Cách viết phương trình tiếp tuyến của đồ thị hàm số (cực hay)
Bài viết Cách viết phương trình tiếp tuyến của đồ thị hàm số với phương pháp giải chi tiết giúp học sinh ôn tập, biết cách làm bài tập Cách viết phương trình tiếp tuyến của đồ thị hàm số.
Cách viết phương trình tiếp tuyến của đồ thị hàm số (cực hay)
(199k) Xem Khóa học Toán 12 KNTTXem Khóa học Toán 12 CDXem Khóa học Toán 12 CTST
Bài giảng: Cách viết phương trình tiếp tuyến của đồ thị hàm số - Cô Nguyễn Phương Anh (Giáo viên VietJack)
A. Phương pháp giải & Ví dụ
Phương pháp giải
1. Ý nghĩa hình học của đạo hàm
Cho hàm số y = f(x) có đồ thị (C) và điểm. M0 (x0; y0) ∈ (C)
Tiếp tuyến của đồ thị (C) tại điểm M0 có dạng y = f'(x0 )(x - x0 ) + y0
Trong đó:
Điểm M0 (x0; y0) ∈(C) được gọi là tiếp điểm ( với y0 = f(x0)).
k = f'x0) là hệ số góc của tiếp tuyến.
Chú ý:
Đường thẳng bất kỳ đi qua M0 (x0; y0) có hệ số góc k, có phương trình
y = k(x - x0 ) + y0
Cho hai đường thẳng Δ1:y = k1 x + m1 và Δ2:y = k2 x + m2
Lúc đó:
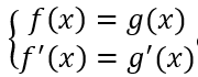
2. Điều kiện tiếp xúc của hai đồ thị
Cho hai hàm số y = f(x),(C) và y = g(x),(C')
(C) và (C' ) tiếp xúc nhau khi chỉ khi hệ phương trình
có nghiệm.
Nghiệm của hệ là hoành độ tiếp điểm của hai đồ thị đó.
Đặc biệt: Đường thẳng y = kx + m là tiếp tuyến với (C):y = f(x) khi chỉ khi hệ có nghiệm.
3. Các dạng phương trình tiếp tuyến thường gặp
Cho hàm số y = f(x) gọi đồ thị của hàm số là (C)
Dạng 1. Viết phương trình tiếp tuyến của đồ thị hàm số (C):y = f(x) tại M0 (x0; y0)
Phương pháp
Bước 1. Tính y' = f' (x) suy ra hệ số góc của phương trình tiếp tuyến là k = y' (x0).
Bước 2. Phương trình tiếp tuyến của đồ thị (C) tại điểm M0 (x0; y0) có dạng
y - y0 = f'(x0)(x - x0)
Dạng 2. Viết phương trình tiếp tuyến của đồ thị hàm số (C):y = f(x) có hệ số góc k cho trước.
Phương pháp
Bước 1. Gọi M0 (x0; y0) là tiếp điểm và tính y' = f' (x).
Bước 2. Hệ số góc tiếp tuyến là k = f' (x0). . Giải phương trình này tìm được x0 thay vào hàm số được y0.
Bước 3. Với mỗi tiếp điểm ta tìm được các tiếp tuyến tương ứng
d: y - y0 = f' (x0)(x - x0)
Chú ý: Đề bài thường cho hệ số góc tiếp tuyến dưới các dạng sau:
Tiếp tuyến d Δ:y = ax + b ⇒ hệ số góc của tiếp tuyến là k = a
Tiếp tuyến d Δ:y = ax + b(a ≠ 0)⇒ hệ số góc của tiếp tuyến là k = -1/a
Tiếp tuyến tạo với trục hoành một góc α thì hệ số góc của tiếp tuyến d là k = ±tanα
Dạng 3. Viết phương trình tiếp tuyến của đồ thị hàm số (C):y = f(x) biết tiếp tuyến đi qua điểm A(xA; yA)
Phương pháp
Cách 1.
Bước 1: Phương trình tiếp tuyến đi qua A(xA; yA) hệ số góc k có dạng
d:y = k(x - xA ) + yA (*)
Bước 2: là tiếp tuyến của khi và chỉ khi hệ sau có nghiệm:
Bước 3: Giải hệ này tìm được x suy ra k và thế vào phương trình (*), ta được tiếp tuyến cần tìm.
Cách 2.
Bước 1. Gọi M(x0; f(x0 )) là tiếp điểm và tính hệ số góc tiếp tuyến
k = y'(x0 ) = f' (x0) theo x0
Bước 2. Phương trình tiếp tuyến có dạng d = y'(x0 )(x - x0 ) + y0 (**). Do điểm A(xA; yA) ∈ d nên yA = y'(x0 )(xA - x0 ) + y0 giải phương trình này ta tìm được x0 .
