Cách tìm cực trị của hàm số (cực hay)
Bài viết Cách tìm cực trị của hàm số với phương pháp giải chi tiết giúp học sinh ôn tập, biết cách làm bài tập Cách tìm cực trị của hàm số.
Cách tìm cực trị của hàm số (cực hay)
(199k) Xem Khóa học Toán 12 KNTTXem Khóa học Toán 12 CDXem Khóa học Toán 12 CTST
Bài giảng: Các dạng bài tìm cực trị của hàm số - Cô Nguyễn Phương Anh (Giáo viên VietJack)
A. Phương pháp giải & Ví dụ
Phương pháp giải
1.Định nghĩa: Cho hàm số y = f(x)xác định và liên tục trên khoảng (a;b) (có thể a là -∞; b là +∞) và điểm x0∈(a;b).
Nếu tồn tại số h > 0 sao cho f(x)< f(x0 ) với mọi x ∈ (x0 - h;x0 + h) và x≠x_0 thì ta nói hàm số f(x) đạt cực đại tại x0.
Nếu tồn tại số h >0 sao cho f(x) >f(x0 ) với mọi x ∈ (x0 - h;x0 + h) và x ≠ x0 thì ta nói hàm số f(x) đạt cực tiểu tại x0.
2.Điều kiện đủ để hàm số có cực trị: Giả sử hàm số y=f(x) liên tục trên
K=(x0 - h;x0 + h)và có đạo hàm trên K hoặc trên K\{x0}, với h >0.
Nếu f'(x)> 0 trên khoảng (x0 - h;x0) và f'(x) <0 trên (x0;x0 + h) thì x0 là một điểm cực đại của hàm số f(x).
Nếu f'(x) < 0 trên khoảng (x0 - h;x0) và f'(x) >0 trên (x0;x0+ h) thì x0 là một điểm cực tiểu của hàm số f(x).
Minh họa bằng bảng biến thiến
Chú ý.
Nếu hàm sốy=f(x) đạt cực đại (cực tiểu) tại x0 thì x0 được gọi là điểm cực đại (điểm cực tiểu) của hàm số; f(x0) được gọi là giá trị cực đại (giá trị cực tiểu) của hàm số, kí hiệu là fCÑ (fCT), còn điểm M(x0;f(x0)) được gọi là điểm cực đại (điểm cực tiểu) của đồ thị hàm số.
Các điểm cực đại và cực tiểu được gọi chung là điểm cực trị. Giá trị cực đại (giá trị cực tiểu) còn gọi là cực đại (cực tiểu) và được gọi chung là cực trị của hàm số.
3.Quy tắc tìm cực trị của hàm số
Quy tắc 1:
Bước 1. Tìm tập xác định của hàm số.
Bước 2. Tínhf'(x). Tìm các điểm tại đó f'(x)bằng 0 hoặc f'(x) không xác định.
Bước 3. Lập bảng biến thiên.
Bước 4. Từ bảng biến thiên suy ra các điểm cực trị.
Quy tắc 2:
Bước 1. Tìm tập xác định của hàm số.
Bước 2. Tính f'(x). Giải phương trình f'(x)và ký hiệuxi (i=1,2,3,...)là các nghiệm của nó.
Bước 3. Tính f''(x) và f''(xi ) .
Bước 4. Dựa vào dấu của f''(xi )suy ra tính chất cực trị của điểm xi.
Ví dụ minh họa
Ví dụ 1. Tìm cực trị của hàm số y = 2x3 - 6x + 2.
Hướng dẫn
Tập xác định D = R.
Tính y' = 6x2 - 6. Cho y'= 0 ⇔ 6x2 - 6 = 0 ⇔ x = ±1.
Bảng biến thiên
Vậy hàm số đạt cực đại tại x = - 1, y = 6 và hàm số đạt cực tiểu tại x = 1,y = -2.
Ví dụ 2. Tìm cực trị của hàm số y = x4 - 2x2 + 2.
Hướng dẫn
Tập xác định D = R.
Tính y' = 4x3 - 4x. Cho y'= 0 ⇔ 4x3 - 4x = 0 ⇔.
Bảng biến thiên
Vậy hàm số đạt cực tiểu tại x = ±1, y = 1 và hàm số đạt cực đại tại x = 0, y = 2.
