Bài tập trắc nghiệm Tìm cực trị của hàm số cực hay
Với Bài tập trắc nghiệm Tìm cực trị của hàm số có lời giải chi tiết sẽ giúp học sinh ôn tập, biết cách làm Bài tập trắc nghiệm Tìm cực trị của hàm số.
Bài tập trắc nghiệm Tìm cực trị của hàm số cực hay
(199k) Học Toán 12 KNTTHọc Toán 12 CDHọc Toán 12 CTST
Bài giảng: Các dạng bài tìm cực trị của hàm số - Cô Nguyễn Phương Anh (Giáo viên VietJack)
Câu 1: Cho hàm số y = f(x) có đồ thị như hình vẽ:
Đồ thị hàm số y = f(x) có mấy điểm cực trị?
A. 2. B. 1. C. 0. D. 3.
Lời giải:
Đáp án : A
Câu 2: Cho hàm số y = x3 - 3x2 + 2 . Khẳng định nào sau đây là đúng?
A. Hàm số đạt cực đại tại x = 2 và đạt cực tiểu tại x = 0.
B. Hàm số đạt cực tiểu tại x = 2 và đạt cực đại x = 0.
C. Hàm số đạt cực đại tại x = -2và cực tiểu tại x = 0.
D. Hàm số đạt cực đại tại x = 0và cực tiểu tại x = -2.
Lời giải:
Đáp án : B
Giải thích :
y' = 3x2 - 6x = 0 ⇔
Lập bảng biến thiên ta được hàm số đạt cực đại tại x = 2 và đạt cực tiểu tại x = 0
Câu 3: Cho hàm số y = x4 - 2x2 + 3 . Khẳng định nào sau đây là đúng?
A. Hàm số có ba điểm cực trị. B. Hàm số chỉ có đúng 2 điểm cực trị.
C. Hàm số không có cực trị. D. Hàm số chỉ có đúng một điểm cực trị.
Lời giải:
Đáp án : A
Giải thích :
y' = 4x3 - 4x = 0 ⇔
y(0) = 3; y(1) = y(-1) = 2 nên hàm số có hai cực trị.
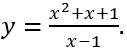
Câu 4: Gọi M, n lần lượt là giá trị cực đại, giá trị cực tiểu của hàm số . Khi đó giá trị của biểu thức M2 - 2n bằng:
A. 8. B. 7. C. 9. D. 6.
Lời giải:
Đáp án : B
Giải thích :
Hàm số đạt cực đại tại x = -3 và yCD = -3
Hàm số đạt cực tiểu tại x = -1 và yCT = 1
⇒ M2 - 2n = 7
Phương pháp trắc nghiệm:
Bấm máy tính:
Bước 1:
Bước 2: Giải phương trình bậc hai :
Bước 3: Nhập vào máy tính
Caclx = A → C
Caclx = B → D
Bước 4: Tính C2 - 2D = 7
Câu 5: Cho hàm số y = x3 + 17x2 - 24x + 8 . Kết luận nào sau đây là đúng?
A. xCD = 1. B. xCD = 2/3. C. xCD = -3. D. xCD = -12.
Lời giải:
Đáp án : D
Giải thích :
y' = 3x2 + 34x - 24 = 0 ⇔
Lập bảng biến thiên ta thấy hàm số đạt cực đại tại x = -12 .
Câu 6: Cho hàm số y = 3x4 - 6x2 + 1 . Kết luận nào sau đây là đúng?
A. yCD = -2. B. yCD = 1. C. yCD = -1. D. yCD = 2.
Lời giải:
Đáp án : B
Giải thích :
y' = 12x3 - 12x = 0 ⇔
Hàm số đạt cực đại tại x = 0 và yCD = 1 .
Câu 7: Trong các hàm số sau, hàm số nào đạt cực đại tại x = 3/2 ?
A. B.
C. D.
Lời giải:
Đáp án : B
Giải thích :
Hàm số và y' đổi dấu từ "+" sang "-" khi x chạy qua 3/2 nên hàm số đạt cực đại tại x = 3/2 .
Dùng casio kiểm tra: thì hàm số đạt cực đại tại 3/2 .
Câu 8: Trong các hàm số sau, hàm số nào chỉ có cực đại mà không có cực tiểu?
A. y = -10x4 - 5x2 + 7. B. y = -17x3 + 2x2 + x + 5.
C. D.
Lời giải:
Đáp án : A
Giải thích :
Hàm số y = -10x4 - 5x2 + 7 có y' = -40x3 - 10x = 0 ⇔ x = 0 và y"(0) = -10 < 0 nên hàm số đạt cực đại tại x = 0 .
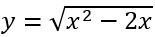
Câu 9: Cho hàm số . Khẳng định nào sau đây là đúng
A. Hàm số có hai điểm cực trị. B. Hàm số đạt cực tiểu tại x = 0 .
C. Hàm số đạt cực đại x = 2 . D. Hàm số không có cực trị.
Lời giải:
Đáp án : D
Giải thích :
TXĐ: D = (-∞;0]∪[2;+∞) .
⇔ x = 1(l) .
y' không đổi dấu trên các khoảng xác định nên hàm số không có cực trị.
Câu 10: Cho hàm số y = x7 - x5 . Khẳng định nào sau đây là đúng
A. Hàm số có đúng 1 điểm cực trị. B. Hàm số có đúng 3 điểm cực trị .
C. Hàm số có đúng hai điểm cực trị. D. Hàm số có đúng 4 điểm cực trị.
Lời giải:
Đáp án : C
Giải thích :
y' chỉ đổi dấu khi x chạy qua nên hàm số có hai điểm cực trị.
