Cách giải các dạng bài về cực trị của hàm số (cực hay)
Bài viết Cách giải các dạng bài về cực trị của hàm số với phương pháp giải chi tiết giúp học sinh ôn tập, biết cách làm bài tập Cách giải các dạng bài về cực trị của hàm số.
Cách giải các dạng bài về cực trị của hàm số (cực hay)
(199k) Xem Khóa học Toán 12 KNTTXem Khóa học Toán 12 CDXem Khóa học Toán 12 CTST
Bài giảng: Các dạng bài tìm cực trị của hàm số - Cô Nguyễn Phương Anh (Giáo viên VietJack)
A. Phương pháp giải & Ví dụ
Phương pháp giải
1. Cực trị của hàm số bậc ba
Hàm số có cực trị y' = 0 có hai nghiệm phân biệt .
Nếu hàm số y = ax3 + bx2 + cx + d(a ≠ 0) có hai điểm cực trị x1,x2 và
y = g(x).y^' + a.x + b thì đường thẳng đi qua hai điểm cực trị có phương trình y = ax + b và giá trị cực trị là của hàm số là y1 = a.x1+b; y2 = a.x2 + b
Tìm điều kiện cuả tham số để hàm số có cực trị thỏa mãn hệ thức cho trước
- Tìm điều kiện để hàm số có cực trị.
- Phân tích hệ thức để áp dụng vi-et cho phương trình bậc hai.
2. Cực trị của hàm số bậc bốn trùng phương
Cho hàm số: y = ax4 + bx2 + c (a ≠ 0) có đồ thị là (C).
(C)có ba điểm cực trị y' = 0 có 3 nghiệm phân biệt ⇔ -b/2a > 0 ⇔ ab < 0.
Khi đó hàm số có 3 điểm cực trị thì 3 điểm cực trị là 0;
Tọa độ 3 điểm cực trị tương ứng của đồ thị hàm số là:
Nhận xét: tam giác ABC cân tại A, có A ∈Oy ;
Tam giác ABC vuông tại
hoặc ΔABC vuông cân tại A ⇔ BC2 = AB2 + AC2
Tam giác ABC đều
hoặc ΔABC đều ⇔ BC2 = AB2
Đặc biệt: Tam giác ABC có một góc bằng 120°
Bán kính đường tròn ngoại tiếp tam giác ABC là
Bán kính đường tròn nội tiếp tam giác ABC là
Phương trình đường tròn ngoại tiếp ΔABC là:
Ví dụ minh họa
Ví dụ 1. Cho hàm số y = x3 - 3(m + 1)x2 + 9x - 2m2 + 1 (C). Tìm giá trị của m để đồ thị hàm số (C) có cực đại, cực tiểu tại x1, x2 sao cho |x1 - xc | = 2
Hướng dẫn
Ta có y' = 0 ⇔ x2 - 2(m + 1)x + 3 = 0. ĐK có 2 điểm cực trị Δ' = (m + 1)2 - 3 > 0
Khi đó
Ví dụ 2. Cho hàm số (C). Tìm giá trị của m để đồ thị hàm số (C) có cực đại, cực tiểu tại x1,x2 sao cho x12 + x22 = 6
Hướng dẫn
Ta có y' = x2 - mx + m2 - 3. ĐK có 2 cực trị Δ = m2 - 4(m2 - 3) = 12 - 3m2 > 0
Khi đó
Ví dụ 3. Tìm tất cả các giá trị thực của tham số m sao cho đồ thị hàm số y = x4 - 2mx2 + 2m4 - m có ba điểm cực trị đều thuộc các trục tọa độ.
Hướng dẫn
Ta có y' = 4x3 - 4mx = 4x[x2 - m].
Hàm số đã cho có ba điểm cực trị khi và chỉ khi:
Khi đó ba điểm cực trị của đồ thị hàm số là:
A(0; 2m4 - m), B(-√m; 2m4 - m2 - m), C(√m; 2m4 - m2 - m)
Có A Oy.Khi đó ba điểm cực trị đều thuộc các trục tọa độ
⇔ yB = 0 = yC ⇔ 2m4 - m2 - m = 0 ⇔ m = 1
B. Bài tập vận dụng
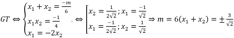
Câu 1:Cho hàm số y = 4x3 + mx2 - 3x + 1. Tìm tất cả các giá trị của m để hàm số có hai điểm cực trị x1,x2 thỏa x1 = -2x2
Lời giải:
Ta có y' = 12x2 + 2mx - 3. ĐK có 2 cực trị là: Δ' = m2 + 36 > 0
Câu 2:Cho hàm số y = (m + 2)x3 + 3x2 + mx - 5, m là tham số. Tìm các giá trị của m để các điểm cực đại, cực tiểu của đồ thị hàm số đã cho có hoành độ là các số dương.