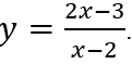
Ví dụ 3. Tìm cực trị của hàm số y =
Hướng dẫn
Tập xác định D = R\{2}. Tính
Bảng biến thiên
Vậy hàm số đã cho không có cực trị.
B. Bài tập vận dụng
Bài 1. Tìm cực trị của hàm số y = -x3 + 3x2 - 4
Lời giải:
Tập xác định D = R.
Tính y'= -3x2 + 6x.
Cho y'= 0⇔-3x2 + 6x = 0⇔
Bảng biến thiên
Vậy hàm số đạt cực tiểu tại x = 0,y = -4 và hàm số đạt cực đại tại x = 2,y = 0.
Bài 2. Tìm cực trị của hàm số y = -x3 + 3x3 - 3x + 2
Lời giải:
Tập xác định D = R.
Tính y' = -3x2 + 6x-3.
Cho y'= 0 ⇔ -3x2+ 6x-3 = 0 ⇔ x = 1.
Bảng biến thiên
Vậy hàm số đã cho không có cực trị.
Bài 3. Gọi A,B là hai điểm cực trị của đồ thị hàm số y = 2x3 - 3x2 - 12x + 1. Tìm tọa độ A,B và phương trình đường thẳng qua hai điểm đó.
Lời giải:
Tập xác định D = R.
Tính y' = 6x2 - 6x - 12.
Cho y'= 0 ⇔
Bảng biến thiên
Suy ra tọa độ hai điểm cực trị là A(-1;8), B(2;-19).
Vậy phương trình đường thẳng AB là 9x + y + 1 = 0.
Bài 4. Cho hàm số y = x3 - 3x2 có đồ thị (C). Tìm các điểm cực đại, cực tiểu của đồ thị (C)và khoảng cách giữa hai điểm cực trị đó.
Lời giải:
Tập xác định D = R.
Tính y'= 3x2-6x.
Cho y'= 0 ⇔
Bảng biến thiên
Vậy tọa độ hai điểm cực trị là A(-1;8),B(2;-19). Khi đó AB =
Bài 5. Tìm cực trị của hàm số y = x4/4 - x2 + 2
Lời giải:
Tập xác định D = R.
Tính y'= 2x3-2x.
Cho y'= 0 ⇔ 4x3 - 4x = 0 ⇔
Bảng biến thiên
Vậy hàm số đạt cực tiểu tại x = ±1, y = 3/2 và hàm số đạt cực đại tại x = 0, y = 2.
Bài 6. Tìm cực trị của hàm số y = -x4 + 4x2 - 5
Lời giải:
Tập xác định D = R.
Tính y'= -4x3 + 8x.
Cho y'= 0 ⇔ -4x3 + 8x = 0⇔
Bảng biến thiên
Vậy hàm số đạt cực tiểu tại x = 0, y = -5 và hàm số đạt cực đại tại x = ±√2, y = -1.
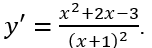
Bài 7. Tìm cực trị của hàm số y =
Lời giải:
Tập xác định D = R\{-1}.
Tính y' =
Cho y' = 0⇔ x2 + 2x - 3 = 0 ⇔
Bảng biến thiên
Vậy hàm số đạt cực đại tại x = -3, y = -7 và đạt cực tiểu tại x = 1, y = 1.
Bài 8. Tìm cực trị của hàm số y = x - 5 + 1/x
Lời giải:
Tập xác định D = R\{0}.
Tính
Cho y' = 0⇔x2 - 1 = 0 ⇔
Bảng biến thiên
Vậy hàm số đạt cực đại tại x = -1, y = -7 và đạt cực tiểu tại x = 1, y = -3.
C. Bài tập tự luyện
Bài 1. Tìm số điểm cực trị của hàm số y = ?
Bài 2. Cho hàm số y = f(x) có đạo hàm f′(x) = x2(x − 1)(x − 4)2. Tìm số cực trị của hàm số y = f(x2).
Bài 3. Cho hàm số y = f(x) có đạo hàm f ′(x) = (x + 1)(x −1)2 (x −2) + 1. Hỏi hàm số g(x) = f(x) − x có bao nhiêu điểm cực trị?
Bài 4. Cho hàm số y = f(x) có đạo hàm f′(x). Đồ thị của hàm số y = f′(x) như hình vẽ:
Hỏi đồ thị của hàm số y = f(x) + 3x có bao nhiêu điểm cực trị?