Câu 11: Cho hàm số y = f(x) có đạo hàm f'(x) = (x+1)(x-2)2 (x-3)3 (x+5)4 . Hỏi hàm số
y = f(x) có mấy điểm cực trị?
A. 2. B. 3. C.4. D. 5.
Lời giải:
Đáp án : A
Giải thích :
f'(x) đổi dấu khi x chạy qua -1 và 3 nên hàm số có 2 điểm cực trị.
Câu 12: Cho hàm số y = -x3 + 3x2 + 6x . Hàm số đạt cực trị tại hai điểm x_1,x_2 . Khi đó giá trị của
biểu thức S=x12 + x22 bằng:
A. -10. B.-8. C.10. D. 8.
Lời giải:
Đáp án : D
Giải thích :
D = R
y' = -3x2 + 6x + 6
Phương trình y' = 0 luôn có hai nghiệm phân biệt x1, x2 và y' đổi dấu khi x chạy qua x1,x2 nên hàm số đạt cực trị tại x1,x2.
S = x12 + x22 = (x1 + x2 )2 - 2x1 x2 = 8
Phương pháp trắc nghiệm:
Bước 1: Giải phương trình bậc hai :
Bước 2: Tính A2 + B2 = 8
(199k) Học Toán 12 KNTTHọc Toán 12 CDHọc Toán 12 CTST
Xem thêm các dạng bài tập Toán lớp 12 có trong đề thi Tốt nghiệp THPT khác:
- Dạng 1: Tìm cực trị của hàm số
- Dạng 2: Tìm tham số m để hàm số đạt cực trị tại một điểm
- Trắc nghiệm Tìm tham số m để hàm số đạt cực trị tại một điểm
- Dạng 3: Biện luận theo m số cực trị của hàm số
- Trắc nghiệm Biện luận theo m số cực trị của hàm số
- Dạng 4: Bài toán liên quan đến cực trị của hàm số
- Trắc nghiệm về cực trị hàm số
Đã có app VietJack trên điện thoại, giải bài tập SGK, SBT Soạn văn, Văn mẫu, Thi online, Bài giảng....miễn phí. Tải ngay ứng dụng trên Android và iOS.
Theo dõi chúng tôi miễn phí trên mạng xã hội facebook và youtube:Nếu thấy hay, hãy động viên và chia sẻ nhé! Các bình luận không phù hợp với nội quy bình luận trang web sẽ bị cấm bình luận vĩnh viễn.
- Giải Tiếng Anh 12 Global Success
- Giải sgk Tiếng Anh 12 Smart World
- Giải sgk Tiếng Anh 12 Friends Global
- Lớp 12 Kết nối tri thức
- Soạn văn 12 (hay nhất) - KNTT
- Soạn văn 12 (ngắn nhất) - KNTT
- Giải sgk Toán 12 - KNTT
- Giải sgk Vật Lí 12 - KNTT
- Giải sgk Hóa học 12 - KNTT
- Giải sgk Sinh học 12 - KNTT
- Giải sgk Lịch Sử 12 - KNTT
- Giải sgk Địa Lí 12 - KNTT
- Giải sgk Giáo dục KTPL 12 - KNTT
- Giải sgk Tin học 12 - KNTT
- Giải sgk Công nghệ 12 - KNTT
- Giải sgk Hoạt động trải nghiệm 12 - KNTT
- Giải sgk Giáo dục quốc phòng 12 - KNTT
- Giải sgk Âm nhạc 12 - KNTT
- Giải sgk Mĩ thuật 12 - KNTT
- Lớp 12 Chân trời sáng tạo
- Soạn văn 12 (hay nhất) - CTST
- Soạn văn 12 (ngắn nhất) - CTST
- Giải sgk Toán 12 - CTST
- Giải sgk Vật Lí 12 - CTST
- Giải sgk Hóa học 12 - CTST
- Giải sgk Sinh học 12 - CTST
- Giải sgk Lịch Sử 12 - CTST
- Giải sgk Địa Lí 12 - CTST
- Giải sgk Giáo dục KTPL 12 - CTST
- Giải sgk Tin học 12 - CTST
- Giải sgk Hoạt động trải nghiệm 12 - CTST
- Giải sgk Âm nhạc 12 - CTST
- Lớp 12 Cánh diều
- Soạn văn 12 Cánh diều (hay nhất)
- Soạn văn 12 Cánh diều (ngắn nhất)
- Giải sgk Toán 12 Cánh diều
- Giải sgk Vật Lí 12 - Cánh diều
- Giải sgk Hóa học 12 - Cánh diều
- Giải sgk Sinh học 12 - Cánh diều
- Giải sgk Lịch Sử 12 - Cánh diều
- Giải sgk Địa Lí 12 - Cánh diều
- Giải sgk Giáo dục KTPL 12 - Cánh diều
- Giải sgk Tin học 12 - Cánh diều
- Giải sgk Công nghệ 12 - Cánh diều
- Giải sgk Hoạt động trải nghiệm 12 - Cánh diều
- Giải sgk Giáo dục quốc phòng 12 - Cánh diều
- Giải sgk Âm nhạc 12 - Cánh diều


Giải bài tập SGK & SBT
Tài liệu giáo viên
Sách
Khóa học
Thi online
Hỏi đáp