Bước 3. Thế x0 vào (**) ta được tiếp tuyến cần tìm.
Ví dụ minh họa
Ví dụ 1: Cho hàm số (C):y = x3 + 3x2. Viết phương trình tiếp tuyến của đồ thị hàm số tại điểm M(1; 4).
Hướng dẫn
Ta có y' = 3x2 + 6x; y'(1) = 9
Phương trình tiếp tuyến của đồ thị hàm số tại điểm M(1; 4) là:
y = 9(x - 1) + 4 = 9x - 5
Ví dụ 2: Cho hàm số (C):y = 4x3 - 6x2 + 1. Viết phương trình tiếp tuyến của (C) biết tiếp tuyến đi qua điểm A(-1; -9).
Hướng dẫn
Ta có y' = 12x2 - 12x
Gọi M(x0, y0) là tọa độ tiếp điểm
Phương trình tiếp tuyến của (C) tại điểm M có dạng:
y = (12x02 - 12x0> )(x - x0 ) + 4x03 - 6x02 + 1
Vì tiếp tuyến đi qua điểm A(-1; -9) nên ta có:
-9 = (12x02 - 12x0 )( -1 - x0 ) + 4x03 - 6x03 + 1
Với .
Khi đó phương trình tiếp tuyến cần tìm là y = 15/4 (x - 5/4) - 9/16 = 15/4 x - 21/4
Với x0 = -1 thì .
Khi đó phương trình tiếp tuyến cần tìm là y = 24(x + 1) - 9 = 24x + 15
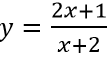
Ví dụ 3: Cho hàm số (C):. Viết phương trình tiếp tuyến của (C) biết tiếp tuyến song song với đường thẳng có phương trình Δ:3x - y + 2 = 0
Hướng dẫn
ĐKXĐ: x ≠ -2. Ta có y' = 3/(x + 2)2 .
Phương trình Δ:3x - y + 2 = 0 hay Δ:y = 3x + 2
Gọi tọa độ tiếp điểm là M(x0, y0)
Vì tiếp tuyến song song với đường thẳng có phương trình Δ:3x - y + 2 = 0 nên ta có
Với x0 = -1
Khi đó phương trình tiếp tuyến cần tìm là y = 3(x + 1) - 1 = 3x + 2 (loại).
Với x0 = -3
Khi đó phương trình tiếp tuyến cần tìm là y = 3(x + 3) + 5 = 3x + 14 (thỏa mãn)
B. Bài tập vận dụng
Câu 1: Cho hàm số y = -2x3 + 6x2 - 5. Viết phương trình tiếp tuyến của (C) tại điểm M có hoành độ bằng 3.
Lời giải:
Ta có y' = -6x2 + 12x; y' (3) = -18; y(3) = -5
Phương trình tiếp tuyến của đồ thị hàm số tại điểm có hoành độ bằng 3 là
y = -18(x - 3) - 5 = -18x + 49
Câu 2: Cho hàm số (C):y = 1/4x4 - 2x2. Viết phương trình tiếp tuyến của (C) tại điểm M có hoành độ x0 > 0 biết rằng y'' (x0 )= -1.
Lời giải:
Ta có y' = x3 - 4x; y'' = 3x2 - 4
Vì y'' (x0 ) = -1 ⇒ 3x02 - 4 = -1 ⇒ x02 = 1 ⇒ x0 = 1 (Vì x0 > 0)
Với x0 = 1 ⇒ y0 = -7/4 ; y0' = -3. Khi đó phương trình tiếp tuyến tại điểm M là:
y = -3(x - 1) - 7/4 = -3x + 5/4
Câu 3: Gọi d là tiếp tuyến của đồ thị hàm số (C):y =(x - 5)/(-x + 1) tại điểm A của (C) và trục hoành. Viết phương trình của d.
Lời giải:
Hoành độ giao điểm của (C) và trục hoành là nghiệm của phương trình
(x - 5)/(-x + 1) = 0 ⇒ x = 5
Khi đó tọa độ điểm A = (5; 0)
ĐKXĐ x ≠ 1. Ta có y'= (-4)/(-x + 1)2 ; y'(5) = -1/4
Phương trình đường thẳng d chính là phương trình tiếp tuyến tại điểm A(5;0) có dạng
y = -1/4 (x - 5) = -1/4 x + 5 /4
Câu 4: Cho đồ thị hàm số y = 3x - 4x2 có đồ thị (C). Viết phương trình tiếp tuyến của (C) biết tiếp tuyến đi qua điểm A(1; 3).
