Cách giải bài tập về Lôgarit (cực hay)
Bài viết Cách giải bài tập về Lôgarit với phương pháp giải chi tiết giúp học sinh ôn tập, biết cách làm bài tập Cách giải bài tập về Lôgarit.
Cách giải bài tập về Lôgarit (cực hay)
(199k) Xem Khóa học Toán 12 KNTTXem Khóa học Toán 12 CDXem Khóa học Toán 12 CTST
Bài giảng: Tất tần tật về Logarit - Cô Nguyễn Phương Anh (Giáo viên VietJack)
A. Phương pháp giải & Ví dụ
1. Định nghĩa:
Cho hai số dương a,b với a ≠ 1. Số α thỏa mãn đẳng thức aα = b được gọi là lôgarit cơ số a của b và kí hiệu là logab . Ta viết: α = logab ⇔ aα = b.
2. Các tính chất: Cho a, b > 0, a ≠ 1, ta có:
• logaa = 1, loga1 = 0
• alogab = b, loga(aα) = α
3. Lôgarit của một tích: Cho 3 số dương a, b1, b2 với a ≠ 1, ta có
• loga(b1.b2) = logab1 + logab2
4. Lôgarit của một thương: Cho 3 số dương a,b1, b2 với a ≠ 1, ta có
•
• Đặc biệt : với a, b > 0, a ≠ 1 ⇒
5. Lôgarit của lũy thừa: Cho a,b > 0, a ≠ 1, với mọi α, ta có
• logabα = αlogab
• Đặc biệt:
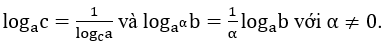
6. Công thức đổi cơ số: Cho 3 số dương a, b, c với a ≠ 1, c ≠ 1, ta có
•
• Đặc biệt :
Lôgarit thập phân và Lôgarit tự nhiên
♦ Lôgarit thập phân là lôgarit cơ số 10. Viết : log10b = logb = lgb
♦ Lôgarit tự nhiên là lôgarit cơ số e. Viết : logeb = lnb
Ví dụ minh họa
Bài 1: Rút gọn biểu thức B
Lời giải:
Bài 2: Tính giá trị của biểu thức P (với 0 < a ≠ 1; 0 < b ≠ 1).
Lời giải:
Bài 3: Tính log2415 theo a, b , biết log25 = a, log53 = b.
Lời giải:
B. Bài tập vận dụng
Bài 1: Cho các số dương a, b, c, d. Tính giá trị của biểu thức
Lời giải:
Bài 2: Cho a,b > 0 và a, b ≠ 1, biểu thức có giá trị bằng bao nhiêu?
Lời giải:
Bài 3: Cho số thực x thỏa mãn: (a, b, c là các số thực dương). Hãy biểu diễn x theo a, b, c.
Lời giải:
Bài 4: Biết logab=2, logac = -3. Tính giá trị của biểu thức
Lời giải:
Bài 5: Cho a, b là hai số thực dương khác 1 và thỏa mãn
Tính giá trị biểu thức
Lời giải:
Ta có
Bài 6: Tính log3624, biết log1227 = a
Lời giải:
Bài 7: Tính log2524 theo a, b, biết log615 = a, log1218 = b
Lời giải:
Ta có
Ta có
Từ giả thiết suy ra:
Bài 8: Tính log126150 theo a, b, c, biết log23 = a, log35 = b, log57 = c.
