Các dạng bài tập Tương giao của đồ thị hàm số chọn lọc, có đáp án
Phần Tương giao của đồ thị hàm số Toán lớp 12 với các dạng bài tập chọn lọc giúp ôn thi Tốt nghiệp môn Toán và trên 100 bài tập trắc nghiệm chọn lọc, có đáp án. Vào Xem chi tiết để theo dõi các dạng bài Tương giao của đồ thị hàm số hay nhất tương ứng.
Các dạng bài tập Tương giao của đồ thị hàm số chọn lọc, có đáp án
(199k) Xem Khóa học Toán 12 KNTTXem Khóa học Toán 12 CDXem Khóa học Toán 12 CTST
Bài giảng: Cách giải bài toán Tương giao của hai đồ thị - Cô Nguyễn Phương Anh (Giáo viên VietJack)
- 100 Bài tập Sự tương giao của đồ thị hàm số có lời giải (Nhận biết) Xem chi tiết
- 120 Bài tập Sự tương giao của đồ thị hàm số có lời giải (nâng cao) Xem chi tiết
- 5 dạng bài Sự tương giao của đồ thị hàm số ôn thi Tốt nghiệp (có lời giải) Xem chi tiết
- Dạng 1: Tìm giao điểm của hai đồ thị hàm số Xem chi tiết
- Trắc nghiệm Tìm giao điểm của hai đồ thị hàm số Xem chi tiết
- Dạng 2: Biện luận theo m số giao điểm của đồ thị Xem chi tiết
- Trắc nghiệm Biện luận theo m số giao điểm của đồ thị Xem chi tiết
- Dạng 3: Tìm m để giao điểm của hai đồ thị thoả mãn điều kiện Xem chi tiết
- Trắc nghiệm Tìm m để giao điểm của hai đồ thị thoả mãn điều kiện Xem chi tiết
Cách tìm giao điểm của đồ thị hàm số
A. Phương pháp giải & Ví dụ
1. Bài toán tổng quát
Trong mặt phẳng (Oxy) hãy xét sự tương giao của đồ thị hàm số
Cho hàm số y = f(x) có đồ thị là (C1) và hàm số y=g(x) có đồ thị là (C2). Khi đó nếu M(x; y) là giao điểm của (C1) và (C2) thì tọa độ của M là nghiệm của hệ phương trình:
Phương trình (*)
f(x) = g(x)
được gọi là phương trình hoành độ giao điểm của hai đồ thị (C1) và (C2)
Nghiệm xo của phương trình (*) chính là hoành độ điểm chung của (C1) và (C2)
Khi đó tung độ điểm chung là yo = f(xo) hoặc yo=g(xo)
Nếu (*) vô nghiệm thì (C1) và (C2) không có điểm chung
Nếu (*) có n nghiệm thì (C1) và (C2) có n điểm chung
2. Phương pháp chung
Để giải một bài toán về tính chất giao điểm của hai đồ thị (C1) và (C2) ta có thể tiến hành theo các bước sau:
Lập phương trình hoành độ giao điểm của hai đồ thị (C1) và (C2) (tức phương trình (*))
Biến đổi phương trình này về dạng đơn giản hơn( thường thì sau khi biến đổi ta sẽ thu được phương trình bậc hai, bậc ba hoặc phương trình trùng phương…)
Dựa vào điều kiện của bài toán ban đầu, ta đưa về điều kiện cho phương trình vừa biến đổi.
