Bài tập trắc nghiệm về Lũy thừa cực hay
Với Bài tập trắc nghiệm về Lũy thừa có lời giải chi tiết sẽ giúp học sinh ôn tập, biết cách làm Bài tập trắc nghiệm về Lũy thừa.
Bài tập trắc nghiệm về Lũy thừa cực hay
(199k) Học Toán 12 KNTTHọc Toán 12 CDHọc Toán 12 CTST
Bài giảng: Tất tần tật về Lũy thừa - Cô Nguyễn Phương Anh (Giáo viên VietJack)
Bài 1: Giá trị của biểu thức A = (a+1)-1 + (b+1)-1 với a = (2+√3)-1 và b = (2-√3)-1
A. 3 B. 2 C. 1 D. 4
Lời giải:
Đáp án : C
Giải thích :
Bài 2: Viết biểu thức (a,b > 0) về dạng lũy thừa (a/b)m ta được m=?.
A. 2/15 B. 4/15 C. 2/5 D. (-2)/15
Lời giải:
Đáp án : D
Giải thích :
Bài 3: Viết biểu thức (a > 0) về dạng lũy thừa của a là.
Lời giải:
Đáp án : A
Giải thích :
Bài 4: Viết biểu thức về dạng lũy thừa 2m ta được m=?.
A. -13/6 B. 13/6 C. 5/6 D. -5/6
Lời giải:
Đáp án : A
Giải thích :
Bài 5: Cho x > 0; y > 0. Viết biểu thức về dạng xm và biểu thức
về dạng yn. Ta có m-n=?
A. -11/6 B. 11/6 C. 8/5 D. -8/5
Lời giải:
Đáp án : B
Giải thích :
Bài 6: Đơn giản biểu thức ta được:
A. -9a2 |b| B. 9a2 |b| C. 9a2 b D. 3a2 |b|
Lời giải:
Đáp án : B
Giải thích :
Bài 7: Cho Khi đó f(2,7) bằng:
A. 0,027 B. 0,27 C. 2,7 D. 27
Lời giải:
Đáp án : C
Giải thích :
Bài 8: Cho b là số thực dương. Biểu thức được viết dưới dạng lũy thừa với số mũ hữu tỉ là:
A. – 2 B. – 1 C. 2 D. 1
Lời giải:
Đáp án : D
Giải thích :
Bài 9: Cho hai số thực dương a và b. Biểu thức được viết dưới dạng lũy thừa với số mũ hữu tỉ là:
Lời giải:
Đáp án : D
Giải thích :
Bài 10: Cho các số thực dương a và b. Rút gọn biểu thức P được kết quả là:
A. a - b B. a - b2 C. b - a D. a3 - b3
Lời giải:
Đáp án : B
Giải thích :
Bài 11: Rút gọn biểu thức sau ta được:
A. a+b B. √a-√b C. √a+√b D. a-b
Lời giải:
Đáp án : B
Giải thích :
Ta có
Bài 12: Cho các số thực dương phân biệt a và b. Biểu thức thu gọn của biểu thức P là:
Lời giải:
Đáp án : A
Giải thích :
Bài 13: Cho số thực dương a. Biểu thức thu gọn của biểu thức P là:
A. a B. a+1 C. 2a D. 1
Lời giải:
Đáp án : A
Giải thích :
Bài 14: Cho các số thực dương a và b. Biểu thức thu gọn của biểu thức P là:
A. -2 B. -1 C. 1 D. 0
Lời giải:
Đáp án : D
Giải thích :
Ta có
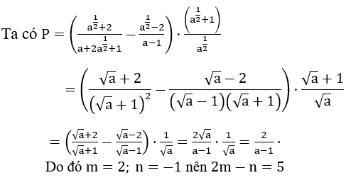
Bài 15: Biểu thức thu gọn của biểu thức P có dạng . Khi đó biểu thức liên hệ giữa m và n là:
A. m+3n=-1 B. m+n=-2 C. m-n=0 D. 2m-n=5
Lời giải:
Đáp án : D
Giải thích :
Bài 16: Kết luận nào đúng về số thực a nếu (2a+1)-3 > (2a+1)-1
Lời giải:
Đáp án : A
Giải thích :
Do -3 < -1 và số mũ nguyên âm nên (2a+1)-3 > (2a+1)-1 khi
Bài 17: Trong các khẳng định sau, khẳng định nào đúng?
A. (2-√2)3 < (2-√2)4 B. (√11-√2)6 > (√11-√2)7
C. (4-√2)3 < (4-√2)4 D. (√3-√2)4 < (√3-√2)5
Lời giải:
Đáp án : C
Bài 18: Câu 8. Trong các khẳng định sau, khẳng định nào sai?