Bài giảng: Các bài toán thực tế - Ứng dụng hàm số mũ và logarit - Cô Nguyễn Phương Anh (Giáo viên VietJack)
(199k) Xem Khóa học Toán 12 KNTTXem Khóa học Toán 12 CDXem Khóa học Toán 12 CTST
Xem thêm các dạng bài tập Toán lớp 12 ôn thi Tốt nghiệp có lời giải hay khác:
- Dạng 1: Lũy thừa: lý thuyết, tính chất, phương pháp giải
- Trắc nghiệm lũy thừa
- Trắc nghiệm Lôgarit
- Dạng 3: Tìm tập xác định của hàm số mũ, lũy thừa, lôgarit
- Trắc nghiệm tìm tập xác định của hàm số mũ, lũy thừa, lôgarit
- Dạng 4: Các dạng bài tập về hàm số mũ, lũy thừa, lôgarit
- Trắc nghiệm về hàm số mũ, lũy thừa, lôgarit
- Dạng 5: Giới hạn, đạo hàm của hàm số mũ, lũy thừa, lôgarit
- Trắc nghiệm giới hạn, đạo hàm của hàm số mũ, lũy thừa, lôgarit
Đã có app VietJack trên điện thoại, giải bài tập SGK, SBT Soạn văn, Văn mẫu, Thi online, Bài giảng....miễn phí. Tải ngay ứng dụng trên Android và iOS.
Theo dõi chúng tôi miễn phí trên mạng xã hội facebook và youtube:Nếu thấy hay, hãy động viên và chia sẻ nhé! Các bình luận không phù hợp với nội quy bình luận trang web sẽ bị cấm bình luận vĩnh viễn.
- Giải Tiếng Anh 12 Global Success
- Giải sgk Tiếng Anh 12 Smart World
- Giải sgk Tiếng Anh 12 Friends Global
- Lớp 12 Kết nối tri thức
- Soạn văn 12 (hay nhất) - KNTT
- Soạn văn 12 (ngắn nhất) - KNTT
- Giải sgk Toán 12 - KNTT
- Giải sgk Vật Lí 12 - KNTT
- Giải sgk Hóa học 12 - KNTT
- Giải sgk Sinh học 12 - KNTT
- Giải sgk Lịch Sử 12 - KNTT
- Giải sgk Địa Lí 12 - KNTT
- Giải sgk Giáo dục KTPL 12 - KNTT
- Giải sgk Tin học 12 - KNTT
- Giải sgk Công nghệ 12 - KNTT
- Giải sgk Hoạt động trải nghiệm 12 - KNTT
- Giải sgk Giáo dục quốc phòng 12 - KNTT
- Giải sgk Âm nhạc 12 - KNTT
- Giải sgk Mĩ thuật 12 - KNTT
- Lớp 12 Chân trời sáng tạo
- Soạn văn 12 (hay nhất) - CTST
- Soạn văn 12 (ngắn nhất) - CTST
- Giải sgk Toán 12 - CTST
- Giải sgk Vật Lí 12 - CTST
- Giải sgk Hóa học 12 - CTST
- Giải sgk Sinh học 12 - CTST
- Giải sgk Lịch Sử 12 - CTST
- Giải sgk Địa Lí 12 - CTST
- Giải sgk Giáo dục KTPL 12 - CTST
- Giải sgk Tin học 12 - CTST
- Giải sgk Hoạt động trải nghiệm 12 - CTST
- Giải sgk Âm nhạc 12 - CTST
- Lớp 12 Cánh diều
- Soạn văn 12 Cánh diều (hay nhất)
- Soạn văn 12 Cánh diều (ngắn nhất)
- Giải sgk Toán 12 Cánh diều
- Giải sgk Vật Lí 12 - Cánh diều
- Giải sgk Hóa học 12 - Cánh diều
- Giải sgk Sinh học 12 - Cánh diều
- Giải sgk Lịch Sử 12 - Cánh diều
- Giải sgk Địa Lí 12 - Cánh diều
- Giải sgk Giáo dục KTPL 12 - Cánh diều
- Giải sgk Tin học 12 - Cánh diều
- Giải sgk Công nghệ 12 - Cánh diều
- Giải sgk Hoạt động trải nghiệm 12 - Cánh diều
- Giải sgk Giáo dục quốc phòng 12 - Cánh diều
- Giải sgk Âm nhạc 12 - Cánh diều


Giải bài tập SGK & SBT
Tài liệu giáo viên
Sách
Khóa học
Thi online
Hỏi đáp

