác vuông cân tại A, cạnh BC=a√2, A’C tạo với đáy một góc 60°. Thể tích khối lăng trụ ABC.A’B’C’ là:
Lời giải:
Đáp án : C
Giải thích :
ABC là tam giác vuông cân tại A, cạnh BC=a√2
⇒ AB=AC=BC/√2=a
AA' ⊥ (ABC) nên AC là hình chiếu vuông góc của A’C lên (ABC)
⇒ (A' C;(ABC))= ∠(A'CA)=60°
Xét tam giác A’AC vuông tại A có:
Bài 7: Đáy của lăng trụ đứng tam giác ABC.A’B’C’ là tam giác đều. Mặt phẳng (A’BC) tạo với đáy một góc 30° và diện tích tam giác A’BC bằng 8. Tính thể tích lăng trụ.
Lời giải:
Đáp án : B
Giải thích :
ABC.A’B’C’ là lăng trụ đứng nên A'A ⊥ (ABC),
Giả sử ∆ABC đều cạnh a
Gọi M là trung điểm của BC, khi đó AM ⊥ BC;AM=(a√3)/2
Mặt khác A'A ⊥ BC nên BC ⊥ (A' AM) ⇒ AM ⊥ BC
Xét tam giác A’AM vuông tại A có:
Bài 8: Thể tích của khối lăng trụ đứng tam giác đều có tất cả các cạnh đều bằng a là:
Lời giải:
Đáp án : C
Giải thích :
Đáy A’B’C’ là tam giác đều cạnh a nên S(A' BC) = (a2 √3)/4
Khối lăng trụ đứng tam giác đều có tất cả các cạnh đều bằng a nên chiều cao
AA’ = a
Bài 9: Cho hình lăng trụ đứng ABC.A’B’C’ có AC = a, BC = 2a, ∠(ACB)=120º và đường thẳng A’C tạo với mặt phẳng (ABB’A’) góc 30°. Thể tích khối lăng trụ ABC.A’B’C’ là:
Lời giải:
Đáp án : B
Giải thích :
Kẻ CP ⊥ AB (P ∈ (AB).
Ta có:
⇒ Hình chiếu vuông góc của CA’ trên mặt phẳng (ABB’A’) là CP
Mà
Bài 10: Cho hình lăng trụ đứng ABC.A’B’C’ có AA’ = a. Tam giác ABC đều cạnh a. Gọi I là trung điểm của AA’. Tìm mệnh đề đúng.
Lời giải:
Đáp án : C
Giải thích :
Ta có:
(199k) Xem Khóa học Toán 12 KNTTXem Khóa học Toán 12 CDXem Khóa học Toán 12 CTST
Xem thêm các dạng bài tập Toán lớp 12 ôn thi Tốt nghiệp có lời giải hay khác:
- Lý thuyết Công thức tính diện tích tam giác và tứ giác
- Lý thuyết Phương pháp xác định góc giữa hai mặt phẳng, giữa đường thẳng và mặt phẳng
- Lý thuyết Công thức tính thể tích đa diện
- Dạng 1: Tính thể tích khối chóp có cạnh bên vuông góc với đáy
- Dạng 2: Tính thể tích khối chóp có hình chiếu vuông góc của đỉnh lên mặt đáy
- Dạng 3: Tính thể tích khối chóp có mặt bên vuông góc với đáy
- Dạng 4: Tính tỉ số thể tích hai khối chóp
- Lý thuyết Thể tích khối lăng trụ
- Dạng 2: Tính thể tích khối lăng trụ xiên
Đã có app VietJack trên điện thoại, giải bài tập SGK, SBT Soạn văn, Văn mẫu, Thi online, Bài giảng....miễn phí. Tải ngay ứng dụng trên Android và iOS.
Theo dõi chúng tôi miễn phí trên mạng xã hội facebook và youtube:Nếu thấy hay, hãy động viên và chia sẻ nhé! Các bình luận không phù hợp với nội quy bình luận trang web sẽ bị cấm bình luận vĩnh viễn.
- Giải Tiếng Anh 12 Global Success
- Giải sgk Tiếng Anh 12 Smart World
- Giải sgk Tiếng Anh 12 Friends Global
- Lớp 12 Kết nối tri thức
- Soạn văn 12 (hay nhất) - KNTT
- Soạn văn 12 (ngắn nhất) - KNTT
- Giải sgk Toán 12 - KNTT
- Giải sgk Vật Lí 12 - KNTT
- Giải sgk Hóa học 12 - KNTT
- Giải sgk Sinh học 12 - KNTT
- Giải sgk Lịch Sử 12 - KNTT
- Giải sgk Địa Lí 12 - KNTT
- Giải sgk Giáo dục KTPL 12 - KNTT
- Giải sgk Tin học 12 - KNTT
- Giải sgk Công nghệ 12 - KNTT
- Giải sgk Hoạt động trải nghiệm 12 - KNTT
- Giải sgk Giáo dục quốc phòng 12 - KNTT
- Giải sgk Âm nhạc 12 - KNTT
- Giải sgk Mĩ thuật 12 - KNTT
- Lớp 12 Chân trời sáng tạo
- Soạn văn 12 (hay nhất) - CTST
- Soạn văn 12 (ngắn nhất) - CTST
- Giải sgk Toán 12 - CTST
- Giải sgk Vật Lí 12 - CTST
- Giải sgk Hóa học 12 - CTST
- Giải sgk Sinh học 12 - CTST
- Giải sgk Lịch Sử 12 - CTST
- Giải sgk Địa Lí 12 - CTST
- Giải sgk Giáo dục KTPL 12 - CTST
- Giải sgk Tin học 12 - CTST
- Giải sgk Hoạt động trải nghiệm 12 - CTST
- Giải sgk Âm nhạc 12 - CTST
- Lớp 12 Cánh diều
- Soạn văn 12 Cánh diều (hay nhất)
- Soạn văn 12 Cánh diều (ngắn nhất)
- Giải sgk Toán 12 Cánh diều
- Giải sgk Vật Lí 12 - Cánh diều
- Giải sgk Hóa học 12 - Cánh diều
- Giải sgk Sinh học 12 - Cánh diều
- Giải sgk Lịch Sử 12 - Cánh diều
- Giải sgk Địa Lí 12 - Cánh diều
- Giải sgk Giáo dục KTPL 12 - Cánh diều
- Giải sgk Tin học 12 - Cánh diều
- Giải sgk Công nghệ 12 - Cánh diều
- Giải sgk Hoạt động trải nghiệm 12 - Cánh diều
- Giải sgk Giáo dục quốc phòng 12 - Cánh diều
- Giải sgk Âm nhạc 12 - Cánh diều


Giải bài tập SGK & SBT
Tài liệu giáo viên
Sách
Khóa học
Thi online
Hỏi đáp

