Cách giải bài tập về Lũy thừa (cực hay)
Bài viết Cách giải bài tập về Lũy thừa với phương pháp giải chi tiết giúp học sinh ôn tập, biết cách làm bài tập Cách giải bài tập về Lũy thừa.
Cách giải bài tập về Lũy thừa (cực hay)
(199k) Xem Khóa học Toán 12 KNTTXem Khóa học Toán 12 CDXem Khóa học Toán 12 CTST
Bài giảng: Tất tần tật về Lũy thừa - Cô Nguyễn Phương Anh (Giáo viên VietJack)
A. Phương pháp giải & Ví dụ
• Cho số thực b và số nguyên dương n (n ≥ 2). Số a được gọi là căn bậc n của số b nếu an = b.
• Chú ý:
| Số mũ α | Cơ số a | Lũy thừa aα |
| α = n ∈ N* | a ∈ R | aα = an = a⋅a⋯a (n thừa số a) |
| α = 0 | a ≠ 0 | aα = a0 = 1 |
| α = -n, (n ∈ N*) | a ≠ 0 | |
| α = m/n,(m ∈ Z, n ∈ N*) | a > 0 | |
| α = limrn, (rn ∈ Q,n ∈ N*) | a > 0 | aα = limarn |
2. Một số tính chất của lũy thừa
• Giả thuyết rằng mỗi biểu thức được xét đều có nghĩa:
• Nếu a > 1 thì aα > aβ ⇔ α > β; Nếu 0 < a < 1 thì aα > aβ ⇔ α < β.
• Với mọi 0 > a < b, ta có: am < bm ⇔ m > 0; am > bm ⇔ m < 0
• Chú ý:
◦ Các tính chất trên đúng trong trường hợp số mũ nguyên hoặc không nguyên.
◦ Khi xét lũy thừa với số mũ 0 và số mũ nguyên âm thì cơ số a phải khác 0.
◦ Khi xét lũy thừa với số mũ không nguyên thì cơ số a phải dương.
3. Một số tính chất của căn bậc n
• Với a,b ∈ R;n ∈ N*, ta có:
• Với a,b ∈ R, ta có:
Ví dụ minh họa
Bài 1: Tính giá trị của biểu thức
Lời giải:
Bài 2: Biết 4x + 4-x = 23 tính giá trị của biểu thức P = 2x + 2-x :
Lời giải:
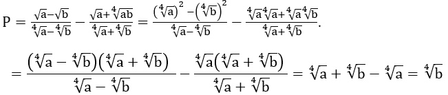
Bài 3: Cho các số thực dương a và b. Thu gọn biểu thức
Lời giải:
B. Bài tập vận dụng
Bài 1: Cho khi đó giá trị của biểu thức f(1,3) bằng bao nhiêu?
Lời giải:
Vì x = 1, 3 > 0 nên ta có:
Bài 2: Tính giá trị của biểu thức sau:
Lời giải:
Bài 3: Cho a,b là các số dương. Rút gọn biểu thức
Lời giải:
Bài 4: Cho các số thực dương a và b. Rút gọn biểu thức
Lời giải:
Bài 5: Cho a > 0 , b > 0. Thu gọn biểu thức
Lời giải:
Bài 6: Rút gọn biểu thức
Lời giải:
Bài 7: Cho các số thực dương a và b. Biểu thức thu gọn của biểu thức
Lời giải:
Bài 8: Cho các số thực dương phân biệt a và b. Biểu thức thu gọn của biểu thức. Tìm m và n
Lời giải:
(199k) Xem Khóa học Toán 12 KNTTXem Khóa học Toán 12 CDXem Khóa học Toán 12 CTST
Xem thêm các dạng bài tập Toán lớp 12 ôn thi Tốt nghiệp có lời giải hay khác:
- Trắc nghiệm lũy thừa
- Dạng 2: Lôgarit: lý thuyết, tính chất, phương pháp giải
- Trắc nghiệm Lôgarit
- Dạng 3: Tìm tập xác định của hàm số mũ, lũy thừa, lôgarit
- Trắc nghiệm tìm tập xác định của hàm số mũ, lũy thừa, lôgarit
- Dạng 4: Các dạng bài tập về hàm số mũ, lũy thừa, lôgarit
- Trắc nghiệm về hàm số mũ, lũy thừa, lôgarit
- Dạng 5: Giới hạn, đạo hàm của hàm số mũ, lũy thừa, lôgarit
- Trắc nghiệm giới hạn, đạo hàm của hàm số mũ, lũy thừa, lôgarit
Đã có app VietJack trên điện thoại, giải bài tập SGK, SBT Soạn văn, Văn mẫu, Thi online, Bài giảng....miễn phí. Tải ngay ứng dụng trên Android và iOS.