3. Bài toán tìm giao điểm của hai đồ thị hàm số
Bài toán: Tìm tọa độ giao điểm của hai đồ thị hàm số
Bước 1: Lập phương trình hoành độ giao điểm: f(x) = g(x) (1)
Bước 2: Giải phương trình (1) tìm x ⇒ y
Bước 3: Kết luận số giao điểm của (C1) và (C2) chính là số nghiệm của (1)
Ví dụ minh họa
Ví dụ 1: Tìm giao điểm của đồ thị hàm số (C): y = x3 - 3x2 + 2x + 1 và đường thẳng y = 1
Hướng dẫn:
Phương trình hoành độ giao điểm x3 - 3x2 + 2x + 1 = 1
⇔ x3 -3x2 + 2x = 0 ⇔
Với x = 0 ⇒ y = 1
Với x = 1 ⇒ y = 1
Với x = 2 ⇒ y = 1
Vậy tọa độ giao điểm cần tìm là (0; 1); (1; 1) và (2; 1)
Ví dụ 2: Tìm tọa độ giao điểm giữa đồ thị y= (2x + 1)/(2x - 1) và đường thẳng d: y = x + 2
Hướng dẫn
Phương trình hoành đô giao điểm (2x + 1)/(2x - 1) = x + 2 (1)
Điều kiện x ≠ 1/2
Khi đó (1) ⇔ 2x + 1 = (2x - 1)(x + 2) ⇔ 2x2 + x - 3 = 0 ⇔
Với x = 1 ⇒ y = 3
Với x = -3/2 ⇒ y = 1/2
Vậy tọa độ giao điểm cần tìm là (1; 3) và (-3/2; 1/2)
Ví dụ 3: Tìm giao điểm của đồ thị hàm số (C): y = x4 + 2x2 - 3 và trục hoành
Hướng dẫn
Phương trình hoành độ giao điểm x4 + 2x2 - 3 = 0 ⇔
Vậy tọa độ giao điểm cần tìm là A(-1; 0), B(1; 0)
Biện luận theo m số giao điểm của đồ thị
A. Phương pháp giải & Ví dụ
Phương pháp cô lập tham số m.
Bước 1: Lập phương trình hoành độ giao điểm dạng F(x,m) = 0 (phương trình ẩn x, tham số m).
Bước 2: Cô lập m đưa phương trình về dạng f(m) = g(x)
Bước 3: Lập bảng biến thiên cho hàm số y = g(x)
Bước 4: Dựa vào yêu cầu bài toán và bảng biến thiên từ đó suy ra m
Phương pháp sử dụng tính chất đặc trưng của phương trình
Phương trình bậc hai y = ax2 + bx + c (a ≠ 0)
Phương trình có hai nghiệm phân biệt khi Δ > 0
Phương trình có một nghiệm khi Δ = 0
Phương trình vô nghiệm khi Δ < 0
Phương trình bậc ba y = ax3 + bx2 + cx + d = 0(a ≠ 0)
Nếu đã dự đoán được phương trình có một nghiệm x=xo ta có thể dùng phép chia đa thức hoặc sơ đồ Horner để phân tích thành nhân tử đưa về dạng bậc thấp hơn rồi tìm cách xử lý. Khi đó phương trình bậc ba tương đương với
Dựa vào yêu cầu bài toán, ta đi xử lý phương trình bậc hai f(x).
Nếu không nhẩm được nghiệm và không cô lập được m thì bài toán được giải quyết theo hướng tích hai cực trị, cụ thể:
Đồ thị cắt trục hoành đúng ba điểm phân biệt ⇒ yCT.yCĐ < 0
Đồ thị có hai điểm chung với trục hoành ⇒ yCT.yCĐ = 0
Đồ thị có một điểm chung với trục hoành ⇒ yCT.yCĐ > 0 hoặc hàm số không có cực trị.
