Các dạng bài tập Tiếp tuyến của đồ thị hàm số chọn lọc, có đáp án
Phần Tiếp tuyến của đồ thị hàm số Toán lớp 12 với các dạng bài tập chọn lọc giúp ôn thi Tốt nghiệp môn Toán và trên 100 bài tập trắc nghiệm chọn lọc, có đáp án. Vào Xem chi tiết để theo dõi các dạng bài Tiếp tuyến của đồ thị hàm số hay nhất tương ứng.
Các dạng bài tập Tiếp tuyến của đồ thị hàm số chọn lọc, có đáp án
(199k) Xem Khóa học Toán 12 KNTTXem Khóa học Toán 12 CDXem Khóa học Toán 12 CTST
Bài giảng: Cách viết phương trình tiếp tuyến của đồ thị hàm số - Cô Nguyễn Phương Anh (Giáo viên VietJack)
- 2 dạng bài Tiếp tuyến của đồ thị hàm số ôn thi Tốt nghiệp (có lời giải) Xem chi tiết
- Dạng 1: Viết phương trình tiếp tuyến của đồ thị hàm số Xem chi tiết
- Trắc nghiệm viết phương trình tiếp tuyến của đồ thị hàm số Xem chi tiết
- Dạng 2: Các bài toán về tiếp tuyến của hàm số Xem chi tiết
Cách viết phương trình tiếp tuyến của đồ thị hàm số
Dạng 1: Viết phương trình tiếp tuyến của đồ thị hàm số.
I. Phương pháp giải
Cho hàm số y = f(x), gọi đồ thị của hàm số là (C).
Dạng 1. Viết phương trình tiếp tuyến của đồ thị hàm số (C): y = f(x) tại M(x0; y0)
♦ Phương pháp
• Bước 1. Tính y’= f’(x) suy ra hệ số góc của phương trình tiếp tuyến là k = y’(x0)
• Bước 2. Phương trình tiếp tuyến của đồ thị (C) tại điểm M(x0; y0) có dạng
y - y0 = f'(x0).(x - x0).
◊ Chú ý:
• Nếu đề bài yêu cầu viết phương trình tiếp tuyến tại điểm có hoành độ x0 thì khi đó ta tìm y0 bằng cách thế vào hàm số ban đầu, tức y0 = f(x0). Nếu đề cho y0 ta thay vào hàm số để giải ra x0.
• Nếu đề bài yêu cầu viết phương trình tiếp tuyến tại các giao điểm của đồ thị (C): y = f(x) và đường thẳng d: y= ax + b. Khi đó các hoành độ tiếp điểm là nghiệm của phương trình hoành độ giao điểm giữa d và (C)
Dạng 2. Viết phương trình tiếp tuyến của đồ thị hàm số (C): y = f(x) có hệ số góc k cho trước.
♦ Phương pháp
• Bước 1. Gọi M (x0; y0) là tiếp điểm và tính y' = f'(x).
• Bước 2. Hệ số góc tiếp tuyến là k' f'(x0). Giải phương trình này tìm được x0; thay vào hàm số được y0
• Bước 3. Với mỗi tiếp điểm ta tìm được các tiếp tuyến tương ứng
d: y – y0 = f'(x0).(x - x0)
◊ Chú ý: Đề bài thường cho hệ số góc tiếp tuyến dưới các dạng sau:
• Tiếp tuyến d // Δ: y = ax + b ⇒ hệ số góc của tiếp tuyến là k = a.
• Tiếp tuyến d ⊥ Δ: y = ax + b, (a ≠ 0) hệ số góc của tiếp tuyến là k = -1/a.
• Tiếp tuyến tạo với trục hoành một góc α thì hệ số góc của tiếp tuyến d là k = ±tanα
Dạng 3. Viết phương trình tiếp tuyến của đồ thị hàm số (C): y = f(x) biết tiếp tuyến đi qua điểm A(xA; yA).
♦ Phương pháp
Cách 1.