Lời giải:
Ta có y' = 3 - 8x
Gọi M(x0 , y0) là tọa độ tiếp điểm
Phương trình tiếp tuyến của (C) tại điểm M có dạng:
y = (3 - 8x0 )(x - x0 ) + 3x0 - 4x02
Vì tiếp tuyến đi qua điểm A(1; 3) nên ta có:
3 = (3 - 8x0 )(1 - x0 ) + 3x0 - 4x02
Với x0 = 0 thì .
Khi đó phương trình tiếp tuyến cần tìm là y = 3(x - 0) + 0 = 3x
Với x0 = 2 thì .
Khi đó phương trình tiếp tuyến cần tìm là y = -13(x - 2) - 10 = -13x + 16
Câu 5: Cho hàm số y = x3 - 3x2 + 6x + 1 có đồ thị (C). Viết phương trình tiếp tuyến có hệ số góc nhỏ nhất.
Lời giải:
Gọi M(x0,y0) là tọa độ tiếp điểm.
Ta có y' = 3x2 - 6x + 6
Khi đó y' (x0 )=3x02 - 6x0 + 6 = 3(x02 - 2x0 + 2) = 3[(x0 - 1)2 + 1] ≥ 3
Vậy hệ số góc nhỏ nhất của tiếp tuyến là y' (x0) = 3, dấu bằng xảy ra khi x0 = 1
Với x0 = 1 thì
Khi đó phương trình tiếp tuyến cần tìm là y = 3(x - 1) + 5 = 3x + 2
Câu 6: Cho hàm số (C):y = x3 - 3x + 2. Viết phương trình tiếp tuyến của (C) biết tiếp tuyến đó có hệ số góc bằng 9.
Lời giải:
Gọi M(x0, y0) là tọa độ tiếp điểm.
Ta có y' = 3x2 - 3
Khi đó y'(x0 ) = 3x02 - 3 = 9
Với x0 = 2 thì
Khi đó phương trình tiếp tuyến cần tìm là y = 9(x - 2) + 4 = 9x - 14
Với x0 = -2 thì .
Khi đó phương trình tiếp tuyến cần tìm là y = 9(x + 2) + 0 = 9x + 18
Câu 7: Cho hàm số y = (-x + 5)/(x + 2) có đồ thị là (C). Viết phương trình tiếp tuyến của (C) sao cho tiếp tuyến đó song song với đường thẳng d:y = -1/7 x + 5/7
Lời giải:
ĐKXĐ: x ≠ -2. Ta có y' = (-7)/(x + 2)2 .
Gọi tọa độ tiếp điểm là M(x0, y0)
Vì tiếp tuyến song song với đường thẳng có phương trình d:y = -1/7 x + 5/7 nên ta có
Với
Khi đó phương trình tiếp tuyến cần tìm là y = -1/7 (x - 5) + 0 = -1/7 x + 5/7 (loại).
Với x0 = -9
Khi đó phương trình tiếp tuyến cần tìm là y = -1/7 (x + 9) - 2 = -1/7 x - 23/7 (thỏa mãn).
Câu 8: Viết phương trình tiếp tuyến của đồ thị hàm số y = -x4 - 2x2 + 3 vuông góc với đường thẳng Δ: x - 8y + 2017 = 0
Lời giải:
Ta có y'= -4x3 - 4x.
Gọi tọa độ tiếp điểm là M(x0, y0)
Phương trình Δ:x - 8y + 2017 = 0 hay Δ: y = 1/8 x + 2017/8
Vì tiếp tuyến vuông góc với đường thẳng có phương trình d:y = 1/8 x + 2017/8 nên ta có
y'(x0 ) = -8 hay -4x03 - 4x0 = -8 ⇔ x0 = 1
Với
Khi đó phương trình tiếp tuyến cần tìm là y = -8(x - 1) + 0 = -8x + 8 (thỏa mãn).
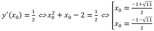
Câu 9: Viết phương trình tiếp tuyến của đồ thị hàm số y = 1/3 x3 + 1/2 x2 - 2x + 1 và tiếp tuyến tạo với đường thẳng d:x + 3y - 1 = 0 một góc 450.
Lời giải:
Gọi tọa độ tiếp điểm là M(x0, y0).
Có y' = x2 + x - 2
Phương trình đường thẳng d: x + 3y - 1 = 0 ⇔ y = -1/3 x + 1/3
Vì tiếp tuyến tạo với đường thẳng d: x + 3y - 1 = 0 một góc 450 nên ta có
Với
. Phương trình tiếp tuyến cần tìm là:
. Phương trình tiếp tuyến cần tìm là:
Với
x0 = 0 ⇒ y(x0 )= 1. Phương trình tiếp tuyến cần tìm là:
y = -2(x - 0) + 1 = -2x + 1
x0 = -1 ⇒ y(x0 ) = 19/6. Phương trình tiếp tuyến cần tìm là:
y = -2(x + 1) + 19/6 = -2x + 7/6
Vậy các phương trình tiếp tuyến cần tìm là: ;
y = -2x + 1; y = -2x + 7/6
C. Bài tập tự luyện
Bài 1. Viết phương trình tiếp tuyến của đồ thị hàm số y = có hệ số góc bằng 2.