Theo dõi chúng tôi miễn phí trên mạng xã hội facebook và youtube:Nếu thấy hay, hãy động viên và chia sẻ nhé! Các bình luận không phù hợp với nội quy bình luận trang web sẽ bị cấm bình luận vĩnh viễn.
- Giải Tiếng Anh 12 Global Success
- Giải sgk Tiếng Anh 12 Smart World
- Giải sgk Tiếng Anh 12 Friends Global
- Lớp 12 Kết nối tri thức
- Soạn văn 12 (hay nhất) - KNTT
- Soạn văn 12 (ngắn nhất) - KNTT
- Giải sgk Toán 12 - KNTT
- Giải sgk Vật Lí 12 - KNTT
- Giải sgk Hóa học 12 - KNTT
- Giải sgk Sinh học 12 - KNTT
- Giải sgk Lịch Sử 12 - KNTT
- Giải sgk Địa Lí 12 - KNTT
- Giải sgk Giáo dục KTPL 12 - KNTT
- Giải sgk Tin học 12 - KNTT
- Giải sgk Công nghệ 12 - KNTT
- Giải sgk Hoạt động trải nghiệm 12 - KNTT
- Giải sgk Giáo dục quốc phòng 12 - KNTT
- Giải sgk Âm nhạc 12 - KNTT
- Giải sgk Mĩ thuật 12 - KNTT
- Lớp 12 Chân trời sáng tạo
- Soạn văn 12 (hay nhất) - CTST
- Soạn văn 12 (ngắn nhất) - CTST
- Giải sgk Toán 12 - CTST
- Giải sgk Vật Lí 12 - CTST
- Giải sgk Hóa học 12 - CTST
- Giải sgk Sinh học 12 - CTST
- Giải sgk Lịch Sử 12 - CTST
- Giải sgk Địa Lí 12 - CTST
- Giải sgk Giáo dục KTPL 12 - CTST
- Giải sgk Tin học 12 - CTST
- Giải sgk Hoạt động trải nghiệm 12 - CTST
- Giải sgk Âm nhạc 12 - CTST
- Lớp 12 Cánh diều
- Soạn văn 12 Cánh diều (hay nhất)
- Soạn văn 12 Cánh diều (ngắn nhất)
- Giải sgk Toán 12 Cánh diều
- Giải sgk Vật Lí 12 - Cánh diều
- Giải sgk Hóa học 12 - Cánh diều
- Giải sgk Sinh học 12 - Cánh diều
- Giải sgk Lịch Sử 12 - Cánh diều
- Giải sgk Địa Lí 12 - Cánh diều
- Giải sgk Giáo dục KTPL 12 - Cánh diều
- Giải sgk Tin học 12 - Cánh diều
- Giải sgk Công nghệ 12 - Cánh diều
- Giải sgk Hoạt động trải nghiệm 12 - Cánh diều
- Giải sgk Giáo dục quốc phòng 12 - Cánh diều
- Giải sgk Âm nhạc 12 - Cánh diều


Giải bài tập SGK & SBT
Tài liệu giáo viên
Sách
Khóa học
Thi online
Hỏi đáp