Bài 5. Cho hàm số y = f(x) có đạo hàm f′(x). Đồ thị của hàm số y = f′(x) như hình vẽ
Hỏi điểm cực tiểu của hàm số y = 2f(x) + x2 là?
(199k) Xem Khóa học Toán 12 KNTTXem Khóa học Toán 12 CDXem Khóa học Toán 12 CTST
Xem thêm các dạng bài tập Toán lớp 12 ôn thi Tốt nghiệp có lời giải hay khác:
- Trắc nghiệm Tìm cực trị của hàm số
- Dạng 2: Tìm tham số m để hàm số đạt cực trị tại một điểm
- Trắc nghiệm Tìm tham số m để hàm số đạt cực trị tại một điểm
- Dạng 3: Biện luận theo m số cực trị của hàm số
- Trắc nghiệm Biện luận theo m số cực trị của hàm số
- Dạng 4: Bài toán liên quan đến cực trị của hàm số
- Trắc nghiệm về cực trị hàm số
Đã có app VietJack trên điện thoại, giải bài tập SGK, SBT Soạn văn, Văn mẫu, Thi online, Bài giảng....miễn phí. Tải ngay ứng dụng trên Android và iOS.
Theo dõi chúng tôi miễn phí trên mạng xã hội facebook và youtube:Nếu thấy hay, hãy động viên và chia sẻ nhé! Các bình luận không phù hợp với nội quy bình luận trang web sẽ bị cấm bình luận vĩnh viễn.
- Giải Tiếng Anh 12 Global Success
- Giải sgk Tiếng Anh 12 Smart World
- Giải sgk Tiếng Anh 12 Friends Global
- Lớp 12 Kết nối tri thức
- Soạn văn 12 (hay nhất) - KNTT
- Soạn văn 12 (ngắn nhất) - KNTT
- Giải sgk Toán 12 - KNTT
- Giải sgk Vật Lí 12 - KNTT
- Giải sgk Hóa học 12 - KNTT
- Giải sgk Sinh học 12 - KNTT
- Giải sgk Lịch Sử 12 - KNTT
- Giải sgk Địa Lí 12 - KNTT
- Giải sgk Giáo dục KTPL 12 - KNTT
- Giải sgk Tin học 12 - KNTT
- Giải sgk Công nghệ 12 - KNTT
- Giải sgk Hoạt động trải nghiệm 12 - KNTT
- Giải sgk Giáo dục quốc phòng 12 - KNTT
- Giải sgk Âm nhạc 12 - KNTT
- Giải sgk Mĩ thuật 12 - KNTT
- Lớp 12 Chân trời sáng tạo
- Soạn văn 12 (hay nhất) - CTST
- Soạn văn 12 (ngắn nhất) - CTST
- Giải sgk Toán 12 - CTST
- Giải sgk Vật Lí 12 - CTST
- Giải sgk Hóa học 12 - CTST
- Giải sgk Sinh học 12 - CTST
- Giải sgk Lịch Sử 12 - CTST
- Giải sgk Địa Lí 12 - CTST
- Giải sgk Giáo dục KTPL 12 - CTST
- Giải sgk Tin học 12 - CTST
- Giải sgk Hoạt động trải nghiệm 12 - CTST
- Giải sgk Âm nhạc 12 - CTST
- Lớp 12 Cánh diều
- Soạn văn 12 Cánh diều (hay nhất)
- Soạn văn 12 Cánh diều (ngắn nhất)
- Giải sgk Toán 12 Cánh diều
- Giải sgk Vật Lí 12 - Cánh diều
- Giải sgk Hóa học 12 - Cánh diều
- Giải sgk Sinh học 12 - Cánh diều
- Giải sgk Lịch Sử 12 - Cánh diều
- Giải sgk Địa Lí 12 - Cánh diều
- Giải sgk Giáo dục KTPL 12 - Cánh diều
- Giải sgk Tin học 12 - Cánh diều
- Giải sgk Công nghệ 12 - Cánh diều
- Giải sgk Hoạt động trải nghiệm 12 - Cánh diều
- Giải sgk Giáo dục quốc phòng 12 - Cánh diều
- Giải sgk Âm nhạc 12 - Cánh diều


Giải bài tập SGK & SBT
Tài liệu giáo viên
Sách
Khóa học
Thi online
Hỏi đáp