• Bước 1: Phương trình tiếp tuyến đi qua A(xA; yA) hệ số góc k có dạng
d: y = k(x - xA) + yA (*)
• Bước 2: d là tiếp tuyến của (C) khi và chỉ khi hệ sau có nghiệm:
• Bước 3: Giải hệ này tìm được x suy ra k và thế vào phương trình (*), ta được tiếp tuyến cần tìm.
Cách 2.
• Bước 1. Gọi M(x0; f(x0)) là tiếp điểm và tính hệ số góc tiếp tuyến k = y'(x0) = f'(x0) theo x0.
• Bước 2. Phương trình tiếp tuyến có dạng d: y = y'(x0).(x – x0) + y0 (**). Do điểm A(xA; yA) d nên yA = y'(x0).(xA- x0) + y0 giải phương trình này ta tìm được x0.
• Bước 3. Thế x0 vào (**) ta được tiếp tuyến cần tìm.
Bài tập trắc nghiệm viết phương trình tiếp tuyến của đồ thị hàm số
Câu 1: Cho hàm số y= (2x - 1)/(x + 1), viết phương trình tiếp tuyến của (C) tại điểm có hoành độ bằng 2 là:
A. y = (-1/3)x + 5/3
B. y = (-1/2)x + 2
C. y = (1/3)x + 1/3
D. y = (1/2)x
Lời giải:
Đáp án : C
Giải thích :
Ta có y' = 3/(x + 1)2 ; y'(2) = 1/3; y(2) = 1
Phương trình tiếp tuyến của đồ thị hàm số tại điểm có hoành độ bằng 2 là:
Câu 2: Phương trình tiếp tuyến với đồ thị hàm số y = √(x + 2) tại điểm có tung độ bằng 2 là:
A. x + 4y - 3 = 0 B. 4x + y + 1 = 0
C. x - 4y + 6 = 0 D. x - 4y + 2 = 0
Lời giải:
Đáp án : C
Giải thích :
Gọi tọa độ tiếp điểm là M(xo, yo). Có √(xo + 2) = 2 ⇔ xo = 2
Có y' = 1/(2√(x + 2)) ; y'(0) = 1/4. Phương trình tiếp tuyến cần tìm là :
y = (1/4)(x-2) + 2 = (1/4)x + 3/2 hay x - 4y + 6 = 0.
Câu 3: Phương trình tiếp tuyến của đồ thị hàm số y= (x + 3)/(1 - x) biết tiếp tuyến có hệ số góc bằng 4
Lời giải:
Đáp án : D
Giải thích :
Gọi tọa độ tiếp điểm là M(xo, yo). Có y' = 4/(1 - x)2 nên 4/(1 - xo)2 = 4
Với xo = 0 ⇒ y(xo) = 3. Phương trình tiếp tuyến cần tìm là: y = 4(x - 0)+ 3 = 4x + 3
Với xo = 2 ⇒ y(xo) = -5. Phương trình tiếp tuyến cần tìm là: y = 4(x - 2)- 5 = 4x - 13
Câu 4: Cho hàm số y = (-2x + 3)/(x - 1) có đồ thị (C). Viết phương trình tiếp tuyến của (C) tại các giao điểm của (C) và đường thẳng y = x - 3
A. y = -x - 3; y= -x + 1 C. y = x - 3; y = -x + 1
B. y = -x - 3; y= x + 1 D. y = x + 3; y = -x + 1
Lời giải:
Đáp án : A
Giải thích :
Có y' = (-1)/(x - 1)2
Phương trình hoành độ giao điểm của (C) và đường thẳng y = x - 3 là:
Với x = 0; y = -3; y'(0) = -1. Phương trình cần tìm là y = -x - 3
Với x = 2; y = -1; y'(2) = -1. Phương trình cần tìm là y = -x + 1
Câu 5: Phương trình tiếp tuyến của đường cong (C): y = x3 - 4 đi qua điểm A(2; 4) là:
A. y = 2x + 1; y = 12x B. y = 4x - 1; y = 9x + 3
C. y = x - 1; y = 3x + 2 D. y = 3x - 2; y = 12x - 20
Lời giải:
Đáp án : D
Giải thích :
Ta có y' = 3x2 . Gọi M(xo, yo) là tọa độ tiếp điểm
Phương trình tiếp tuyến của (C) tại điểm M có dạng: y = 3xo2(x - xo) + xo3 - 4
Vì tiếp tuyến đi qua điểm A(2; 4) nên ta có:
4 = 3xo2(2 - xo) + xo3 - 4
⇔ -2xo3 + 6xo2 - 8 = 0 ⇔
Với xo = -1 thì . Phương trình tiếp tuyến cần tìm là y = 3x - 2