Phương trình bậc bốn trùng phương y=ax4 + bx2 + c = 0(a ≠ 0)(1)
Đặt t = x2 (t ≥ 0). Phương trình trở thành at2 + bt + c = 0 (2)
Để (1) có đúng một nghiệm thì (2) có hai nghiệm t1,t2 thỏa mãn
Để (1) có đúng một nghiệm thì (2) có hai nghiệm t1,t2 thỏa mãn
Để (1) có đúng một nghiệm thì (2) có hai nghiệm t1,t2 thỏa mãn 0=t1 < t2
Để (1) có đúng một nghiệm thì (2) có hai nghiệm t1,t2 thỏa mãn 0 < t1 < t2
Ví dụ minh họa
Ví dụ 1: Tìm m để phương trình y = x4 -2x2 - m + 3 (1) có bốn nghiệm phân biệt
Lời giải:
Đặt t = x2 (t > 0), phương trình (1) trở thành t2 - 2t - m + 3 = 0 (2)
Để phương trình (1) có 4 nghiệm phân biệt thì phương trình (1) có hai nghiệm dương phân biệt. Khi đó
Vậy giá trị m cần tìm là 2 < m < 3
Lưu ý: Ta có thể giải bài toán trên bằng phương pháp dùng đồ thị như sau:
Phương trình y = x4 - 2x2 - m + 3 ⇒ x4 - 2x2 + 3 = m (1)
Phương trình (1) là phương trình hoành độ giao điểm của hai đường (C): y = x4 - 2x2 + 3 và đường thẳng d: y = m. Số nghiệm của phương trình (1) bằng số giao điểm của (C) và d
Khảo sát và vẽ bảng biến thiên của hàm số : y = x4 -2x2 + 3
Tập xác định D = R
Đạo hàm y' = 4x3 - 4x; y' = 0⇒
Bảng biến thiên
Dựa vào bảng biến thiên ta thấy (1) có bốn nghiệm phân biệt ⇒ 2 < m < 3
Vậy 2 < m < 3 thỏa mãn yêu cầu bài toán
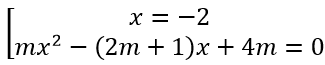
Ví dụ 2: Cho hàm số y = mx3 - x2 - 2x + 8m có đồ thị (Cm). Tìm m để đồ thị (Cm) cắt trục hoành tại 3 điểm phân biệt.
Lời giải:
Phương trình hoành độ giao điểm: mx3 - x2 - 2x + 8m = 0
⇒ (x + 2)[mx2 - (2m + 1)x + 4m] = 0
(Cm) cắt trục hoành tại 3 điểm phân biệt ⇒ phương trình mx2 - (2m + 1)x + 4m = 0 có hai nghiệm phân biệt khác -2.
Vậy giá trị m cần tìm là
Ví dụ 3: Cho hàm số y= (2x - 1)/(x - 1) có đồ thị (C). Tìm m để đường thẳng (d):y = -x + m cắt đồ thị (C) tại hai điểm phân biệt.
Lời giải:
Phương trình hoành đô giao điểm (2x - 1)/(x - 1) = -x + m (1)
Điều kiện x ≠ 1
Khi đó (1) ⇒ 2x - 1 = (-x + m)(x - 1) ⇒ x2 - (m - 1)x + m - 1 = 0 (2)
(d) cắt (C) tại hai điểm phân biệt ⇒ (1) có hai nghiệm phân biệt
⇒ (2) có hai nghiệm phân biệt khác 1
⇒ m2 -6m+5>0
Vậy giá trị m cần tìm là m < 1 hoặc m > 5
Tìm m để giao điểm của hai đồ thị thoả mãn điều kiện
A. Phương pháp giải & Ví dụ
- Về phương trình
Phương trình bậc hai y = ax2 + bx + c(a ≠ 0)
- Định lí Viette: Nếu phương trình có hai nghiệm x1 , x2 thì ta có:
- Phương trình có hai nghiệm trái dấu khi và chỉ khi P < 0
- Phương trình có hai nghiệm dương phân biệt khi và chỉ khi
- Phương trình có hai nghiệm âm phân biệt khi và chỉ khi
- Phương trình có hai nghiệm phân biệt khác xo khi và chỉ khi
- Các công thức cần nhớ
Độ dài đoạn thẳng nối hai điểm: Với 2 điểm A(x1 , y1) và B(x2 , y2) tùy ý ta có:
AB=√((x2 -x1 )2 +(y2 - y1)2 )
Khoảng cách từ một điểm đến một đường thẳng cho trước: Khoảng cách từ điểm M(xo , yo) đến đường thẳng Δ: Ax + By + C = 0 được tính theo công thức
d(M,Δ)= |Axo + Byo + C|/√(A2 + B2 )
Diện tích tam giác: Trong một tam giác bất kỳ, ta có:
S = (1/2)aha = (1/2)bhb = (1/2)chc = abc/4R = pr
Trong đó:
a,b,c là độ dài ba cạnh của tam giác và p = (a + b + c)/2 là nửa chu vi.
ha, hb, hc là độ dài của đường cao tương ứng với các cạnh a,b,c.