Bài 2. Cho hàm số y = f(x) = + 2x2 – 3x (C). Viết phương trình tiếp tuyến của (C) tại điểm trên (C) có hoành đọ x0, biết f'(x0) = 6.
Bài 3. Viết phương trình tiếp tuyến của đồ thị hàm số y = x4 + 2x2 – 3 tại điểm H có tung độ bằng 21.
Bài 4. Viết phương trình tiếp tuyến của đồ thị hàm số y = x3 – 2x + 3 tại điểm A(1; 2).
Bài 5. Cho hàm số y = x3 − 6x2 + 9x có đồ thị (C). Viết phương trình tiếp tuyến của (C) biết tiếp tuyến song song với đường thẳng d: y = 9x
(199k) Xem Khóa học Toán 12 KNTTXem Khóa học Toán 12 CDXem Khóa học Toán 12 CTST
Xem thêm các dạng bài tập Toán lớp 12 ôn thi Tốt nghiệp có lời giải hay khác:
- Trắc nghiệm viết phương trình tiếp tuyến của đồ thị hàm số
- Dạng 2: Các bài toán về tiếp tuyến của hàm số
- Trắc nghiệm về tiếp tuyến của hàm số
Đã có app VietJack trên điện thoại, giải bài tập SGK, SBT Soạn văn, Văn mẫu, Thi online, Bài giảng....miễn phí. Tải ngay ứng dụng trên Android và iOS.
Theo dõi chúng tôi miễn phí trên mạng xã hội facebook và youtube:Nếu thấy hay, hãy động viên và chia sẻ nhé! Các bình luận không phù hợp với nội quy bình luận trang web sẽ bị cấm bình luận vĩnh viễn.
- Giải Tiếng Anh 12 Global Success
- Giải sgk Tiếng Anh 12 Smart World
- Giải sgk Tiếng Anh 12 Friends Global
- Lớp 12 Kết nối tri thức
- Soạn văn 12 (hay nhất) - KNTT
- Soạn văn 12 (ngắn nhất) - KNTT
- Giải sgk Toán 12 - KNTT
- Giải sgk Vật Lí 12 - KNTT
- Giải sgk Hóa học 12 - KNTT
- Giải sgk Sinh học 12 - KNTT
- Giải sgk Lịch Sử 12 - KNTT
- Giải sgk Địa Lí 12 - KNTT
- Giải sgk Giáo dục KTPL 12 - KNTT
- Giải sgk Tin học 12 - KNTT
- Giải sgk Công nghệ 12 - KNTT
- Giải sgk Hoạt động trải nghiệm 12 - KNTT
- Giải sgk Giáo dục quốc phòng 12 - KNTT
- Giải sgk Âm nhạc 12 - KNTT
- Giải sgk Mĩ thuật 12 - KNTT
- Lớp 12 Chân trời sáng tạo
- Soạn văn 12 (hay nhất) - CTST
- Soạn văn 12 (ngắn nhất) - CTST
- Giải sgk Toán 12 - CTST
- Giải sgk Vật Lí 12 - CTST
- Giải sgk Hóa học 12 - CTST
- Giải sgk Sinh học 12 - CTST
- Giải sgk Lịch Sử 12 - CTST
- Giải sgk Địa Lí 12 - CTST
- Giải sgk Giáo dục KTPL 12 - CTST
- Giải sgk Tin học 12 - CTST
- Giải sgk Hoạt động trải nghiệm 12 - CTST
- Giải sgk Âm nhạc 12 - CTST
- Lớp 12 Cánh diều
- Soạn văn 12 Cánh diều (hay nhất)
- Soạn văn 12 Cánh diều (ngắn nhất)
- Giải sgk Toán 12 Cánh diều
- Giải sgk Vật Lí 12 - Cánh diều
- Giải sgk Hóa học 12 - Cánh diều
- Giải sgk Sinh học 12 - Cánh diều
- Giải sgk Lịch Sử 12 - Cánh diều
- Giải sgk Địa Lí 12 - Cánh diều
- Giải sgk Giáo dục KTPL 12 - Cánh diều
- Giải sgk Tin học 12 - Cánh diều
- Giải sgk Công nghệ 12 - Cánh diều
- Giải sgk Hoạt động trải nghiệm 12 - Cánh diều
- Giải sgk Giáo dục quốc phòng 12 - Cánh diều
- Giải sgk Âm nhạc 12 - Cánh diều


Giải bài tập SGK & SBT
Tài liệu giáo viên
Sách
Khóa học
Thi online
Hỏi đáp