A. 0,01-√2 > 10-√2 B. 0,01-√2 < 10-√2
C. 0,01-√2 = 10-√2 D. a0=1, ∀ a ≠ 0
Lời giải:
Đáp án : B
Bài 19: Nếu (2√3-1)a+2 < 2√3-1 thì
A. a < -1 B. a < 1 C. a > -1 D. a ≥ -1
Lời giải:
Đáp án : A
Giải thích :
Vì 2√3-1 > 1 nên a+2 < 1 ⇔ a < -1
Bài 20: Nếu (√3-√2)2m-2 < √3+√2
A. m > 3/2 B. m < 1/2 C. m > 1/2 D. m ≠ 3/2
Lời giải:
Đáp án : C
Giải thích :
Do √3+√2=(√3+√2)-1
Vì 0 < √3-√2 < 1 nên 2m-2 > -1 ⇔ m > 1/2
(199k) Học Toán 12 KNTTHọc Toán 12 CDHọc Toán 12 CTST
Xem thêm các dạng bài tập Toán lớp 12 có trong đề thi Tốt nghiệp THPT khác:
- Dạng 1: Lũy thừa: lý thuyết, tính chất, phương pháp giải
- Dạng 2: Lôgarit: lý thuyết, tính chất, phương pháp giải
- Trắc nghiệm Lôgarit
- Dạng 3: Tìm tập xác định của hàm số mũ, lũy thừa, lôgarit
- Trắc nghiệm tìm tập xác định của hàm số mũ, lũy thừa, lôgarit
- Dạng 4: Các dạng bài tập về hàm số mũ, lũy thừa, lôgarit
- Trắc nghiệm về hàm số mũ, lũy thừa, lôgarit
- Dạng 5: Giới hạn, đạo hàm của hàm số mũ, lũy thừa, lôgarit
- Trắc nghiệm giới hạn, đạo hàm của hàm số mũ, lũy thừa, lôgarit
Đã có app VietJack trên điện thoại, giải bài tập SGK, SBT Soạn văn, Văn mẫu, Thi online, Bài giảng....miễn phí. Tải ngay ứng dụng trên Android và iOS.
Theo dõi chúng tôi miễn phí trên mạng xã hội facebook và youtube:Nếu thấy hay, hãy động viên và chia sẻ nhé! Các bình luận không phù hợp với nội quy bình luận trang web sẽ bị cấm bình luận vĩnh viễn.
- Giải Tiếng Anh 12 Global Success
- Giải sgk Tiếng Anh 12 Smart World
- Giải sgk Tiếng Anh 12 Friends Global
- Lớp 12 Kết nối tri thức
- Soạn văn 12 (hay nhất) - KNTT
- Soạn văn 12 (ngắn nhất) - KNTT
- Giải sgk Toán 12 - KNTT
- Giải sgk Vật Lí 12 - KNTT
- Giải sgk Hóa học 12 - KNTT
- Giải sgk Sinh học 12 - KNTT
- Giải sgk Lịch Sử 12 - KNTT
- Giải sgk Địa Lí 12 - KNTT
- Giải sgk Giáo dục KTPL 12 - KNTT
- Giải sgk Tin học 12 - KNTT
- Giải sgk Công nghệ 12 - KNTT
- Giải sgk Hoạt động trải nghiệm 12 - KNTT
- Giải sgk Giáo dục quốc phòng 12 - KNTT
- Giải sgk Âm nhạc 12 - KNTT
- Giải sgk Mĩ thuật 12 - KNTT
- Lớp 12 Chân trời sáng tạo
- Soạn văn 12 (hay nhất) - CTST
- Soạn văn 12 (ngắn nhất) - CTST
- Giải sgk Toán 12 - CTST
- Giải sgk Vật Lí 12 - CTST
- Giải sgk Hóa học 12 - CTST
- Giải sgk Sinh học 12 - CTST
- Giải sgk Lịch Sử 12 - CTST
- Giải sgk Địa Lí 12 - CTST
- Giải sgk Giáo dục KTPL 12 - CTST
- Giải sgk Tin học 12 - CTST
- Giải sgk Hoạt động trải nghiệm 12 - CTST
- Giải sgk Âm nhạc 12 - CTST
- Lớp 12 Cánh diều
- Soạn văn 12 Cánh diều (hay nhất)
- Soạn văn 12 Cánh diều (ngắn nhất)
- Giải sgk Toán 12 Cánh diều
- Giải sgk Vật Lí 12 - Cánh diều
- Giải sgk Hóa học 12 - Cánh diều
- Giải sgk Sinh học 12 - Cánh diều
- Giải sgk Lịch Sử 12 - Cánh diều
- Giải sgk Địa Lí 12 - Cánh diều
- Giải sgk Giáo dục KTPL 12 - Cánh diều
- Giải sgk Tin học 12 - Cánh diều
- Giải sgk Công nghệ 12 - Cánh diều
- Giải sgk Hoạt động trải nghiệm 12 - Cánh diều
- Giải sgk Giáo dục quốc phòng 12 - Cánh diều
- Giải sgk Âm nhạc 12 - Cánh diều


Giải bài tập SGK & SBT
Tài liệu giáo viên
Sách
Khóa học
Thi online
Hỏi đáp