R,r lần lượt là bán kính của các đường tròn ngoại và nội tiếp tam giác.
Phương trình đường thẳng Δ đi qua A(a; b) và có hệ số góc k cho trước có dạng y = k(x - a) + b
Ví dụ minh họa
Ví dụ 1: Cho hàm số y = x4 - (3m + 2)x2 + 3m (m là tham số) có đồ thị (Cm). Tìm m để đường thẳng d:y=-1 cắt đồ thị hàm số tại 4 điểm phân biệt đều có hoành độ nhỏ hơn 2.
Lời giải:
Phương trình hoành độ giao điểm của (Cm) và đường thẳng d
x4 - (3m + 2)x2 + 3m = -1 ⇔ x4 - (3m + 2)x2 + 3m + 1 = 0 ⇔
Để d cắt (Cm) tại bốn điểm phân biệt có hoành độ nhỏ hơn 2 khi và chỉ khi
Vậy tập hợp các giá trị của tham số m cần tìm là m = (-1/3; 1)\\{0}
Ví dụ 2: Cho đồ thị (C):y = (mx - 1)/(x + 2) và đường thẳng d: y = 2x - 1. Xác định giá trị của tham số m để (C) cắt d tại hai điểm phân biệt A, B sao cho AB=√10
Lời giải:
Phương trình hoành độ giao điểm (mx - 1)/(x + 2) = 2x - 1 (1)
Điều kiện x ≠ -2
Khi đó (1) ⇔ mx - 1 = (2x - 1)(x + 2)
⇔ 2x2 - (m - 3)x - 1 = 0 (2)
(d) cắt (Cm) tại hai điểm phân biệt A, B ⇔ (1) có hai nghiệm phân biệt
⇔ (2) có hai nghiệm phân biệt khác -2
Đặt A(x1 ; 2x1 - 1); B(x2 ; 2x2 - 1) với x1 ,x2 là hai nghiệm của phương trình (2)
Theo định lí Vi ét ta có
Khi đó AB = √((x1 - x2)2 + 4(x1 - x2)2 ) = √10 ⇔ 5[(x1 + x2 )2 - 4x1 x2 ] = 10
⇔ ((m - 3)/2)2 + 2 = 2
⇔ m = 3 (thỏa mãn)
Vậy giá trị cần tìm là m = 3
Ví dụ 3: Cho hàm số y = x3 - 2x2 + (1 - m)x + m có đồ thị (Cm). Xác định tất cả các giá trị của tham số m để (Cm) cắt trục Ox tại ba điểm phân biệt có hoành độ x1 ,x2 ,x3 thỏa mãn x12 +x22 +x32 =4.
Lời giải:
Phương trình hoành độ giao điểm của (C) và đường thẳng d:
x3 - 2x2 +(1 - m)x + m = 0 ⇔ (x - 1)(x2 - x - m) = 0
(Cm) cắt Ox tại ba điểm phân biệt ⇔ phương trình g(x) = 0 có hai nghiệm phân biệt khác 1
Gọi x1 = 1 còn x2 ,x3 là nghiệm phương trình g(x) = 0 nên theo Viet ta có
Vậy x12 + x22 + x32 = 4 ⇔ 1+(x2 +x3)2 -2x2 x3=4
⇔ 1 + 12 + 2m = 4 ⇔ 2m - 2 = 0 ⇔ m = 1
(199k) Xem Khóa học Toán 12 KNTTXem Khóa học Toán 12 CDXem Khóa học Toán 12 CTST
Xem thêm các dạng bài tập Toán lớp 12 ôn thi Tốt nghiệp có lời giải hay khác:
- Tổng hợp lý thuyết Chương Ứng dụng đạo hàm để khảo sát hàm số
- Chủ đề: Tính đơn điệu của hàm số
- Chủ đề: Cực trị của hàm số
- Chủ đề: Giá trị lớn nhất, giá trị nhỏ nhất của hàm số
- Chủ đề: Tiệm cận của đồ thị hàm số
- Chủ đề: Tiếp tuyến của đồ thị hàm số
- Chủ đề: Điểm thuộc đồ thị
- Chủ đề: Nhận dạng đồ thị hàm số
Đã có app VietJack trên điện thoại, giải bài tập SGK, SBT Soạn văn, Văn mẫu, Thi online, Bài giảng....miễn phí. Tải ngay ứng dụng trên Android và iOS.