Với xo = 2 thì . Phương trình tiếp tuyến cần tìm là y = 12x - 20
Câu 6: Tiếp tuyến của đồ thị hàm số y = x3 - 3x2 + 1 vuông góc với đường thẳng x - 3y = 0 có phương trình là:
A. y = -3x + 2 B. y = -3x - 2
C. y = 3x + 4 D. y = 3x + 2
Lời giải:
Đáp án : A
Giải thích :
Đường thẳng x - 3y = 0 hay y = 1/3x. Có y' = 3x2 - 6x
Vì tiếp tuyến vuông góc với đường thẳng x - 3y = 0 nên 3xo2 -6xo = -3 ⇔ xo = 1
Với xo = 1; y(1) = -1; y'(1) = -3. Phương trình cần tìm là:
y = -3(x - 1) - 1 = -3x + 2
Câu 7: Cho hàm số y = x3 - 3x2 + 1 (C). Ba tiếp tuyến của (C) tại giao điểm của (C) và đường thẳng d:y = x - 2 có tổng hệ số góc là:
A. 12 B. 14
C. 15 D. 16
Lời giải:
Đáp án : C
Giải thích :
Ta có y^'=3x2 -6x
Phương trình hoành độ giao điểm x3 - 3x2 + 1 = x - 2
Tổng y'(-1) + y'(1) + y'(1) = 9 + 9 - 3 = 15.
Câu 8: Có bao nhiêu tiếp tuyến của đồ thị hàm số y = -x3 + 2x2 song song với đường thẳng y = x
A. 2 B. 1
C. 3 D. 4
Lời giải:
Đáp án : B
Giải thích :
Ta có y^'=-3x2 +4x
Tiếp tuyến song song với đường thẳng y=x nên y'(xo) = 1
Với xo = 1; y(1) = 1. Phương trình tiếp tuyến cần tìm là y = x (loại)
Với xo = 1/3; y(1) = 5/27. Phương trình tiếp tuyến cần tìm là y = x - 4/27 (thỏa mãn)
Câu 9: Cho hàm số y = -x3 + 6x2 + 3x + 3 có đồ thị (C). Trong các tiếp tuyến của (C), tiếp tuyến có hệ số góc lớn nhất có phương trình là:
A. y = 15x + 55 B. y = -15x - 5
C. y = 15x - 5 D. y = -15x + 55
Lời giải:
Đáp án : C
Giải thích :
Ta có y' = -3x2 + 12x + 3 = -3(x2 - 4x - 1) = -3[(x - 2)2 - 5] ≤ 15
Hệ số góc lớn nhất là y' = 15. Dấu bằng xảy ra khi x = 2, khi đó y = 25
Phương trình tiếp tuyến cần tìm là: y = 15(x - 2) + 25 = 15x - 5
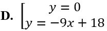
Câu 10: Cho hàm số y = -x3 + 3x - 2 có đồ thị (C). Tiếp tuyến của đồ thị (C) tại giao điểm của (C) với trục hoành có phương trình là:
A. y = -9x - 18
C. y = -9x + 18
Lời giải:
Đáp án : B
Giải thích :
Ta có y^'=-3x2 + 3
Phương trình hoành độ giao điểm -x3 +3x-2=0 ⇔
Với x = -2; y(2) = 0; y'(2) = -9. Phương trình tiếp tuyến cần tìm là y = -9x - 18
Với x = 1; y(2) = 0; y'(2) = 0. Phương trình tiếp tuyến cần tìm là y = 0
(199k) Xem Khóa học Toán 12 KNTTXem Khóa học Toán 12 CDXem Khóa học Toán 12 CTST
Xem thêm các dạng bài tập Toán lớp 12 ôn thi Tốt nghiệp có lời giải hay khác:
- Tổng hợp lý thuyết Chương Ứng dụng đạo hàm để khảo sát hàm số
- Chủ đề: Tính đơn điệu của hàm số
- Chủ đề: Cực trị của hàm số
- Chủ đề: Giá trị lớn nhất, giá trị nhỏ nhất của hàm số
- Chủ đề: Tiệm cận của đồ thị hàm số
- Chủ đề: Tương giao của đồ thị hàm số
- Chủ đề: Điểm thuộc đồ thị
- Chủ đề: Nhận dạng đồ thị hàm số
Đã có app VietJack trên điện thoại, giải bài tập SGK, SBT Soạn văn, Văn mẫu, Thi online, Bài giảng....miễn phí. Tải ngay ứng dụng trên Android và iOS.