Lời giải:
Các điểm cực đại, cực tiểu của đồ thị hàm số đã cho có hoành độ là các số dương
⇔ PT y' = 3(m + 2)x2 + 6x + m = 0 có 2 nghiệm dương phân biệt
Câu 3:Cho hàm số y = x3 + (1 - 2m)x2 + (2 - m)x + m + 2 (1). Tìm các giá trị của m để đồ thị hàm số (1) có điểm cực đại, điểm cực tiểu , đồng thời hoành độ của điểm cực tiểu nhỏ hơn 1.
Lời giải:
y' = 3x2 + 2(1 - 2m)x + 2 - m = g(x)
YCBT ⇔ Phương trình y' = 0 có hai nghiệm phân biệt x1,x2thỏa mãn x1 < x2 < 1.
Câu 4:Cho hàm số y = x3 + 3x2 + mx + m - 2 (m là tham số) có đồ thị là (Cm). Xác định m để (Cm) có các điểm cực đại và cực tiểu nằm về hai phía đối với trục hoành.
Lời giải:
f'(x) = 3x2 + 6x + m
Hàm số có hai cực trị khi và chỉ khi:f'(x) = 0 có hai nghiệm phân biệt
⇔ Δ = 9 - 3m > 0 ⇔ m < 3
Giả sử x1, x2 là nghiệm của phương trình f'(x) = 0 ta có
g(x1) = 2/3 (m - 3)(x1 + 1); g(x2) = 2/3 (m - 3)(x2 + 1)
Hai điểm cực trị của đồ thị hàm số nằm về hai phía của
(g(x1). g(x2) < 0 ⇔ (m - 3)2 (x1 + 1)(x2 + 1) < 0⇔(m - 3)2 (x1 x2 + x1 + x2 + 1) < 0 ⇔(x1 x2 + x1 + x2 + 1) < 0 (m < 3) )
Vậy:(x1 x2 + x1 + x2 + 1) < 0 ⇔ m/3 - 1 < 0 ⇔ m < 3
Câu 5:Tìm các giá trị của tham số m để đồ thị hàm số y = 2x3 + 3(m - 3)x2 + 11 - 3m có hai điểm cực trị. Đồng thời hai điểm cực trị đó và điểmC(0; -1) thẳng hàng .
Lời giải:
y' = 6x2 + 6(m - 3)x
Hàm số có 2 cực trị m ≠ 3
Khi đó đồ thị hàm số đã cho có 2 điểm cực trị A(0; 11 - 3m)
Phương trình đt AB : (3 - m)2 x + y - 11 + 3m = 0
A,B,C thẳng hàng
Hay : -1 - 11 + 3m = 0 ⇔ m = 4.
Câu 6:Tìm m để hàm số y = x4 - 2m2 x2 + 1 có 3 điểm cực trị là 3 đỉnh của một tam giác vuông cân
Lời giải:
Hàm số có 3 cực trị y' = 4x(x2 - m2 ) = 0 có 3 nghiệm phân biệt
m ≠ 0, khi đó đồ thị có 3 điểm cực trị là A(0, 1);B(-m, 1 - m4 ), C(m, 1 - m4 ). Do y là hàm chẵn nên YCBT
⇔ m = ±1
Câu 7:Tìm tất cả các giá trị của tham số thực m để đường thẳng qua 2 điểm cực trị của đồ thị hàm số: y = x3 - 3mx + 2 cắt đường tròn tâm I(1;1) bán kính bằng 1 tại 2 điểm A,B mà diện tích tam giác IAB lớn nhất .
Lời giải:
y' = 3x2 - 3m
y' = 0 ⇔ Hàm số có 2 cực trị khi và chỉ khi : m > 0
Khi đó tọa độ 2 điểm cực trị của đồ thị hàm số là: M(√m; -2m√m + 2)
Phương trình đt MN : 2mx + y - 2 = 0
( Học sinh có thể dùng cách lấy y chia cho y')
Ta có :
Dấu bằng xảy ra khi
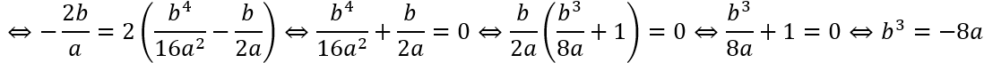
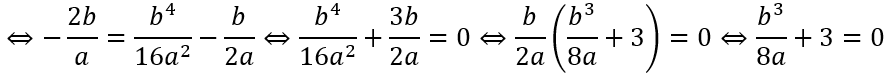
Câu 8:Tìm tất cả các giá trị thực của tham số mđể đồ thị hàm số y = 2x3 - 3(m + 1)x2 + 6mx có hai điểm cực trị A, B sao cho đường thẳng AB vuông góc với đường thẳng : y = x + 2.
Lời giải:
Ta có : y = 6x2 - 6(m + 1)x + 6m
y' = 0 ⇔
Điều kiện để hàm số có 2 điểm cực trị là : m ≠ 1
Ta có : A(1; 3m - 1) B(m; -m3 + 3m2 )
Hệ số góc đt AB là : k = -(m - 1)2
Đt AB vuông góc với đường thẳng y = x + 2 khi và chỉ khi k = -1 ⇔
C. Bài tập tự luyện
Bài 1. Tìm tất cả các giá trịcủa tham số m để hàm số y = -x3 – 3x2 + mx + 2 có cực đại và cực tiểu?