Theo dõi chúng tôi miễn phí trên mạng xã hội facebook và youtube:Nếu thấy hay, hãy động viên và chia sẻ nhé! Các bình luận không phù hợp với nội quy bình luận trang web sẽ bị cấm bình luận vĩnh viễn.
- Giải Tiếng Anh 12 Global Success
- Giải sgk Tiếng Anh 12 Smart World
- Giải sgk Tiếng Anh 12 Friends Global
- Lớp 12 Kết nối tri thức
- Soạn văn 12 (hay nhất) - KNTT
- Soạn văn 12 (ngắn nhất) - KNTT
- Giải sgk Toán 12 - KNTT
- Giải sgk Vật Lí 12 - KNTT
- Giải sgk Hóa học 12 - KNTT
- Giải sgk Sinh học 12 - KNTT
- Giải sgk Lịch Sử 12 - KNTT
- Giải sgk Địa Lí 12 - KNTT
- Giải sgk Giáo dục KTPL 12 - KNTT
- Giải sgk Tin học 12 - KNTT
- Giải sgk Công nghệ 12 - KNTT
- Giải sgk Hoạt động trải nghiệm 12 - KNTT
- Giải sgk Giáo dục quốc phòng 12 - KNTT
- Giải sgk Âm nhạc 12 - KNTT
- Giải sgk Mĩ thuật 12 - KNTT
- Lớp 12 Chân trời sáng tạo
- Soạn văn 12 (hay nhất) - CTST
- Soạn văn 12 (ngắn nhất) - CTST
- Giải sgk Toán 12 - CTST
- Giải sgk Vật Lí 12 - CTST
- Giải sgk Hóa học 12 - CTST
- Giải sgk Sinh học 12 - CTST
- Giải sgk Lịch Sử 12 - CTST
- Giải sgk Địa Lí 12 - CTST
- Giải sgk Giáo dục KTPL 12 - CTST
- Giải sgk Tin học 12 - CTST
- Giải sgk Hoạt động trải nghiệm 12 - CTST
- Giải sgk Âm nhạc 12 - CTST
- Lớp 12 Cánh diều
- Soạn văn 12 Cánh diều (hay nhất)
- Soạn văn 12 Cánh diều (ngắn nhất)
- Giải sgk Toán 12 Cánh diều
- Giải sgk Vật Lí 12 - Cánh diều
- Giải sgk Hóa học 12 - Cánh diều
- Giải sgk Sinh học 12 - Cánh diều
- Giải sgk Lịch Sử 12 - Cánh diều
- Giải sgk Địa Lí 12 - Cánh diều
- Giải sgk Giáo dục KTPL 12 - Cánh diều
- Giải sgk Tin học 12 - Cánh diều
- Giải sgk Công nghệ 12 - Cánh diều
- Giải sgk Hoạt động trải nghiệm 12 - Cánh diều
- Giải sgk Giáo dục quốc phòng 12 - Cánh diều
- Giải sgk Âm nhạc 12 - Cánh diều


Giải bài tập SGK & SBT
Tài liệu giáo viên
Sách
Khóa học
Thi online
Hỏi đáp