Theo dõi chúng tôi miễn phí trên mạng xã hội facebook và youtube:Nếu thấy hay, hãy động viên và chia sẻ nhé! Các bình luận không phù hợp với nội quy bình luận trang web sẽ bị cấm bình luận vĩnh viễn.
- Giải Tiếng Anh 12 Global Success
- Giải sgk Tiếng Anh 12 Smart World
- Giải sgk Tiếng Anh 12 Friends Global
- Lớp 12 Kết nối tri thức
- Soạn văn 12 (hay nhất) - KNTT
- Soạn văn 12 (ngắn nhất) - KNTT
- Giải sgk Toán 12 - KNTT
- Giải sgk Vật Lí 12 - KNTT
- Giải sgk Hóa học 12 - KNTT
- Giải sgk Sinh học 12 - KNTT
- Giải sgk Lịch Sử 12 - KNTT
- Giải sgk Địa Lí 12 - KNTT
- Giải sgk Giáo dục KTPL 12 - KNTT
- Giải sgk Tin học 12 - KNTT
- Giải sgk Công nghệ 12 - KNTT
- Giải sgk Hoạt động trải nghiệm 12 - KNTT
- Giải sgk Giáo dục quốc phòng 12 - KNTT
- Giải sgk Âm nhạc 12 - KNTT
- Giải sgk Mĩ thuật 12 - KNTT
- Lớp 12 Chân trời sáng tạo
- Soạn văn 12 (hay nhất) - CTST
- Soạn văn 12 (ngắn nhất) - CTST
- Giải sgk Toán 12 - CTST
- Giải sgk Vật Lí 12 - CTST
- Giải sgk Hóa học 12 - CTST
- Giải sgk Sinh học 12 - CTST
- Giải sgk Lịch Sử 12 - CTST
- Giải sgk Địa Lí 12 - CTST
- Giải sgk Giáo dục KTPL 12 - CTST
- Giải sgk Tin học 12 - CTST
- Giải sgk Hoạt động trải nghiệm 12 - CTST
- Giải sgk Âm nhạc 12 - CTST
- Lớp 12 Cánh diều
- Soạn văn 12 Cánh diều (hay nhất)
- Soạn văn 12 Cánh diều (ngắn nhất)
- Giải sgk Toán 12 Cánh diều
- Giải sgk Vật Lí 12 - Cánh diều
- Giải sgk Hóa học 12 - Cánh diều
- Giải sgk Sinh học 12 - Cánh diều
- Giải sgk Lịch Sử 12 - Cánh diều
- Giải sgk Địa Lí 12 - Cánh diều
- Giải sgk Giáo dục KTPL 12 - Cánh diều
- Giải sgk Tin học 12 - Cánh diều
- Giải sgk Công nghệ 12 - Cánh diều
- Giải sgk Hoạt động trải nghiệm 12 - Cánh diều
- Giải sgk Giáo dục quốc phòng 12 - Cánh diều
- Giải sgk Âm nhạc 12 - Cánh diều


Giải bài tập SGK & SBT
Tài liệu giáo viên
Sách
Khóa học
Thi online
Hỏi đáp