Bài 2. Biết M(0;2), N(2;-2) là các điểm cực trị của đồ thị hàm số y = ax3 + bx2 + cx + d. Tính giá trị của hàm số tại x = -2.
Bài 3. Biết m0 là giá trị tham số m để hàm số y = x3 – 3x2 + mx – 1 có hai điểm cực trị x1, x2 sao cho x12 + x22 – x1x2 = 13. Tìm m0?
Bài 4. Cho hàm số f(x) liên tục và xác định trên ℝ, đồ thị hàm số y = f'(x) như hình vẽ dưới đây.
Hàm số y = có bao nhiêu điểm cực trị?
Bài 5. Cho hàm số bậc năm y = f(x) có đồ thị hàm số y = f'(x) như hình vẽ dưới đây.
Tính số điểm cực trị của hàm số g(x) = f(x2 – 3x + 4)?
(199k) Xem Khóa học Toán 12 KNTTXem Khóa học Toán 12 CDXem Khóa học Toán 12 CTST
Xem thêm các dạng bài tập Toán lớp 12 ôn thi Tốt nghiệp có lời giải hay khác:
- Dạng 1: Tìm cực trị của hàm số
- Trắc nghiệm Tìm cực trị của hàm số
- Dạng 2: Tìm tham số m để hàm số đạt cực trị tại một điểm
- Trắc nghiệm Tìm tham số m để hàm số đạt cực trị tại một điểm
- Dạng 3: Biện luận theo m số cực trị của hàm số
- Trắc nghiệm Biện luận theo m số cực trị của hàm số
- Trắc nghiệm về cực trị hàm số
Đã có app VietJack trên điện thoại, giải bài tập SGK, SBT Soạn văn, Văn mẫu, Thi online, Bài giảng....miễn phí. Tải ngay ứng dụng trên Android và iOS.
Theo dõi chúng tôi miễn phí trên mạng xã hội facebook và youtube:Nếu thấy hay, hãy động viên và chia sẻ nhé! Các bình luận không phù hợp với nội quy bình luận trang web sẽ bị cấm bình luận vĩnh viễn.
- Giải Tiếng Anh 12 Global Success
- Giải sgk Tiếng Anh 12 Smart World
- Giải sgk Tiếng Anh 12 Friends Global
- Lớp 12 Kết nối tri thức
- Soạn văn 12 (hay nhất) - KNTT
- Soạn văn 12 (ngắn nhất) - KNTT
- Giải sgk Toán 12 - KNTT
- Giải sgk Vật Lí 12 - KNTT
- Giải sgk Hóa học 12 - KNTT
- Giải sgk Sinh học 12 - KNTT
- Giải sgk Lịch Sử 12 - KNTT
- Giải sgk Địa Lí 12 - KNTT
- Giải sgk Giáo dục KTPL 12 - KNTT
- Giải sgk Tin học 12 - KNTT
- Giải sgk Công nghệ 12 - KNTT
- Giải sgk Hoạt động trải nghiệm 12 - KNTT
- Giải sgk Giáo dục quốc phòng 12 - KNTT
- Giải sgk Âm nhạc 12 - KNTT
- Giải sgk Mĩ thuật 12 - KNTT
- Lớp 12 Chân trời sáng tạo
- Soạn văn 12 (hay nhất) - CTST
- Soạn văn 12 (ngắn nhất) - CTST
- Giải sgk Toán 12 - CTST
- Giải sgk Vật Lí 12 - CTST
- Giải sgk Hóa học 12 - CTST
- Giải sgk Sinh học 12 - CTST
- Giải sgk Lịch Sử 12 - CTST
- Giải sgk Địa Lí 12 - CTST
- Giải sgk Giáo dục KTPL 12 - CTST
- Giải sgk Tin học 12 - CTST
- Giải sgk Hoạt động trải nghiệm 12 - CTST
- Giải sgk Âm nhạc 12 - CTST
- Lớp 12 Cánh diều
- Soạn văn 12 Cánh diều (hay nhất)
- Soạn văn 12 Cánh diều (ngắn nhất)
- Giải sgk Toán 12 Cánh diều
- Giải sgk Vật Lí 12 - Cánh diều
- Giải sgk Hóa học 12 - Cánh diều
- Giải sgk Sinh học 12 - Cánh diều
- Giải sgk Lịch Sử 12 - Cánh diều
- Giải sgk Địa Lí 12 - Cánh diều
- Giải sgk Giáo dục KTPL 12 - Cánh diều
- Giải sgk Tin học 12 - Cánh diều
- Giải sgk Công nghệ 12 - Cánh diều
- Giải sgk Hoạt động trải nghiệm 12 - Cánh diều
- Giải sgk Giáo dục quốc phòng 12 - Cánh diều
- Giải sgk Âm nhạc 12 - Cánh diều


Giải bài tập SGK & SBT
Tài liệu giáo viên
Sách
Khóa học
Thi online
Hỏi đáp

